CAPÍTULO 4


     4. Distribución de planta y
        Manejo de materiales
                                                      reservado para el grupo de máquinas.



E
           l problema de la Distribución de           Desentendiéndose de la aplicación y espacio
           planta siempre presenta su mayor           disponible las máquinas pueden ponerse en
           preocupación en la ubicación y             uno de los modelos mostradas en la figura
           arreglo de los departamentos,              4.1. •
           células o máquinas sobre un piso                   El modelo de flujo - U se usa
de oficina o planta. A causa de los aspectos          frecuentemente cuando es necesario guardar
de combinación geométrica del problema, el            los fines receptores y navieros de la línea al
problema de Distribución de planta es un              mismo fin de la planta. Esto puede ser
problema de cálculos muy difícil. Además,             debido las consideraciones que maneja el
el problema de Distribución se asocia con             material (las mismas bifurcaciones pueden
factores cuantitativos y cualitativos con lo          usarse     para    ambos     propósitos)    o
que será aún más difícil modelar y analizar.          consideraciones externas de acceso (camino
                                                      de acceso, muelles de camión). El flujo - U
       En general, es siempre preferible              se prefieren también en justo - a - tiempo de
hacer algún análisis y la simplificación de           la Distribución. En este caso, los
proceso, para descomponer el problema en              trabajadores se ponen en el centro de la U y
problemas pequeños separados. Esto reduce             pueden controlarse uno al otro progresar y
el tamaño del problema que permite un                 colaborar fácilmente cuando se requiere. La
estudio más completo de varias alternativas           menor distancia también ayuda en el equipo
de Distribución.                                      de producción. El flujo - O se usan
                                                      usualmente en las células de máquina que
4.1. TIPOS DE PATRONES DE                             son atendidas por un material común que
FLUJO                                                 maneja el robot. Las Distribuciones de
                                                      serpentinas se usan para los procesos largos
       En el problema de Distribución de              de ensamble que se tienen que adaptar en
planta, el énfasis se pone frecuentemente             áreas cuadradas. Cabe mencionar que este
sobre el flujo de materiales entre                    tipo de flujo es similar al que tiene la
departamentos o el trabajo en estaciones. El          empresa PROMMESA, S.A. de C.V.. Claro
flujo de materiales requiere, que el manejo           que no se presenta un flujo idéntico, pero
de material no sea costoso, por que este              consideramos es el más similar y
costo se sumaria al valor de la operación.            posiblemente se busque que la propuesta de
Idealmente, nosotros preferiríamos que                distribución maneje este tipo de flujo.
nuestro análisis preliminar sea reducir el
problema al número de máquinas agrupadas              4.2. TIPOS DE DISTRIBUCIÓN
y dentro de cada grupo de máquinas todas
las partes siguen la misma sucesión de                •      Producto Estático
máquinas. Esto resultará en un arreglo lineal         •      Producto o la Producción en línea
de máquinas y el problema restante, sería             •      Grupo o Célula de Distribución
poner estas máquinas en el espacio                    •      Distribución por tipo de proceso

                                                      •
                                                          Palekar U. S.; "Plant Layout"; Courses.



                                                208
DISTRIBUCIÓN DE PLANTA Y MANEJO DE MATERIALES


                                                            Producto o Producción en línea

                                                                    Las distribuciones de planta por
                                                            producto, se usan cuando uno sólo o un
                                                            conjunto de productos estrechamente
                                                            relacionados, deben ser fabricados en
                                                            volúmenes altos. Las máquinas y las
                                                            estaciones de trabajo se arreglan, en una
                                                            fabricación en línea de montaje. EL orden de
                                                            las máquinas de la línea seguirá el orden en
                                                            que el procesamiento debe ser desempeñado.
                                                            Con anterioridad al diseño de tal
                                                            Distribución de planta en línea de montaje,
                                                            se resuelve el problema de balanceo de la
                                                            línea frecuentemente determinando el mejor
                                                            conjunto de tareas/actividades que deben
                                                            desempeñarse en cada estación.

Figura 4.1 Tipos de patrones de flujo típicos en la         Grupo o Célula de Distribución
distribución de planta

                                                                    El grupo de distribución se usa
        Dependiendo de la naturaleza del
                                                            cuando una familia de componentes será
producto y el tipo de fabricación (volumen
                                                            fabricada por una pequeña célula de
bajo contra volumen alto, el producto mixto,
                                                            fabricación. Una célula o celda de
etc.) que es desempeñado, Las distribuciones
                                                            fabricación, es un conjunto pequeño de
de planta se clasifican como se indica a
                                                            máquinas y técnicas de manufactura
continuación: •
                                                            flexibles que permiten mejorar la
                                                            productividad, calidad y tiempo de
Producto Estático
                                                            desarrollo de algún producto. •
                                                            En este arreglo, cada célula tiene material
        El Producto Estático en las
                                                            propio que maneja dicho sistema. Si es
distribuciones de planta, se usan cuando el
                                                            posible del todo, una parte del componente
producto a fabricar es grande y abultado. En
                                                            se procesa completamente en una célula de
tales casos, el producto se fabrica o arma
                                                            fabricación. Los componentes se encaminan
con una ubicación fija y se mueve alrededor
                                                            después a distintas áreas de ensamble.
del producto la maquinaria conforme se
necesita.    Los     ejemplos    de     tales
                                                            Distribución por tipo de Proceso
Distribuciones se encuentran en la
fabricación de aeronaves, barcos, etc. La
                                                                   Las distribuciones por tipo de
fabricación de tales productos se controla
                                                            proceso agrupan a las máquinas que
sobre una base de proyecto y la ubicación de
                                                            desempeñan actividades similares en
maquinaria cambia como el proyecto
evoluciona.                                                 •
                                                              Una célula de fabricación, está formada típicamente por:
                                                            Torno y Centro de Maquinados de control numérico, Robot de 6
                                                            grados de libertad y capacidad de carga de 10 Kg., Robot de
                                                            revolución horizontal para trabajos de ensamble, Robot para
                                                            verificación dimensional de producto terminado, 4 bandas
                                                            transportadoras automatizadas, Robot de almacén y descarga con
•
    Palekar U. S.; "Plant Layout"; Courses.                 brazo de movimiento bidimensional.



                                                      209
CAPÍTULO 4


procesos por departamentos. Así, en una               planta.     Los       pedazos     representan
planta con un Distribución por proceso,               departamentos y el rompecabezas con el
puede tener un departamento de rectificado            marco representa el edificio que aloja estos
(todos los tornos), un departamento de                departamentos.      El    rompecabezas     se
molienda, un departamento de acabados, etc.           complicaría aun más si nosotros agregamos
Tal distribución es común en plantas más              otros    elementos      del   problema     de
viejas y en el trabajo de talleres. Ellos             distribución. Por ejemplo, puede haber
requieren que se maneje una cantidad grande           varias maneras diferentes para poner el
de material, como también que se muevan               rompecabezas unido para que se adapte en el
las partes de los productos entre                     espacio asignado. Si asociamos cada
departamentos para diversas operaciones. En           configuración con una alternativa y nuestro
ellos se tienen la ventaja, de que los                deseo es encontrar la mejor alternativa,
trabajadores y los supervisores pueden                nosotros tendríamos que considerar cada
especializarse en su proceso. PROMMESA,               configuración factible. La cantidad de
S.A. de C.V. utiliza una distribución por             tiempo     requerida     que    resuelva    el
proceso y consideramos que esta                       rompecabezas sería aún más extensa. El
distribución será respetada por ser adecuada          problema de distribución comúnmente
y solamente redistribuiremos la planta de tal         involucra la reducción al mínimo de los
manera que sea más flexible y eficiente.              costos por el manejo de materiales; que
                                                      resulta en un costo asociado con cada
                                                      distribución factible.
4.3. ¿POR QUÉ EL PROBLEMA                             Desde el inicio el problema es difícil,
DE LA DISTRIBUCIÓN DE                                 frecuentemente se usa un modelo heurístico
                                                      para resolver el problema. Típicamente se
PLANTA INFLEXIBLE?                                    considera un único aspecto del problema y
                                                      una o más posibles soluciones al problema,
       Como        nosotros      constatamos          se crean usando esta versión restringida. Las
anteriormente el problema de Distribución             soluciones resultantes se ajustan para crear
de planta presenta una combinación                    una distribución aceptable y la mejor
geométrica de espacios y características que          solución resultante se implementa.
hacen el problema más difícil. Para
comprender él por qué de este caso, nosotros
consideramos      el    ejemplo     de    un
rompecabezas. Como nosotros sabemos, un
                                                      4.4.     TÉCNICAS      DE
rompecabezas toma una cantidad grande de              DISTRIBUCIÓN DE PLANTA
tiempo para resolverlo cuando hay un
número grande de pedazos. El problema                         Actualmente existe una gran
llega a ser más difícil cuando el marco del           variedad de técnicas empleadas para
rompecabezas no da demasiada información              determinar la mejor distribución de planta,
sobre que pedazos deben ser adyacentes.               entre las más utilizadas podemos mencionar
¡Ahora imaginemos un rompecabezas que                 la técnica de las plantillas, los modelos
no tiene ningún cuadro sobre él!. Claramente          matemáticos, rutinas computarizadas, etc •.
esto sería mucho más difícil. El                      La técnica de las plantillas se basa como su
rompecabezas permanecería siendo difícil              nombre lo indica en juegos de plantillas y
aún cuando todos los pedazos sean                     maquetas que se emplean para representar y
rectangulares. Este rompecabezas representa
una parte del problema de distribución de             •
                                                          Palekar U. S.; "Plant Layout"; Courses.



                                                210
DISTRIBUCIÓN DE PLANTA Y MANEJO DE MATERIALES


visualizar maquinaria, equipos o áreas, y a                    Un enfoque de alto nivel al proceso
través de estas plantillas establecer la                entero de la distribución de planta fue
ubicación de los diferentes elementos de la             formulado primero por Richard Muther. El
distribución de acuerdo a las diferentes                método se llama el Sistema de Distribución
relaciones que existen entre ellos. La                  de planta planificado, Systematic Layout
distribución resultante mediante esta técnica           Planning (SLP) y plantea la sucesión de
es muy subjetiva ya que depende del criterio            pasos que deben seguirse mientras se diseña
y experiencia de los procesos por parte del             una distribución de planta. Los pasos en el
planeador. En general se obtienen buenos                SLP son como se indica a continuación:
resultados, sin embargo esta técnica resulta
                                                        •      Cuantifique, el flujo de material entre
insuficiente para el análisis de plantas muy
                                                               departamentos
grandes y complejas o con un alto número
de elementos.                                           •      Cree la carta de relación de actividades
                                                        •      Cree el diagrama de relaciones
        Los modelos matemáticos pretenden               •      Determine los requerimientos de espacio
encontrar soluciones óptimas para la                    •      Cree la carta de relación de espacios
distribución de planta, pero debido al gran             •      Cree distribuciones alternas
número y complejidad de las relaciones,                         Mientras       estos      pasos   son
estos modelos se tornan muy complejos y                 conceptualmente simples, dentro de cada
difíciles de manejar, por lo cual se                    paso un número de actividades diferentes
encuentran muy limitados para aplicaciones              debe desempeñarse. Nosotros usaremos el
un poco más grandes.                                    SLP como un camino para orientarnos en
                                                        nuestra discusión del problema de
       Las rutinas computacionales no                   Distribución de planta.
presentan tantas limitaciones como los                  Se utilizarán elementos de esta técnica para
modelos matemáticos ya que pueden                       estudiar la situación actual de la empresa
soportar un gran número de relaciones entre             PROMMESA, S.A. de C.V. y generar las
los diversos elementos, sin embargo, aun no             alternativas que permitan aumentar la
logran sustituir la visión y criterio que tiene         eficiencia de esta. Por lo cual veremos cual
un diseñador con experiencia, es por ello               es la estructura de las fases de trabajo.
que generalmente solo se emplea para
generar alternativas que faciliten la toma de
                                                        Fases de trabajo de SLP •
decisiones. Actualmente existen varios
programas de este tipo, entre los más
                                                        1. Emplazamiento. Determinar la ubicación
reconocidos podemos mencionar CRAFT,
                                                           del área a ser distribuida. Esto no es
COFAD, CORELAP, ALDEP, PLANET,
                                                           necesario cuando no se trata de un nuevo
etc.
                                                           proyecto.
                                                        2. Planteamiento general. Establecer un
4.5.    “SYSTEMATIC LAYOUT                                 arreglo que incluya todas las áreas y
PLANNING (SLP)” PLANEACIÓN                                 elementos a ser distribuidos.
SISTEMÁTICA DE PLANTA                                   3. Planteamiento     detallado.     Localizar
(SLP) •                                                    específicamente      cada     pieza     de
                                                           maquinaria y equipo en las diferentes
                                                           áreas o departamentos, además debe

•                                                       •
    Richard Muther; "Systematic Layout Planing.             Richard Muther; "Systematic Layout Planing"



                                                  211
CAPÍTULO 4


   incluir las instalaciones de los diferentes         •   T = Tiempo en relación a P, Q, R, S y a
   servicios de soporte que se requieran.                  la programación del proyecto de
4. Instalación. Una vez que la distribución                planteamiento.
   a detalle esta terminada se deberá                         Con la investigación de estos
   implementar apropiadamente, cuidando                elementos (particularmente la composición
   que esta se realice de la manera                    de producto y la interrelación P-Q)
   planeada.                                           tendremos los elementos básicos necesarios
                                                       para empezar el análisis.
Cada distribución      se   apoya    en   tres
fundamentos:                                           4.5.1. DIAGRAMA               PRODUCTO
•   Relaciones. El grado de cercanía                   CANTIDAD (P –Q).
    deseado o requerido entre los elementos.
•   Espacios. La cantidad, clase y forma o                     Este diagrama es fundamental para
    configuración de los elementos a ser               ubicar el tipo de distribución que debe tener
    distribuidos.                                      una planta, de acuerdo a la clase de
                                                       producción que está presente. El análisis de
•   Ajustes. Acomodo de los elementos de la
                                                       este diagrama consiste en observar la forma
    mejor forma de acuerdo a las
                                                       de la curva de la relación entre la variedad
    limitaciones.
                                                       de productos contra la cantidad producida de
Elementos básicos para el planteamiento                éstos. Si la empresa PROMMESA, S.A. de
                                                       C.V. presentara una pequeña variedad de
        Antes de entrar en detalle en las              productos, pero elaboran grandes volúmenes
Fases II y III, deberíamos ver los elementos           de éstos, se trata de una producción en masa,
básicos o factores sobre los cuales                    la distribución más adecuada deberá ser
necesitamos hechos e informaciones. Estos              evidentemente "Por Producto o en Línea".
son fáciles de recordar cuando los                     Mientras que si mantiene una gran
codificamos según el “alfabeto del ingeniero           diversidad de productos, pero realiza una
de planteamientos”, PQRST. En el esquema               baja producción de éstos, la distribución más
de procedimientos de SLP (Figura 4.2) se               lógica deberá ser "Por proceso o Función"
puede ver que los datos de entrada son                 que es similar a la que tiene en este
información sobre las actividades y además             momento la empresa. Si la forma de
5 letras que representan la inicial de una en          producción se encuentra equilibrada en
inglés, Product (P), Quantity (Q), Routing             cuanto a la variedad y cantidad producida se
(R), Supporting Service (S) y Time (T).                recomienda una distribución de planta
Prácticamente, cada planteamiento empieza,             combinada, donde se implementen líneas de
o al menos descansa sobre estos elementos              producción para los artículos o productos
como base para su planificación.                       con demanda estable y mientras que se
• P = Producto o material, incluyendo                  implementaran células de producción para la
    variaciones y características.                     elaboración de los demás artículos, este
• Q = Cantidad o volumen de cada                       ultimo tipo de distribución consideramos
    variedad o artículo.                               que podría ser adoptado por PROMMESA,
• R = Ruta o proceso, por ejemplo la                   S.A de C.V.. A continuación se presenta
    operación, su secuencia y la maquinaria            una breve lista de los productos que la
    del proceso.                                       empresa procesa típicamente, así como un
• S = Servicios o actividades auxiliares               diagrama tipo P - Q, en donde se ilustra la
    que soportan las operaciones de                    relación entre el número de productos que se
    producción.                                        procesan y la cantidad de cada uno de ellos.


                                                 212
DISTRIBUCIÓN DE PLANTA Y MANEJO DE MATERIALES



                          ESQUEMA DE PROCEDIMIENTOS DE SLP.

                                     Datos de entrada: P,Q,R,S,T y Actividades.




               1. Flujo de materiales                                         2. Relación de actividades




                                                3. Diagrama de relaciones




     4. Requerimientos de espacio                                             5. Espacio disponible




                                                6. Diagrama de relación
                                                de espacios




             7. Modificaciones                                          8. Limitaciones
             por consideraciones                                        practicas



                                        Plan X                       Plan Z
                                                        Plan Y


                                                     9. Evaluación       Plan de
                                                                         distribución
 Figura 4.2 Esquema de procedimientos de SLP.
 Richard Muther; "Systematic Layout Planing"


        Los valores que aparecen en la tabla                 tomaron en cuenta aquellos productos que
son la suma de lo producido en los últimos                   fueron producidos en una cantidad mayor o
tres meses de operación (Septiembre,                         igual a las 5000 piezas / mes; a partir del
Octubre y Noviembre de 1998). Cabe                           mes de Septiembre. Evidentemente la lista
mencionar que en dicha lista sólo se                         de artículos que se maquilan durante un


                                                       213
CAPÍTULO 4


                                   TABLA 4.1.
      PRODUCCIÓN UNITARIA/ PIEZA ACUMULADA DE TRES MESES (SEP., OCT., NOV.)
       CLIENTE          No. DE PARTE                  DESCRIPCIÓN                 VOLUMEN
                                                                               PRODUCCIÓN/MES
 BOSEH               G398041317        SOPORTE T. S/A C/OR.                         74616
 NISSAN CIVAC        55054F4000        SEAT ASSY RR SPR LWR                         58056
 NISSAN MOTORES      10005F4000        SLINGER ENG, FR                              45150
 ROCKWELL            C50670            GLAS ATTACHED                                33450
 MABE                186D1340P002      INSERTO JAL. CORTO ALM. G. E.                32584
 INSA                1164215111        TOP PANEL FB.                                31750
 MABE                186D1342P005      BASE INSERTO JAL. G.E. LARGO                 31400
 NISSAN P. NUEVA     24425F4000        VAR. P/BAT.                                  30490
 MABE                186D1341P014      INSERTO JAL. LARGO ALM. G.E.                 30200
 MABE                186D1342P006      BASE INCERTO JAL. G.E. CROM.                 26880
 MABE                186D5403P001      BASE MOLDURA MABE                            26500
 MABE                221C5112P008      BARRA JAL. G.E. ALM. L-3                     26300
 ROCKWELL            C50820            FLECHA XJ 97                                 26300
 ROCKWELL            C50821            FLECHA XJ 97                                 25540
 MABE                221C5112P004      BARRA JAL. G.E. 216 ALM.                     24414
 MABE                186D1341P010      INSERTO JAL. LARGO ALMENDRA                  24150
 NISSAN TRANSEJE     32131D03G0        TAPA CARCAZA                                 22976
 NISSAN TRANSEJE     30520B25G8        P.C. EMBRAGUE                                21310
 GENERAL MOTORES     10066041          REINFORCEMENT                                20000
 NISSAN CIVAC        14485F4000        VAR. P/BATERÍA                               18550
 NISSAN TRANSEJE     32281A43G0        FLECHA FIJA                                  17700
 NISSAN TRANSEJE     38431B05G6        RETEN DE VELOCIDAD                           17485
 NISSAN TRANSEJE     30776F4300        S.C. EMBRAGUE                                15950
 MABE                221C5112P007      BARRA JAL. G.E. BCO L-3                      15754
 NISSAN CIVAC        55220F4000        SHAKLE R. R.                                 14750
 NISSAN CIVAC        51028F4000        PLATE CROSS                                  14000
 NISSAN CIVAC        62042F4300        BRACE FR BMPR RH                             13700
 ROCKWELL            C50406            SOPORTE                                      12820
 MABE                221C5112P003      BARRA JAL. EASY 216 BOQ.                     12450
 NISSAN P. NUEVA     64824F4200        SOP. CANISTER                                12120
 NISSAN MOTORES      11046F4101        COVER CYL FR                                 10250
 ROCKWELL            C10432            FLECHA TOYOTA                                 7500
 ROCKWELL            C10480            CANAL ENS.                                    7200


año es mucho mayor de hecho la lista de             lo cual consideramos se les debe prestar
todos los productos producidos por                  mayor atención que a los demás, debido a
PROMMESA, S.A. de C.V. fue presentada               que dichos artículos tiene un nivel alto de
en el capítulo 1, sin embargo el volumen            producción y también representan mayores
producido de varios de estos productos es           utilidades para la empresa PROMMESA,
muy pequeño e intermitente.                         S.A. de C.V. Cabe mencionar que la gran
                                                    mayoría de los artículos producidos tiene
        Del diagrama P - Q podemos                  como base las operaciones de corte en
apreciar que la mayoría de los diferentes           cizalla, troquelado, segundas operaciones y
productos se procesan sobre la base de              acabado. Por lo tanto es evidente que el tipo
distintos volúmenes, siendo sólo tres               de distribución de planta que se requiere
artículos los que presentan un volumen alto         emplear es " por Proceso o Función ".
de producción y además coincide con el              Actualmente la planta presenta este tipo de
análisis ABC realizado en el capítulo1, por         Distribución.




                                              214
DISTRIBUCIÓN DE PLANTA Y MANEJO DE MATERIALES




                                                   V O LU M EN D E PR O D U C C IÓ N " D ia g ra ma P-Q "

    8 000 0



    7 000 0



    6 000 0



    5 000 0



    4 000 0



    3 000 0



    2 000 0



    1 000 0



         0
                                                                                      1

                    SO P O RT E T . S/A C/O R.                     SE A T A SSY RR SP R L W R                  SL IN GE R E N G, FR
                    GL A S A T T A CH E D                          I N SE RT O JA L . CO RT O A L M . G. E .   T O P P A N E L FB.
                    BA SE IN SE RT O JA L . G.E . L A RGO          VA R. P /BA T .                             I N SE RT O JA L . L A RGO A L M . G.E .
                    BA SE IN CE RT O JA L . G.E . CRO M .          BA SE M O L D U RA M A BE                   BA RRA JA L . G.E . A L M . L -3
                    F L E CH A X J 9 7                             FL E CH A X J 9 7                           BA RRA JA L . G.E . 2 1 6 A L M .
                    I N SE RT O JA L . L A RGO A L M E N D RA      T A P A CA RCA Z A                          P .C. E M BRA GU E
                    R E I N F O RCE M E N T                        VA R. P /BA T E RÍA                         FL E CH A FIJA
                    R E T E N D E VE L O C ID A D                  S.C. E M BRA GU E                           BA RRA JA L . G.E . BCO L -3
                    SH A K L E R. R.                               P L A T E CRO SS                            BRA CE FR BM P R RH
                    SO P O RT E                                    BA RRA JA L . E A SY 2 1 6 BO Q .           SO P . CA N IST E R
                    CO VE R CY L FR                                FL E CH A T O Y O T A                       C A N A L E N S.

Fig. 4.3. Producción trimestral contra cantidad.




                                                                                215
CAPÍTULO 4


4.5.2. FLUJO DE MATERIALES Y                           Corte de Silueta: Recortar la plantilla
SECUENCIA DE OPERACIONES.                              requerida del artículo en proceso con la
                                                       ayuda de un troquel.
        Una vez establecido el tipo de                 Desengrase: Retirar el óxido, grasa y/o
distribución que se requiere, el cual coincide         polvo contaminante de la superficie del
con el que existe en la planta, procedemos a           artículo en proceso.
analizar la clase de relaciones existes entre          Acabado: Efectuar Zincado en tinas, el cual
las diferentes áreas que conforman la planta.          deberá ser plateado o azul, sin poro, mancha
Para ello utilizaremos la información de lo            o burbuja.
que mencionamos como Routing o Rutas.                  Punzonado General: Operación realizada en
Los documentos típicos que pueden proveer              el troquel la cual consiste en perforar el
datos sobre el movimiento de los insumos en            material, dándole una forma geométrica
la planta son los siguientes:                          definida.
• La cuenta de materiales                              Formado: Operación realizada en el troquel,
• Carta de ruta (flujo del proceso)                    la cual consiste en darle al material ciertas
• La reunión entre las cartas de                       formas especiales en ciertas regiones del
    operaciones del proceso                            mismo.
• El diagrama de procedencia                           Doblado: Operación realizada en el troquel,
                                                       la cual consiste en realizar uno o varios
        Para efectuar el análisis del flujo de         dobleces a iguales o diferentes ángulos.
materiales utilizaremos las siguientes                 Estampado: Realizar una impresión en el
herramientas:                                          material con la ayuda del troquel.
• Control del proceso                                  Corte de Tubo: Operación que se realiza en
• Flujo del proceso                                    el torno y la cual consiste en tronzar el tubo
        En los anexos del capítulo 4 (Anexo            con la ayuda de una cuchilla para tronzar de
4.1, 4.2 y 4.3), se muestran los controles de          cobalto.
proceso y flujos de proceso para los tres              Avellanado: Realizar un chaflán interior en
primeros artículos seleccionados con ayuda             el tubo con la ayuda de un buril de cobalto,
del diagrama P – Q, efectuado sobre la                 afilado a 45o.
producción de la empresa PROMMESA,                     Ensamble: Operación realizada con el fin de
S.A. de C.V., cabe mencionar que las                   ensamblar dos o más partes para formar una
herramientas anteriores fueron realizadas              sola pieza o un sólo conjunto. en este caso se
como propuesta en el capítulo anterior (3).            realizara el ensamble con la ayuda de un
                                                       soldadura por puntos.
Descripción de las principales operaciones             Alineado: Operación que se realiza con la
                                                       ayuda de un dispositivo especial el cual
Recepción de Material: Se recibe e                     permite la perfecta alineación entre centros.
inspecciona el material proveniente del                Inspección Final: Verificar los diferentes
almacén de Materia Prima y se traslada a la            diámetros, longitudes, alturas y anchos, del
siguiente operación.                                   material además del acabado.
Corte de Lámina: Está operación depende de             Empaque: Acomodar el artículo terminado
la forma en que se haya solicitado el                  en cajas.
material, pudiendo ser en cinta o en hoja. Si          Almacenamiento: Una vez revisado y
se trata de la primera entonces está                   empacado el producto, es colocado en el
operación no se realiza y si se trata de la            almacén de producto terminado para que sea
segunda esta operación es imprescindible.              entregado al cliente.


                                                 216
DISTRIBUCIÓN DE PLANTA Y MANEJO DE MATERIALES


       Cabe mencionar que no será utilizado                         Cada diamante representa la relación
ningún método numérico para determinar el                   entre un par de departamentos. La mitad
flujo de los materiales, sino que solamente                 superior del diamante se usa para indicar la
se emplearan las distancias recorridas y las                clasificación mientras la mitad inferior se
relaciones (o adyacencias) que presenten los                usa para explicar la razón para la
diferentes departamentos que componen la                    clasificación. Una tabla de códigos de razón
planta    productiva     de    la   empresa                 se muestra también con la carta REL.
PROMMESA, S.A. de C.V..
                                                            Actividad del diagrama de relaciones
4.5.3. DIAGRAMA DE RELACIONES
“Carta REL”                                                         El diagrama de relaciones “Carta
                                                            REL” puede usarse para determinar la
        La Carta REL • representa la                        adyacencia entre departamentos. Si el flujo
importancia de la adyacencia entre                          de material es una consideración importante
departamentos y usa seis niveles de                         o si el control del supervisor es otra
clasificación como se indica a continuación:                consideración importante entonces una
                                                            clasificación alta entre dos de los
A Absolutamente necesario                                   departamentos      sugiere      que   estos
                                                            departamentos         deberían        estar
E Especialmente importante                                  geográficamente cerca uno del otro. La
                                                            forma y tamaño de los departamentos limita
I Importante                                                el número de departamentos que pueden ser
                                                            adyacentes uno del otro. Uno de los
O Importancia Ordinaria                                     primeros pasos a desarrollar en una
                                                            distribución es determinar la adyacencia
U Insignificante                                            entre departamentos diferentes.

X Indeseable

        Es el analista el que determina la
clasificación exacta para la asignación de un
par de actividades. La Carta REL se
representa tradicionalmente usando una
tabla tal como la mostrada en la figura 4.4.




     Fig. 4.4. Diagrama Rel
•
    Palekar U. S.; "Plant Layout"; Courses: layout.



                                                      217
CAPÍTULO 4




4.5.4. PRINCIPALES SECCIONES DE                    35. Regaderas Hombres.
LA EMPRESA.                                        36. Regaderas Mujeres.
                                                   37. Inspección Final MABE.
       Actualmente son 54 las principales          38. Almacén de Producto Terminado II.
áreas que componen la planta, sin embargo,         39. Empaque I.
a través del Diagrama de Relaciones se             40. Embarque.
pretende integrar mejor los diferentes             41. Área de Desperdicio de Lámina.
elementos por lo cual este número puede            42. Área de Materia Prima Rechazada.
ser reducido.                                      43. Recepción.
                                                   44. Departamento de Personal.
Planta baja
1. Almacén de Producto Terminado 2.                Primer piso
Control de Calidad.                                45. Oficinas de Planta.
3. Taller Mecánico.                                46. Oficinas generales.
4. Almacén de Herramientas.
5. Área de Soldadura.                              Segundo piso
6. Área de Ensamble.                               47. Ingeniería de Calidad.
7. Área de Troquelados.                            48. Ingeniería de Manufactura.
8. Almacén de Materias Primas (Barras).            49. Área de Pintura MABE.
9. Almacén de Materias Primas (Láminas).
10. Área de Segundas Operaciones.                  Exteriores
11. Oficina de Producción.                         50. Estacionamiento.
12 Área de Taladros.                               51. Subestación.
13. Área de punteado.                              52. Área de Tanques de Gas.
14. Inspección de Proceso.                         53. Comedor.
15. Área de Cuarentena.                            54. Contenedores de Basura.
16. Almacén de Partes para Ensamble.
17. Área de Máquinas de Temple por                         En las dos hojas siguientes se
Inducción.                                         muestra el diagrama de relaciones de las
18. Área de Afilados.                              principales    áreas    de     la empresa
19. Área de Maquinados.                            PROMMESA, S.A. de C.V. y también el
20. Área de Desperdicio (Rebaba)                   plano en donde se encuentran representadas
21. Almacén General.                               dichas áreas de la empresa, con la
22. Almacén de Barras Obsoletas.                   distribución de planta actual.
23. Almacén de Cajas.
24. Área de Maquinado de SINGER.
25. Ensamble y Empaque I.
26. Inspección Final.
27. Área de Pintura.
28. Área de Galvanoplastía.
29. Ensamble y Empaque I.
30. Área de Fosfatizado.
31. Laboratorio.
32. Compresores.
33. Sanitarios Hombres.
34. Sanitarios Mujeres.


                                             218
DISTRIBUCIÓN DE PLANTA Y MANEJO DE MATERIALES




Fig. 4.5. Diagrama de RELACIONES ACTUAL




                                     219
CAPÍTULO 4




Fig. 4.6. Plano de la empresa DISTRIBUCIÓN ACTUAL




                                      220
DISTRIBUCIÓN DE PLANTA Y MANEJO DE MATERIALES




        Considerando la Actual Distribución           Primer piso
de Planta y el Diagrama de relaciones, se ha
decidido integrar varias áreas de la empresa.         33. Oficinas de Planta.
Con estos cambios se pretende también                 34. Oficinas Generales.
simplificar y reducir el número de relaciones
entre los nuevos elementos de la planta. Y            Segundo piso
por supuesto también, facilitar el proceso de
redistribución de las áreas                           35. Departamento de Ingeniería.
                                                      36. Área de Pintura MABE.
Planta baja
                                                      Exteriores
1. Almacén de Producto Terminado General.
2. Departamento de Control de Calidad.                37. Estacionamiento.
3. Taller Mecánico.                                   38. Subestación.
4. Área de Soldadura.                                 39. Área de Tanques de Gas.
5. Área de Ensamble.                                  40. Comedor.
6. Área de Troquelados.                               41. Contenedores de Basura.
7. Almacén de Materia Prima.
8. Área de Segundas Operaciones.                              El diagrama de relaciones ajustado
9. Oficina de Producción.                             de estas áreas se presenta en la hoja
10. Área de Taladros.                                 siguiente, con ayuda de este diagrama
11. Área de Punteado.                                 realizaremos un diagrama de bloques con el
12. Inspección de Proceso.                            cual determinaremos la ubicación correcta
13. Área de Cuarentena.                               de cada área o departamento que forma parte
14. Almacén de Partes de Ensamble.                    de la empresa PROMMESA, S.A. de C.V.
15. Afilados.
16. Área de Maquinados.                                      Para realizar el diagrama de bloques
17. Área de Desechos de Materia Prima.                que nos muestre la distribución de planta
18. Almacén General.                                  más adecuada para la empresa, haremos uso
19. Almacén de Cajas.                                 de un procedimiento que nos servirá para
20. Área de Maquinado de SINGER.                      esquematizar el diagrama de relaciones
21. Ensamble y Empaque I.                             ajustado.
22. Inspección Final.
23. Área de Pintura.                                  4.5.5. PROCEDIMIENTO   PARA
24. Área de Galvanoplastía.                           ESQUEMATIZAR EL DIAGRAMA DE
25. Ensamble y Empaque II.                            RELACIONES.
26. Área de Fosfatizado.
27. Laboratorio.                                      1. Identificar el número y nombre de las
28. Compresores.                                         áreas o secciones que se esquematizarán.
29. Sanitario H / M.                                     Señalar estás de acuerdo a la convención
30. Regaderas H / M.                                     del SLP.
31. Almacén de Producto Terminado
MABE.                                                 2. Elabore el Diagrama de A's (línea negra
32. Oficinas de Personal                                 gruesa). Este será el diagrama 1.




                                                221
CAPÍTULO 4


Fig. 4.7. Diagrama de RELACIONES AJUSTADO




                                    222
DISTRIBUCIÓN DE PLANTA Y MANEJO DE MATERIALES


3. Reacomode            para         obtener          5. Adicione las X's (línea verde en Zig-
   aproximadamente de igual longitud las                 Zag) cuando agregue las O's (línea rosa)
   líneas gruesas de las relaciones A y                  y reacomode buscando que todas las
   entonces adicionar las relaciones E (línea            relaciones conserven su proporción de la
   azul claro). Este será el Diagrama 2.                 mejor manera.
   Agregue las relaciones XX (2 líneas Zig-
   Zag), al Diagrama en este momento. En              6. El Diagrama Final será básico para la
   caso de no tener XX agregue las X’s.                  Distribución cuando sean agregados los
                                                         ajustes por espacio, y modificaciones por
4. Reacomode        tratando   de     obtener            limitaciones prácticas (Cuando sea
   longitudes de las líneas de las relaciones            elaborado el diagrama de bloques).
   del mismo tamaño. Entonces adicione
   las I's (líneas anaranjadas) y reacomode
   de ser necesario.

               Símbolo                                             Actividad

                                        Áreas de fabricación, ensamble, desensamble


                                        Áreas relacionadas a transporte.


                                        Zonas de almacenamiento.


                                        Zonas de espera.


                                        Áreas de inspección o prueba.


                                        Áreas de soporte y servicios.


                                        Oficinas o áreas de planeación



                            Fig. 4.8. Diagrama          A’s

        A’s
        E’s
        I’s                                                   26                   27
        O’s
        X’s


                                                223
CAPÍTULO 4




     Fig. 4.9. Diagrama   A’s y E’s




 4           5                        1



                                      16




                 7
33


                                      26   27


37               34




                      224
DISTRIBUCIÓN DE PLANTA Y MANEJO DE MATERIALES




                     Fig. 4.10. Diagrama      A’s , E’s e I’s


        4                  5                        12            13


                               10                                 14
                                                11


                                                                  15
            3                   6                        8


                                                                16     23
                               22
                                                21
                                                                       24

                                                    20       25


                                     1
                33                                   199     26             27

                                    7
                                               18

                                         35
                      32


            37                  34




                                              225
CAPÍTULO 4




Fig. 4.11. Diagrama       A’s , E’s, I’s y O’s


   4                 5                           12        13




                         10                                 14
                                       11

                                                            15
       3                 6                  8

                2
                                                           16

                         22                           9              17
                                       21

                                                            23
                                                      25
  31                                        20             24
                                  1

                                            19        26        27
           33
                              7
                                       18


                                  35                                 39
                32


                             34
   37




                                       226
DISTRIBUCIÓN DE PLANTA Y MANEJO DE MATERIALES




           Fig. 4.12. Diagrama                    A’s, E’s, I’s, O’s y X’s

                4                     5                                         12               13

                                                                                                                      29

                                      10                         11                             14




            3                         6                          8                                   15



                          2                                                 9
                                                                                                  16
                                       22                                                                               17
                                                            21

                                                                        25                                23

           31                                                 20
                                                                                                          24               28
                                              1
                                                                   19
                                                                                           26                  27
                    33                        7

                                                                   18
                              32                  35                                                                       40



                                                                              30
           38                          34
                                                                                                                           39



                         37                                   36
                                                                                                                           41


 Nota. Los símbolos sombreados de color verde, representan aquellas áreas que no son deseables que se encuentren cerca de las demás
 áreas de producción o de servicios de la empresa PROMMESA, S.A. de C.V..




                                                                 227
CAPÍTULO 4


4.5.6.  DETERMINACIÓN                    DE           - Área de Troquelados.
ESPACIOS.                                             - Área de Maquinados.
                                                      - Área de Pintura.
        Antes de establecer la ubicación de           - Área de Galvanoplastía.
cada elemento de la planta es necesario               - Área de Fosfatizado.
considerar los espacios que cada sección              - Área de Soldadura.
requiere para operar adecuadamente. Es
importante identificar los diferentes                        La relación de la maquinaria y el
servicios e instalaciones que en cada                 equipo con los que cuenta la empresa
elemento requiere.                                    PROMMESA, S.A. de C.V., es mostrado en
                                                      el anexo 4.7 del capítulo 4 de este proyecto
Procedimiento para la determinación de                terminal (la relación mostrada es bastante
espacios.                                             simplificada debido al gran número de
                                                      maquinas y equipo que utiliza la planta
1. Identificar las actividades o áreas                productiva).
   involucradas    usando    la    misma
   numeración y terminología usada para el                    Debido a las limitaciones que se
   Diagrama de Relaciones.                            tienen en las instalaciones, que son
                                                      justificadas en cierto grado con ayuda de la
2. Identificar, la maquinaria y equipo de             tabla 4.2 Áreas y características por
   cada área, o al menos el tipo general de           actividades”, no es posible realizar grandes
   éstos.                                             ajustes a la distribución de planta actual,
                                                      debido a que aunque son pocas las secciones
3. Determine para la operación de las                 que se consideran fijas, existen otras que a
   actividades.                                       pesar se pueden ser cambiadas, no es muy
                                                      recomendable ya que necesitan de algún tipo
       •   Área requerida según los datos P,          de instalación o servicio de apoyo especial
           Q, R, S y T.                               por lo que quitar y volver a colocar está
       •   Necesidades de espacio para                instalación o servicio resultaría demasiado
           servicios y funcionamiento de              costoso.
           cada elemento.
                                                             En la tabla 4.3, se muestra la relación
4. Determine los Servicios de Soporte que             de áreas de la distribución de planta actual y
   cada sección necesite.                             la propuesta.

5. Realizar, los ajustes y balances entre                     También se presenta el plano
   espacio requerido y espacio disponible.            (diagrama de bloques) de la empresa
                                                      PROMMESA, S.A. de C.V., con la
       En la planta existen secciones que se          distribución   de     planta   propuesta,
consideran fijas ya que el costo por                  determinada con ayuda del SLP.
cambiarlas de posición es muy alto, otras
debido a que desde el punto de vista
operativo no es posible cambiarlas. entre las
secciones que se consideran fijas se
encuentran:




                                                228
DISTRIBUCIÓN DE PLANTA Y MANEJO DE MATERIALES



                                             TABLA 4.2.
       ÁREAS Y CARACTERÍSTICAS POR




                                                                                                                    Mínimo espacio entre
                                                                          Máxima carga sobre
                                                     Claro sobre cabeza




                                                                                                                                                                          Cimentación o fosa
               ACTIVIDADES




                                                                                               soportada s / piso




                                                                                                                                           Agua y drenaje




                                                                                                                                                                                                             Electrificación
                                                                                                                                                            Temperatura




                                                                                                                                                                                               Ventilación
                                                                                                  Máx. carga



                                                                                                                         columnas




                                                                                                                                                                                                                especial
PROYECTO: DISTRIBUCIÓN DE PLANTA.




                                                                               cabeza
PLANTA: PROCESOS METALMECÁNICOS, S. A. DE C. V.

FECHA: 28 DE DICIEMBRE DE 1998.

               ACTIVIDAD                 ÁREA
                                          m2
Almacén de producto terminado general.     123.41                                                                                            O               O                      U           O                O
Control de calidad.                         66.60                                                                                            I               O                      U           O                O
Taller mecánico.                           421.36                                                                                            I               O                      U           O                A
Área de soldadura.                          64.12                                                                                            O               O                      U           A                A
Área de ensamble.                           97.60                                                                                            O               O                      U           O                E
Área de troquelado.                        267.14                                                                                            O               O                      A           O                A
Almacén de materia prima.                  254.18                                                                                            O               O                      U           O                O
Área de 2° operaciones.                    335.23                                                                                            I               O                      I           I                A
Oficinas de producción.                     17.46                                                                                            I               O                      O           O                O
Taladros.                                  157.10                E                                                                           O               O                      U           O                A
Área de punteado.                           20.92                x                                                                           O               O                      U           E                A
Inspección de proceso.                      17.41                i                                                                           O               O                      U           O                O
Área de cuarentena.                         26.58                s                                                                           O               A                      U           I                I
Almacén para partes de ensamble.            36.70                t            N                                                              O               O                      U           O                O
Afilado.                                    47.14                e            o                     2                                        I               O                      U           O                E
Área de maquinados.                        318.65                c                                  0                    3.                  O               O                      E           I                A
Área de desechos de materia prima.          16.48                l                                  0                    2                   U               O                      U           I                U
Almacén general.                            77.00                a             a                    0                    5                   O               O                      U           O                O
Almacén de caja.                            59.50                r             p                                                             U               O                      U           O                O
Área de maquinados Singer.                  99.47                o             l                                                             O               O                      I           O                A
Ensamble y empaque.                         96.58                a             i                   K                   m.                    O               O                      U           O                O
Inspección final.                           43.78                d             c                   g                                         O               O                      U           O                O
Área de pintura.                           235.65                e             a                                                             E               A                      A           E                A
Área de galvanoplastia.                    109.17                c             b                                                             A               E                      I           E                E
Ensamble y empaque.                         67.62                u             l                                                             O               O                      U           O                O
Área de fosfatado.                         110.23                a             e                                                             A               E                      I           A                E
laboratorio.                                10.15                d                                                                           A               O                      O           O                O
Compresores.                                22.75                o                                                                           O               O                      O           O                A
Sanitarios H y M.                           17.68                                                                                            A               O                      O           I                O
Regaderas H y M.                             88.3                                                                                            A               I                      O           I                O
Almacén de producto terminado Mabe.          15.9                                                                                            O               O                      U           O                O
Oficinas de personal.                       80.48                                                                                            I               O                      O           O                O
1°P oficinas de planta.                      47.7                                                                                            I               O                      I           O                O
1°P oficinas de generales.                 242.13                                                                                            I               O                      I           O                O
2°P ingeniería                              121.4                                                                                            O               O                      I           O                O
2°P área de pintura Mabe.                  116.87                                                                                            E               A                      A           A                A
Estacionamiento.                          1460.67                                                                                            O               O                      U           O                O
Subestación.                                44.08                                                                                            X               O                      E           I                A
Área de tanques de gas.                     56.03                                                                                            A               X                      A           A                E
Contenedores de basura.                     62.85                                                                                            X               X                      U           A                X
Comedor.                                   132.64                                                                                            A               O                      E           E                O




                                                    229
CAPÍTULO 4




                                          TABLA 4.3.
                                      RELACIÓN DE ÁREAS
                    Sección o Área                        Actual         Propuesta
                                                           m2               m2
1.    Almacén de producto terminado general.                    123.41          129.26
2.    Control de calidad.                                        66.60            87.00
3.    Taller mecánico.                                          421.36          365.00
4.    Área de soldadura.                                         64.12            64.12
5.    Área de ensamble.                                          97.60            97.60
6.    Área de troquelado.                                       267.14          498.53
7.    Almacén de materia prima.                                 254.18          177.18
8.    Área de 2° operaciones.                                   335.23          200.00
9.    Oficinas de producción.                                    17.46            17.46
10.   Taladros.                                                 157.10          157.10
11.   Área de punteado.                                          20.92            20.92
12.   Inspección de proceso.                                     17.41            17.41
13.   Área de cuarentena.                                        26.58            26.58
14.   Almacén para partes de ensamble.                           36.70            36.70
15.   Afilado.                                                   14.22            46.80
16.   Área de maquinados.                                       318.65           318.65
17.   Área de desechos de materia prima.                         16.48            16.48
18.   Almacén general.                                           77.00            77.00
19.   Almacén de caja.                                           40.56            40.56
20.   Área de maquinados Singer.                                 99.47            99.47
21.   Ensamble y empaque.                                        96.58            96.58
22.   Inspección final.                                          43.78            43.78
23.   Área de pintura.                                          235.65          235.65
24.   Área de galvanoplastia.                                   109.17          109.17
25.   Ensamble y empaque.                                        67.62            67.62
26.   Área de fosfatado.                                        110.23          110.23
27.   Laboratorio.                                               10.15            10.15
28.   Compresores.                                               22.75            22.75
29.   Sanitarios H y M.                                          17.68            17.68
30.   Regaderas H y M.                                           88.30            88.30
31.   Almacén de producto terminado Mabe.                        15.90            39.80
32.   Oficinas de personal.                                      80.48            80.48
33.   1°P oficinas de planta.                                    47.70            47.70
34.   1°P oficinas de generales.                                242.13          242.13
35.   2°P ingeniería                                            121.40          121.40
36.   2°P área de pintura Mabe.                                 184.15          151.63
37.   Estacionamiento.                                         1460.67         1460.67
38.   Subestación.                                               44.08            44.08
39.   Área de tanques de gas.                                    56.03            56.03
40.   Contenedores de basura.                                    62.85            62.85
41.   Comedor.                                                  132.64          132.64




                                               230
DISTRIBUCIÓN DE PLANTA Y MANEJO DE MATERIALES




Fig. 4.13. Plano de la distribución de planta propuesta




                                             231
CAPÍTULO 4




Las siguientes modificaciones que se                          En está sección se integraron los
proponen para mejorar la actual Distribución           almacenes de Materias Primas barras y
de Planta, fueron realizadas tomando como              láminas, con el único fin de que dejen de ser
base la esquematización del diagrama de                unidades individuales y se consideren como
relaciones y las restricciones que presenta la         unidad dividida internamente en dos
planta.                                                secciones

       1. Departamento de Control de                            5. Área de Afilados.
Calidad.
                                                               Está área queda formada por las
        Está sección de la empresa queda               áreas de afilados y Máquinas de temple por
integrada con las secciones de Control de              inducción, ya que esta última área a dejado
Calidad e Inspección Final de MABE, con el             de funcionar debido a que sus máquinas se
fin de agilizar y facilitar la inspección y            volvieron obsoletas y ya no eran utilizadas,
pruebas de calidad que se realizan en los              por lo que se decidió usar el área completa
productos que se procesan para esta                    para afilados y de está manera poder
industria                                              satisfacer las necesidades de mantenimiento
                                                       y servicio de herramientas de corte, para las
    2. Almacén de Producto Terminado                   secciones de troquelados, maquinados, taller
MABE.                                                  mecánico y el área de segundas operaciones.

       Queda integrado con las secciones                        6. Área de Desechos de Materia
correspondientes al almacén de Producto                Prima.
Terminado II y el área de empaque de Mabe
debido que en las dos secciones se realizan                    Se integra con las secciones de
exactamente las mismas actividades, sin                desperdicio de lámina, rebaba, materia prima
saber cual área era cual, por lo que                   rechazada y barras obsoletas, ya que
consideramos adecuado la integración de las            anteriormente eran consideradas como áreas
dos áreas en una sola. Además de agregarle             individuales y solían ocupar un mismo lugar
una sección más en donde se realizan los               y son tratadas de la misma manera.
embarques.
                                                                7. Sanitarios H - M y Regaderas H -
       3. Área de embarques.                           M.

        Está área se recomendó su                             Se integran en una misma área con el
desaparición debido principalmente a que no            fin de reducir secciones y se les considera
se ocupaba como tal ya que los embarques               como un conjunto dividido en dos áreas
salían directamente del almacén de producto            independientes.
terminado o del área de empaque de Mabe, y
esta sección era usada como una parte más                       8. Oficinas de Personal.
del almacén o del área de empaque. Por lo
que se le integro esta tarea como una                          Queda integrado con las áreas de
función más del almacén de Producto                    Recepción y el Departamento de Personal
Terminado de Mabe.                                     debido a que ocupan una misma área y las
                                                       actividades ahí realizadas pueden ser
       4. Almacén de Materias Primas.                  compartidas.


                                                 232
DISTRIBUCIÓN DE PLANTA Y MANEJO DE MATERIALES


       9. Departamento de Ingeniería.                           14. el Almacén de producto
                                                        terminado, también se verá ampliado debido
       Se integra con las áreas de ingeniería           a las modificaciones que se realizaran para
de Calidad y de manufactura, debido a que               las áreas de Mabe, como se explico
comparten una misma área.                               anteriormente.

       10. Taller Mecánico.                                     15. El taller mecánico se verá
                                                        reducido debido a que tiene una pequeña
       Se unifica con las áreas del Taller              sección que no es utilizada y se encuentra
Mecánico y el Almacén de herramientas                   actualmente abandonada, por lo que se
debido a que este último era usado única y              puede aprovechar está área, otorgando se la
exclusivamente por el taller mecánico, por lo           al área de inspección y control de calidad de
que consideramos adecuado que dejen de                  Mabe, para que el almacén de Producto
considerarse como unidades particulares y               terminado general pueda ser ampliado y
formen una unidad total.                                aprovechar todos los espacios sobrantes de
                                                        la empresa.
       11. Área de Pintura MABE.
                                                              16. El área de Troqueles también se
        Está área será cambiada de posición,            verá ampliada debido a que en los últimos
debido a la dificultad que presenta con                 meses se ha presentado un aumenten la
respecto al manejo de materiales.                       demanda de producción, por lo que se
Actualmente se encuentra en el Segundo                  tomaran porciones de las secciones de
Piso de la planta y el problema se genera en            segundas operaciones y el área de ensamble.
el transporte vertical, ya que el elevador, que
es el equipo de transporte para esta                             Una Distribución de Planta ideal
operación solamente funcionó por un                     debería minimizar los costos totales de
pequeño periodo de tiempo. Aparte de que la             operación de una planta. los movimientos de
ubicación de está área se encuentra a un                materiales (materia Prima, productos en
costado de las oficinas de ingeniería; y está           proceso, productos terminados, equipo, etc.)
cercanía no es deseable. La nueva ubicación             y trabajadores que no añaden ningún valor al
de está sección será a un costado del área de           producto, en cambio si provoca un aumento
galvanoplastía, ya que las dimensiones son              en los costos, debido a esto se ha procurado
las adecuadas para está área y además es una            reducir lo más posible los recorridos que
sección de la empresa que no sé utilizada y             realizan los materiales o en todo caso
solamente se requiere de cambiar la                     facilitar estos recorridos
instalación y el levantamiento de la pared
frontal                                                         Con la nueva distribución de planta
                                                        propuesta se logran reducir un poco las
       12. El Departamento de Ingeniería se             distancias recorridas por los materiales a
ampliarán tomando el área donde se                      fabricar. El movimiento de las materias
encontraba la sección de Pintura de Mabe.               primas y los insumos no varía de manera
                                                        considerable con respecto a la distribución
        13. Las oficinas Generales serán                anterior.
ampliadas, uniéndose con las oficinas de
planta sin perder ambas su autonomía.




                                                  233
CAPÍTULO 4


        Se puede observar en la tabla                                La reducción de los recorridos de los
resumen que la reducción de distancias se                    materiales no fue el único aspecto que se
presenta de manera considerable en las                       cuidó en el presente estudio de Distribución
partes finales de los recorridos de cada uno                 de Planta, también se tuvo cuidado de
de los productos que se trabajaron y esto es                 establecer los requerimientos de espacio de
debido a, que más que una nueva                              cada área, debido a lo cual fueron realizados
distribución de planta completa, se trabajo                  ajustes en el tamaño de algunas secciones.
sobre la base de las limitaciones que la                     Estas modificaciones también implican otras
misma empresa dispuso y sólo se pudieron                     mejoras como son la reducción en los
modificar los recorridos de los materiales en                tiempos de los procesos debido a que se
la mayoría de las casos en su parte final                    acortan las distancias, se facilita el flujo de
(Inspección final, Empaque y Embarque)                       materiales al organizar los almacenes de
esto será ampliamente detallado en la                        materiales a procesar.
siguiente sección de manejo de materiales. A
continuación se mostrara la tabla Resumen
de esta sección del proyecto, la cual muestra
los recorridos actuales y propuestos, así
como la reducción que se obtuvo sobre la
base de estos últimos.




                                                 TABLA 4.4.
                                                 RESUMEN
                                                                 PRODUCTOS.
OPERACIÓN                   SLINGER ENG, FR      SEAT ASSY RR SPR LWR       ENSAMBLE SOPORTE        REDUCCIÓN
                                                                                     TUBO
Recorrido                   Protuesto   Actual   Protuesto       Actual     Protuesto     Actual
Insp. recibo de lamina.        13.33     13.33       13.33         13.33       13.33       13.33          0.00
Corte de lámina en tiras.      34.86     34.86       34.86         34.86       34.86       34.86          0.00
Corte de lámina en silta.      18.72     18.72       25.72         25.72       25.72       25.72          0.00
Desengrasar.                   56.86     56.86                                                            0.00
Acabado                         4.68      4.68                                                            0.00
Preformado.                                           8.19           8.19                                 0.00
Formado.                                              3.51           3.51       3.04        3.04          0.00
Punzonado previo                                                               18.72       18.72          0.00
Doblado.                                                                       14.74       14.74          0.00
Estampado punzonado.                                                            3.51        3.51          0.00
Punzonado de brazo.                                                             3.00        3.00          0.00
Inspección recibo de tubo                                                      13.33       17.25          3.92
Corte de tubo.                                                                 45.39       50.45          5.06
Avellanado.                                                                     4.90        4.90          0.00
Ensamble soldadura.                                                            41.65       41.65          0.00
Alineado.                                                                       4.68        4.68          0.00
Inspección final               16.84     16.84       48.43         50.40       67.39       71.37          5.95
Embarque                       43.27     43.27        9.36         12.50        9.36       12.50          6.28
Empaque.                        8.19     10.53       12.40         16.85       12.40       16.85         11.24




                                                    234
DISTRIBUCIÓN DE PLANTA Y MANEJO DE MATERIALES



4.6. MANEJO DE MATERIALES                                cualquier análisis de manejo dependerá son:
                                                         Materiales, Movimientos y Métodos.
        A partir de la Segunda Guerra
Mundial se ha reconocido la importancia                         Para el estudio del Manejo de
que el manejo de materiales tiene en la                  Materiales dentro de PROMMESA se
actividad industrial. La aplicación apropiada            llevará a cabo mediante un análisis con
del manejo de materiales permite una                     ayuda de la Técnica denominada S. H. A
integración suavizada de todos los procesos              cuyo significado en inglés es Systematic
de     una   empresa,      relacionando    el            Handling Analysis, y en español significa
movimiento, el tiempo, cantidad y espacio.               Análisis Sistemático de Manejo.

        Históricamente se ha concentrado la              4.7. “SYSTEMATIC HANDLING
atención sobre la forma de hacer las cosas y             ANALYSIS (SHA)” ANÁLISIS
se ha descuidado la ciencia de moverlas.                 SISTEMÁTICO            DE
Hay dos excepciones, la rama de transportes                                •
                                                         MANUTENCIÓN (SHA)
y la técnica de estudios de movimientos en
la estación. Pero el claro entre estas dos es lo
que se conoce como " Manejo de                                  El Análisis Sistemático de Manejo es
Materiales".                                             un procedimiento organizado, de aplicación
                                                         universal a cualquier proyecto de manejo de
       En el sentido más amplio el Manejo                materiales, el SHA consiste en:
de Materiales se define como la "
Preparación,        ubicación,       posición,                        1. Estructura de Fases.
desplazamiento o almacenaje de todos los                              2. Patrón de procedimientos.
materiales, partes y componentes que son                              3. Colocación de Convenciones.
objeto de la actividad industrial ".
                                                         Fases del SHA
       El problema típico consiste en
transportar materiales, de un punto a otro sin                   Como cada proyecto de manejo lleva
retrocesos con un mínimo de transferencias               su curso de los objetivos establecidos para
entregándolos a las estaciones de trabajo o              instalar la realidad física pasa por cuatro
centros de producción indicados, de forma                fases las cuales son:
que se eviten congestiones, demoras o
movimientos innecesarios.                                             I. Integración externa.
                                                                      II. Plan total de manejo.
      Los objetivos o          beneficios   del                       III. Planes de manejo detallados.
manejo de Materiales son:                                             IV. Instalación.

1). Reducir costos.                                      Elementos claves
2). Disminuir desperdicios.
3). Aumentar la capacidad productiva de la                      Se examinarán los elementos claves
empresa.                                                 de entrada e información preliminar,
4). Mejorar las condiciones de trabajo.                  necesarios para actualizar un problema de
                                                         manejo de materiales. Estos son:
      Los fundamentos básicos del manejo
de materiales tienen sus bases sobre la cual
                                                         •
                                                             Richard Muther; "Systematic Handling Analysis.



                                                   235
CAPÍTULO 4


• P Productos o Materiales (Partes,                   Dimensiones de la Hoja: 91.4 cm * 304.8
  artículos, unidades)                                cm.
• Q Cantidades (Ventas o Volúmenes de                 Peso de la Hoja de Lámina: 42.51 kg.
  contratados).                                       Dureza: 69 - 79 Rb.
• R Rutas (Secuencia de operación y
  requisitos de proceso).                             Composición Química: Lámina SAE 1008.
• S Servicios de Soporte (Tal como                                          C 0.08 - 0.13
  control de inventarios, orden de                                          Mn 0.30 - 0.60
  procesos, mantenimiento).                                                 P 0.04 Máx.
                                                                            S 0.05 Máx.
• T Tiempo (Tarifas, tiempos de
                                                      Corte de la lámina: Cortada en Tiras con un
  operación).
                                                      ancho de 22.85 cm.
                                                      Peso de la tira de lámina: 10.63 kg / Tira.
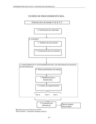
4.7.1. PATRÓN DE PROCEDIMIENTOS
                                                      Número de Tiras por lámina: 4 tiras/lámina.
DEL SHA
                                                      Dimensiones del artículo: Lámina 15.42 cm
                                                      * 21.27 cm.
       El manejo de Materiales se basa en:
                                                      Número de piezas por tira: 19 pzas / tira.
Materiales y movimientos que se deben
                                                      Peso de la pieza: 0.489 kg.
hacer, estableciendo prácticos métodos
                                                      Número de piezas por lote: Lámina: 1000
económicos para acomodar el movimiento
                                                      pzas / lote.
de los materiales. el Patrón de
Procedimientos SHA descansa, plenamente
                                                      Tipo de material: Tubo SAE 1010,
en estos tres fundamentos
                                                      Resistente a la Tracción 270-500 N/mm2.
4.7.2. CLASIFICACIÓN            DE     LOS            Dimensiones de la Hoja: 600 cm de longitud
MATERIALES                                            * 2 cm de diámetro * 1.00 mm de espesor.
                                                      Dureza: 75 - 86 Rb.
        Debido      a    que     la   empresa         Tamaño de grano: 6 – 8 (ASTM E -112).
PROMMESA, S.A. de C.V., presenta un                   Corte del Tubo: Cortado a 51.6 cm de
gran número de artículos diferentes, y que la         longitud.
gran mayoría de ellos se producen utilizando          Número de partes por Tubo: 11 pzas / Tubo.
como materia prima Lámina, Tubo y Barra,              Dimensiones del tubo cortado: 51.6 cm * 2
se pueden agrupar los materiales en clases.           cm de diámetro.
Dichas clases de material deben consistir de          Número de piezas por lote: 1000 pzas / lote.
artículos que son similares en una
característica dominante o por artículo. En           Empaque interior: Se acomodan en cajas o
PROMMESA, S.A. de C.V., se obtuvo la                  contenedores la cantidad de 500 pzas / caja,
siguiente clasificación de los materiales             protegidas con plástico.
sobre la base del tipo de artículo producido.         Dimensiones de la caja: 80 * 100 * 70, cm.
                                                      Peso Neto: 250 kg * contenedor.
Nombre del artículo: SOPORTE TUBO.                    Estivación máxima: 3 cajas.
Empresa a quién se le maquila: Robert
Bosch.

Tipo de material: Lámina SAE 1008,
Calibre # 14.



                                                236
DISTRIBUCIÓN DE PLANTA Y MANEJO DE MATERIALES




                       PATRÓN DE PROCEDIMIENTO SHA.

                            Elemento clave de entrada: P, Q, R, S, T.



                                     1. Clasificación de materiales



                        2. LAYOUT
                                       3. Análisis de movimiento



                                   4. Visualización de movimientos




        5. CONOCIMIENTO Y ENTENDIMIENTO DE LOS MÉTODOS DE MANEJO
        DE MATERIALES
                                    6. Planes preliminares de manejo



                                            7. Modificaciones y
                                                limitaciones


                                       8. Calculo de requerimientos



                                   Plan X         Plan Y       Plan Z




                                            9. Evaluación de
                                                                        Plan de manejo
                                               alternativas
                                                                        seleccionado
  Fig. 4.14. Patrón de procedimientos del SHA.
  Richard Muther; "Systematic Handling Analysis


                                                     237
CAPÍTULO 4


Nombre del artículo: SEAT ASSY – RR                  Tipo de material: Lámina de acero rolada en
SPR, LWR.                                            caliente SAE 1010, Calibre # 7.
Empresa a quién se le maquila: Nissan                Dimensiones de la Hoja: 91.4 cm* 304.8
Civac.                                               cm.
                                                     Peso de la Hoja de Lámina: 42.51 kg.
Tipo de material: Barra de acero estirado en         Dureza: 45 - 65 Rb.
frió SAE 1045.                                       Composición Química: Lámina SAE 1010.
Dimensiones de la Barra: longitud 3.0 o 6.0                                C 0.08 - 0.13
mts * 0.624” – 0.762” de diámetro.                                         Mn 0.30 - 0.60
Peso de la Barra: 4.656 kg o 9.312 kg.                                     P 0.04 Máx.
Dureza: 20 – 28 Rc (CR SAE 1045).                                          S 0.05 Máx.
Composición Química: Barra CR 1045.                  Corte de la Lámina: Cortada en Tiras con un
                      C 0.43 – 0.50                  ancho de 6.4 cm.
                      Mn 0.60 – 0.90                 Peso de la tira de Lámina: 7.14 kg / Tira.
                      P 0.04 Máx.                    Número de tiras por Lámina: 14 tiras /
                      S 0.05 Máx.                    lámina.
Corte de la Barra: Cortada en tramos de              Dimensiones del artículo: 6.4 cm * 12.8 cm.
10.86cm.                                             Peso del artículo: 0.299 kg.
Peso del tramo de Barra: 27 o 55                     Número de piezas por tira: 23 pzas / tira.
tramos/barra.
Dimensiones del artículo: diámetro (0.624 –          Número de piezas por lote: 1000 pzas / lote.
0.762”) * 10.74 de longitud.                         Peso del artículo ensamble: 1.743 kg.
Peso del artículo: 0.168 kg.                         Empaque interior: Se acomodan en cajas la
                                                     cantidad de 250 piezas / contenedor,
Tipo de material: Lámina de acero rolada en          protegidas con plástico.
caliente SAE 1010, Calibre # 7.                      Dimensiones de la contenedor: 54 cm * 37.2
Dimensiones de la Hoja: 91.4 cm* 304.8               cm * 18.5 cm.
cm.                                                  Peso Neto: 500 kg * contenedor.
Peso de la Hoja de Lámina: 42.51 kg.                 Estivación máxima: 9 contenedores.
Dureza: 45 - 65 Rb.
Composición Química: Lámina SAE 1010.                Nombre del artículo: SLINGER – ENG,
                      C 0.08 - 0.13                  FR.
                      Mn 0.30 - 0.60                 Empresa a quién se le maquila: Nissan
                      P 0.04 Máx.                    motores.
                      S 0.05 Máx.
Corte de la Lámina: Cortada en Tiras con un          Tipo de material: Lámina SAE 1010;
ancho de 19.3 cm.                                    Rolada en frío, Calibre # 7.
Peso de la tira de Lámina: 6.458 kg / Tira.          Dimensiones de la Hoja: 91.4 cm* 304.8
Número de tiras por Lámina: 15 tiras /               cm.
lámina.                                              Peso de la Hoja de Lámina: 101.99 kg.
Dimensiones del artículo: 19.3 cm * 17.7             Dureza: 45 - 65 Rb.
cm.                                                  Composición Química: Lámina SAE 1010.
Peso del artículo: 1.276 kg.                                               C 0.1 Máx
Número de piezas por tira: 5 pzas / tira.                                  Mn 0.25 - 0.45
                                                                           P 0.04 Máx.
                                                                           S 0.05 Máx.



                                               238
DISTRIBUCIÓN DE PLANTA Y MANEJO DE MATERIALES


Corte de la Lámina: Cortada en Tiras con un                                    Existen otros factores que atan al
ancho de 18.85 cm.                                                       Layout con el manejo de materiales y es que
Peso de la tira de Lámina: 6.30 kg / Tira.                               ambos son desarrollados con los mismos
Número de Tiras por Lámina: 16 tiras /                                   elementos clave de entrada: P, Q, R, S y T.
lámina.
Dimensiones del artículo: 17.48 cm * 18.85                                         Existen tres tipos clásicos de Layout:
cm.
Peso del artículo: 1.206 kg.                                             1. LAYOUT por Posición Fija.
Número de piezas por tira: 5 pzas / tira.                                2. LAYOUT por Proceso.
Número de piezas por lote: 1200 pzas / lote.                             3. LAYOUT por Producto.

Empaque interior: Se acomodan en cajas o                                        Como ya se menciono en la parte de
contenedores la cantidad de 400 piezas /                                 Distribución de Planta el tipo de LAYOUT
contenedor, protegidas con plástico.                                     que fue aplicado en este proyecto es el
Dimensiones de la caja o contenedor: 80 cm                               LAYOUT por proceso, debido a las razones
* 100 cm * 35 cm.                                                        ya antes explicadas.
Peso Neto: 500 kg * Contenedor.
Estibación máxima: 6 cajas.
                                                                         4.7.4. ANÁLISIS DE MOVIMIENTOS
4.7.3. DISTRIBUCIÓN DE PLANTA
                                                                                   *
(LAYOUT)                                                                        Cuando          analizamos   los
                                                                         movimientos, necesitamos conocer cierta
        Habiendo identificado y clasificado                              información. Estos datos incluyen:
los materiales que forman los tres artículos
analizados hasta el momento, el paso                                     1. El Material (Producto o clases de
siguiente en el patrón de procedimientos el                                 materiales).
SHA es el Layout. *Cualquier análisis                                         a) Las características físicas.
completo de movimientos de materiales, está                                   b) Otras características.
relacionado inseparablemente con el Layout.
La razón de ello, es que el movimiento o el                              2. La Ruta (origen y destino o trayecto de
manejo asocia a los materiales su                                           los movimientos).
aprovechamiento o un valor del espacio de                                       a) La distancia de los movimientos.
tránsito y dicho espacio, está ligado al lugar                                  b) Las situaciones físicas de la ruta.
donde se origina cada movimiento y al lugar
donde se acaba. Más concretamente, el                                    3. El Flujo (o movimiento).
Layout establece la distancia entre los                                        a) La intensidad del flujo (cantidad
puntos de origen y de destino y esta                                               de materiales por período
distancia de traslado es el factor más                                             moviéndose sobre una ruta.
importante a la hora de seleccionar un                                         b) Las condiciones del flujo (o
método de manutención. Todo Layout y plan                                          movimiento).
de manejo de materiales tiene tres
fundamentos, los cuales son: las relaciones,                                     Los datos de materiales ya fueron
el espacio y el ajuste.                                                  proporcionados y analizados en páginas
                                                                         anteriores; con respecto a la ruta

*                                                                        *
  Análisis sistemático de manutención, Richard Muther; “Capítulo           Análisis sistemático de manutención; Richard Muther; “Capítulo
2 Layout”.                                                               3 Análisis de movimientos”.



                                                                   239
CAPÍTULO 4


mostraremos un diagrama esquemático, que                  flujo de cada uno de los artículos estudiamos
resume en forma general los movimientos                   y los encontraremos en los anexos del
del material desde su ingreso a la planta                 capítulo 4 (4.4, 4.5 y 4.6). Cabe mencionar
hasta su punto final (salida), también hace               que el patrón de procedimientos del SHA
referencia a la tabla 4.4 “Tabla resumen del              esta siendo aplicado a la distribución de
Layout”, que proporciona las distancias o                 planta     propuesta     de     la    empresa
recorridos de los tres artículos estudiados en            PROMMESA, S.A. de C.V. desarrollada en
este proyecto. Por ultimo analizaremos el                 este proyecto terminal (sección anterior).
flujo, que será mostrado en los diagramas de
                          DESPLAZAMIENTO DE MATERIALES (SHA.)


                         PROVEEDORES                                             LÍNEA DE AUTORIDAD




                                                                                   TRAFICO
                           RECEPCIÓN


                   INSPECCIÓN DE ENTRADA
                                                                                   ADMINISTR Y
                                                                                   CONTROL DE
                    ALMACÉN DE MATERIA PRIMA                                       CALIDAD



                         PRODUCCIÓN




PROCESO SLINGER      PROCESO SEAT ASSY RR                 PROCESO SOPORTE
    ENG, FR                SPR, LWR                            TUBO                MANUFACTURA


                                                              ENSAMBLE
                             ENSAMBLE



                         INSPECCIÓN FINAL                                          CONTROL DE
                                                                                   CALIDAD

                            EMPAQUE
                                                                                   MANUFACTURA


                             ALMACÉN
                             PRODUCTO                                              COMERCIALIZACIÓN
                            TERMINADO

                            EXPEDICIÓN                                             TRAFICO

  Fig.4.15. Desplazamiento de materiales (SHA).
  Diseñado específicamente para PROMMESA S.A. de C.V.


                                                    240
DISTRIBUCIÓN DE PLANTA Y MANEJO DE MATERIALES


4.7.5.  VISUALIZACIÓN                                      DE             mismo capítulo en la sección anterior.
MOVIMIENTOS                                                               Dichos diagramas de flujo de proceso se
                                                                          encuentran en los anexos de este capítulo
       Habiendo analizado los movimientos                                 (Anexos 4.4, 4.5 y 4.6), solamente fueron
y habiendo determinado un Layout                                          realizados los diagramas de flujo de proceso
específico del área involucrada, estamos                                  para los tres artículos estudiados en este
preparados para encajarlos juntos. El SHA lo                              capítulo hasta el momento.
hace visualmente.
                                                                          4.7.6. ENTENDIMIENTO DE                                LOS
       Básicamente, tratamos de desarrollar                               MÉTODOS     DE   MANEJO                                 DE
un método de manutención partiendo de los                                 MATERIALES
requerimientos que los materiales y
movimientos necesitan. Es decir, tratemos                                        Si observa el esquema del SHA
de resolver un problema de manera que,                                    (Figura 4.4) veremos que hasta el momento,
conociendo algún método que visualice                                     hemos recogido la información necesaria en
claramente nuestros datos, nos ayuda a                                    los bloques 1, 2, 3 y 4 y la hemos analizado
entenderlo. Se dice que “Una imagen es                                    y visualizado para su mejor interpretación.
mejor que mil palabras” y un resumen visual                               Ahora necesitamos un entendimiento de los
claro, son más fáciles de interpretar que                                 métodos de manejo e materiales antes de que
diversos datos descriptivos. Por otra parte, la                           podamos proceder a resolver nuestro
mayoría de la gente puede leer el significado                             problema. *
sobre diagramas y gráficos más fácilmente
que de hojas de datos y columnas de                                       4.7.7. PLANES PRELIMINARES DE
números. Como resultado, la visualización                                 MANUTENCIÓN
de movimientos se convierte en la próxima
importante     etapa     del    patrón      de                                   Habiendo clasificado los materiales,
                          *
procedimientos del SHA.                                                   analizando y visualizando los movimientos
                                                                          en un Layout propuesto y obtenido un
        El flujo de materiales                          puede             conocimiento y entendimiento de los
visualizarse de varias maneras:                                           métodos de manutención como se usan en el
                                                                          SHA, ahora estamos en condiciones de
          •     Diagramas esquemáticos de                                 tomar decisiones preliminares acerca de los
                proceso – flujo.                                          métodos y los planes específicos de
          •     Diagramas de flujo sobre el                               manutención.
                Layout.
          •     Gráficos de representación por                                   Como      vimos      anteriormente,
                coordenadas.                                              llamamos a un cierto sistema, equipo y
                                                                          unidad de transporte, un método. Cada
        Nosotros empleamos un diagrama                                    método mueve un cierto material sobre una
nombrado de flujo de proceso, este diagrama                               cierta ruta. Los mismos métodos pueden
fue obtenido utilizando los datos y                                       usarse sobre varias rutas o para varios
diagramas desarrollas en el capítulo anterior                             materiales o pueden usarse diferentes
(3) de ingeniería de métodos y la                                         métodos.     En   cualquier   caso,   una
distribución de planta propuesta en este

*                                                                         *
  Análisis sistemático de manutención, Richard Muther; Capítulo 4           Análisis sistemas de manutención; Richard Muther; Capítulo 5
(Visualización de movimientos).                                           (Entendimiento de los métodos de manejo de materiales).



                                                                    241
CAPÍTULO 4


combinación de métodos se denomina un                                    4.7.8.  MODIFICACIONES                                       Y
plan.                                                                    LIMITACIONES
        El SHA llama a esta determinación
de los métodos de manutención “Ingeniería                                        Debe recordarse que el manejo de
Sistemática      de     Coordinación”.      Es                           materiales incluye algo más que seleccionar
“sistemática” porque sigue unos pasos                                    el sistema, el equipo y la unidad de
lógicos y organizados, es “ingeniería”                                   transporte. Además existe el problema de
porque determina la solución desde el                                    operar el equipo adecuada y efectivamente,
análisis fundamental de los hechos, es de                                lo que en la mayoría de las plantas
“coordinación” porque liga el método (S)                                 industriales incluye a los trabajadores
con los materiales y movimiento requeridos,                              directos o indirectos que mueven el material
y relaciona los diferentes métodos entre sí. *                           o a quién controla físicamente este
                                                                         movimiento.
Hojas de trabajo para métodos                                                    Más allá de estos problemas de
                                                                         análisis y operaciones, debemos darnos
         Una forma en que podemos registrar                              cuenta que existe también un problema de
nuestros planes es apuntarlos en una hoja de                             coordinación y soporte de las operaciones
papel. La tabla 4.5 muestra una forma                                    del manejo de materiales
simple de hacer una lista el Sistema, Equipo                                     Los problemas de operar y
y Unidad de transporte para cada material (o                             coordinarlas instalaciones de manejo de
clase de material) sobre cada ruta. Cuando                               materiales se dividen en dos categorías
hay sólo uno o unos pocos materiales y una                               generales: *
secuencia directa de rutas, esto e una forma
práctica de hacerlo. Por lo cual para este                               1. Organización y personal.
caso en donde solamente estamos analizando
tres artículos del total de artículos de fabrica                                 En esta categoría la empresa
PROMMESA, S.A. de C.V., esta hoja es                                     PROMMESA, S.A. de C.V., presenta una
adecuada, pero cuando se quiera registrar                                función de manutención de tipo centralizada
todas las clases de materiales que son                                   debido a que el movimiento de los
utilizadas en la producción de los artículos                             materiales es supervisado en todos sus
que fabrica la empresa, deberá emplear se                                movimientos dentro de la planta. Los
otro tipo de hoja, llamada “Hoja de                                      métodos de manutención propuestos en este
coordinación de métodos de manutención”.                                 estudio no requieren de diferentes tipos de
                                                                         habilidades laborales por parte de los
        La hoja de coordinación de métodos                               obreros, por lo tanto tan poco requiere de
se construye de la misma forma que el                                    diferentes tipos de planes de salarios,
Resumen de movimientos: Cada ruta tiene                                  contratos, capacitación o capacidad de
una línea y cada clase de material tiene una                             entrenamiento. Por lo tanto podemos decir
columna. Sobre el Resumen de Movimientos                                 que el estudio de manejo de materiales
registramos la “medida” de los movimientos                               realizado es bastante flexible y adecuado.
sobre cada ruta para cada material. Ahora
sustituimos “un método” por esta medida.



*                                                                        *
 Análisis sistemático de manutención; Richard Muther; Capítulo 6          Análisis sistemático de manutención; Richard Muther; Capítulo 7
(Planes preliminares de manutención).                                    (Modificaciones y limitaciones)



                                                                   242
DISTRIBUCIÓN DE PLANTA Y MANEJO DE MATERIALES


                                                     PLANES PRELIMINARES DE MANEJO.

                                                                           PLANTA PROMMESA        PROYECTO __T_
HOJA DE TRABAJO PARA LOS MÉTODOS DE MANEJO DE MATERIALES                   POR: M.C.D.; M.V.L.A.
                                                                           CON:         HOJA __1__ DE __2__
                  RUTA                      CLASE DE MATERIAL               MÉTODO PROPUESTO                OBSERVACIONES
                                                                 SISTEMA - EQUIPO Y TRANSPORTE UNITARIO
  RECEPCIÓN                             LÁMINA a                DIRECTO - MONTACARGAS -PALLET
                                        TUBO b                  DIRECTO - MONTACARGAS -PALLET
                         PRIMER ALMACÉN OTROS ARTÍCULOS         DIRECTO - MONTACARGAS -PALLET
  1° ALMACENAJE
                                            LÁMINA a            DIRECTO - MONTACARGAS -PALLET
                            CORTE DE TIRA
  CORTE DE TIRA
                                            LÁMINA a            DIRECTO - CARRO MANUAL DE 4 RUEDAS
                         CORTE DE SILUETA
  CORTE DE SILUETA
                                            LÁMINA a            DIRECTO - MANUAL - CAJA.
                     PUNZONADO PREVIO
  PUNZONADO PREVIO
                                            LÁMINA a            DIRECTO - MANUAL - CAJA.
                                FORMADO
FORMADO
                                            LÁMINA a            DIRECTO - CARRO MANUAL DE 4 RUEDAS - CAJA
                                  DOBLES
DOBLES
                                            LÁMINA a            DIRECTO - CARRO MANUAL DE 4 RUEDAS - CAJA
                              PUNZONADO
PUNZONADO
                                    LÁMINA a                    DIRECTO - MANUAL - CAJA
              ESTAMPADO Y PUNZONADO
ESTAMPADO Y PUNZONADO               LÁMINA a                    DIRECTO - MANUAL - CAJA

                           CORTE DE TUBO TUBO b                 DIRECTO - CARRO MANUAL DE 4 RUEDAS - CONTENEDOR
CORTE DE TUBO
                                            TUBO b              DIRECTO - MANUAL - CAJA
                     REBABEADO DE TUBO
REBABEADO DE TUBO                           TUBO b              DIRECTO - CARRO MANUAL DE 4 RUEDAS - CONTENEDOR

               ENSAMBLE Y SOLDADURA LÁMINA a                    DIRECTO - CARRO MANUAL DE 4 RUEDAS - CONTENEDOR
SOLDADURA Y ENSAMBLE
                                     ENSAMBLE c                 DIRECTO - MANUAL - CAJA
                            ALINEADO




                                                                    243
CAPÍTULO 4


*

                                                                             PLANTA PROMMESA         PROYECTO __T_
HOJA DE TRABAJO PARA LOS MÉTODOS DE MANEJO DE MATERIALES                     POR: M.C.D.; M.V.L.A..
                                                                             CON:         HOJA __2__ DE __2__
                    RUTA                      CLASE DE MATERIAL               MÉTODO PROPUESTO                OBSERVACIONES
                                                                   SISTEMA - EQUIPO Y TRANSPORTE UNITARIO
     ALINEADO
                                              ENSAMBLE c          DIRECTO - CARRO MANUAL DE 4 RUEDAS - CONTENEDOR
                           INSPECCIÓN FINAL
     INSPECCIÓN FINAL
                                              CAJAS d             DIRECTO - MONTACARGAS -PALLET
                                   EMPAQUE
     EMPAQUE
                                              CAJAS d             DIRECTO - MONTACARGAS -PALLET
                          ALMACENAJE FINAL




*
    Tabla 4.5. Hoja de trabajo para métodos de manutención.



                                                                      244
DISTRIBUCIÓN DE PLANTA Y MANEJO DE MATERIALES


2. Procedimientos, control, comunicación y                               de que esta simple técnica de comparación
   programas.                                                            es extremadamente efectiva para el analista
                                                                         y para aquellos que tendrá que convencer
       La relación entre la manutención y                                cuando haga sus recomendaciones.
de los procedimientos y controles que
permiten operar a los métodos de                                                 Esta comparación de pros y contras
manutención es también básica. Esto incluye                              envuelve simplemente el anotar en columnas
el trabajo total de coordinación de                                      o en hojas una al lado de la otra, todas las
producción e inventariado o dirección de                                 ventajas de cada alternativa, y debajo de
abastecimiento de materiales, planes de                                  ellas todas las desventajas.
producción e inventarios, programación y
lanzamiento, informes de movimientos y                                          Este mismo método de ponderar pros
similares y además, envuelve actividades                                 y contras puede ser hechos ahora mas
como mantenimiento del equipo en                                         precisamente evaluando la importancia o
condiciones de operación satisfactoria, todas                            gravedad de cada ventaja o desventaja. Si
y cada una de estas actividades fueron                                   esto se lleva a cabo hasta el final, no
estudiadas en cierta forma en este proyecto                              obstante, podríamos ir al método del análisis
terminal, por lo cual afirmamos que dicho                                de factores (a cubrir abajo) a causa de su
proyecto es un proyecto integral que cumple                              fuerza y beneficios secundarios. *
con los requerimientos necesarios para su
adecuada implantación.                                                   Análisis de factores ponderados

4.7.9. CALCULO                             DE           LOS                    La evaluación de factores intangibles
REQUERIMIENTOS                                                           se hace usualmente mejor por medio del
                                                                         método de los factores ponderados de
Probablemente la mejor manera de                                         comparación de alternativas.
especificar y calcular un plan de
manutención propuesto es dividirlo en partes                                    Este método se aplica en la tabla 4.7.
básicas, cada parte consiste en todos los                                Esencialmente, el procedimiento incluye los
movimientos que son realizados con los                                   siguientes pasos:
mismos        métodos  de    manutención. *
Utilizaremos un formato llamado “Hoja de                                 1.     Hacer una lista de factor (o
calculo de necesidades” que se presenta en                                      consideraciones o objetivos) es que
la tabla 4.6.                                                                   están envueltos o se requieren del plan
                                                                                de manutención.
4.7.10.   EVALUACIÓN                                         Y           2.     Determinar un peso o un valor relativo
ALTERNATIVAS                                                                    de importancia para cada factor
                                                                                empezando con el factor más
        Una de las formas más fáciles de                                        importante como diez.
preparar nuestras mentes es simplemente                                  3.     Identificar los planes alternativos,
anotar las ventajas y desventajas de cada                                       usando una columna para cada plan.
plan alternativo. Podemos escoger llamarles,                             4.     Evaluar todos los planes para un factor
pros y contras, ganancias y pérdidas,                                           al mismo tiempo, utilizando la escala
beneficios y deficiencias. Persiste el hecho                                    de letras vocales A, E, I, O, U, X.

*                                                                        *
 Análisis sistemático de manutención; Richard Muther; Capítulo 8          Análisis sistemático de manutención; Richard Muther; Capítulo 9
(Calculo de requerimientos).                                             (Evaluación de alternativas).



                                                                   245
CAPÍTULO 4


                               CALCULO DE REQUERIMIENTOS
HOJA DEL CALCULO DE NECESIDADES.                           PLANTA PROMMESA       PROYECTO __T_
Método: Carretilla manual.                                 POR: M.C.D.; M.V.L.A.
                                                           CON:        HOJA __1__ DE __1__
Descripción del Método: Carretilla manual “Carro manual de 4 ruedas” elevadora de 500kg. Los
conductores reciben órdenes del supervisor dependiendo del departamento en que se encuentre el
material. Los materiales seguirán diferentes trayectorias de pendiendo de la pieza que se desee fabricar.

MOVIMIENTOS CUBIERTOS                 CALCULO DEL EQUIPO Y DE LA               CALCULOS DE PLANTILLA
                                         UNIDD DE TRASNTORTE




Notas:                               TOTAL                                  TOTAL
                                     Inversión:                             Costo de personal:
                                     Costo operacional:

Tabla 4.6.. Hoja del calculo de necesidades.

5.    Convertir cada vocal –letra de la escala                  más gente, o una ponderación más cuidadosa
      en un valor numérico, multiplicándolo                     de los factores. Adicionalmente, cada plan
      por el valor de peso del factor, y                        puede ser reexaminado por mejores
      registrando el valor ponderado de cada                    potenciales de los factores evaluados más
      plan alternativo para cada factor.                        bajos.
6.    Totalizar, los valores numéricos                                  En la tabla 4.7. correspondiente a la
      ponderados para cada plan y comparar                      evaluación de alternativas se puede
      los totales ponderados.                                   observar, como dos de las alternativas
                                                                prácticamente tienen el mismo valor, con
     Un plan puede sobresalir claramente                        motivos de este estudio (proyecto terminal)
sobre los otros. Esto se considera así si el                    no realizaremos otra evaluación de estas dos
mayor valor de un plan tiene un total que es                    alternativas, y la razón de esta decisión es
un 20% mayor que el total del más próximo                       que consideramos que ambas alternativas
alternativo. Si esto es así, este plan es el que                son necesarias para poder realizar los planes
lógicamente se debe seleccionar. Más                            que tiene la empresa PROMMESA, S.A. de
frecuentemente los planes están muy                             C.V. a largo plano.
cercanos. Estos contendientes finales pueden
ser evaluados otra vez con más escrutinio,


                                                          246
DISTRIBUCIÓN DE PLANTA Y MANEJO DE MATERIALES


                                 EVALUACIÓN DE ALTERNATIVAS
DESCRIPCIÓN DE ALTERNATIVAS.

A   Incremento del área de troquelado
B   reubicación del área de pintura de Mabe
C   Incremento del área de regaderas
D   Incremento del área de oficinas
E   Modificaciones del flujo de proceso

      FACTOR / CONS                      PESO         RAZÓN Y PESO         OBSERVACIONES
                                                 A     B   C    D     E
Costo total de inversión                 40     90     8  10    15    5
espacio disponible en Layout              5     90    90  90    90    90
tiempo de recuperación de la inversión   10     80    60  90    90   40
Disminución del manejo de materiales     20     70    80   0     0   90
Incremento de la productividad           15     90    90  40    20   90
Incremento de la calidad                 10     80    90  40    30   90
              TOTAL                      100    500   490 270 245    405




PROYECTO                     SLP Y SHA                          FECHA         28-12-1998
PLANTA                      PROMMESA                            PREPARO      M.C.D.; M.V.L.A.



Tabla 4.7. Evaluación de alternativas.




                                                      247
CAPÍTULO 4


                           Conclusiones
           as técnicas de SLP Y SHA                           Afortunadamente      PROMMESA,



L          aplicadas para analizar los
           problemas de distribución de
           planta y manejo de materiales
           que presenta la empresa
PROMMESA, S.A. de C.V., proveen un
número de procedimientos específicos a
                                                      S.A. de C.V., cuenta con un tipo de
                                                      producción bastante flexible y por la
                                                      misma razón su distribución de planta
                                                      también lo es y a pesar de que maneja un
                                                      gran número de materiales, con ayuda de
                                                      las técnicas aplicadas en este proyecto, es
seguir y haciendo esto, se podrá ahorrar              posible diseñar un sistema de manutención
tiempo en el desarrollo de los estudios,              y una adecuada distribución de planta,
además de que nos ayudan a alcanzar                   como los propuestos que sean el inicio de
mejores decisiones y proveerán de más                 una serie de cambios que den buenos
confianza para la aprobación de los                   resultados a corto plazo en las condiciones
estudios realizados por parte de la                   del sistema productivo y en general en la
dirección de la empresa.                              empresa.

        En realidad la importancia de
utilizar las técnicas de Richard Muther,
recae en la organización lógica que es
empleada en su aplicación y desarrollo.

        En nuestro caso, fue de gran ayuda
por las condiciones de la empresa
PROMMESA, S.A. de C.V., una empresa
clasificada en el rango de la mediana
empresa por su tamaño y por esta misma                REFERENCIAS:
razón hubiese sido bastante difícil el tratar
de atacar los problemas de distribución y             •   Richard Muther; "Systematic Layout
manutención empleando algún otro                          Planing"; Management & Industrial
método. A pesar de que en el estudio                      Research Publications; 1973.
realizado por nosotros en este proyecto
terminal, solamente fueron considerados               •   Richard Muther; "Systematic Handling
tres de los artículos fabricados por dicha                Analysis"; Management & Industrial
empresa, es importante señalar que las                    Research Publications; 1969.
alternativas y cambios sugeridos son
adecuados y pueden ser implantados sin                •   Palekar U. S.; "Plant Layout"; Courses:
que estos causen un caos o requieran de                   layout-.html,        layout-Types.html,
una cantidad exagerada de recursos por                    layout-Types-2.html, layout-Why.html,
parte de la empresa o la planta productiva y              layuot-Systemat.html,           layout-
además también pueden ser como marco de                   Activity.html, layout-REL.html, layout-
referencia para realizar estudios más                     REL-2.html;
detallados de cada una de las áreas de la                 http://www.cen.uiuc.edu/courses/ie261/
planta productiva o de servicios que tiene                notes/layout/; 1998.
PROMMESA, S.A. de C.V..




                                                248

Ingeniería de planta 1/3

  • 1.
    CAPÍTULO 4 4. Distribución de planta y Manejo de materiales reservado para el grupo de máquinas. E l problema de la Distribución de Desentendiéndose de la aplicación y espacio planta siempre presenta su mayor disponible las máquinas pueden ponerse en preocupación en la ubicación y uno de los modelos mostradas en la figura arreglo de los departamentos, 4.1. • células o máquinas sobre un piso El modelo de flujo - U se usa de oficina o planta. A causa de los aspectos frecuentemente cuando es necesario guardar de combinación geométrica del problema, el los fines receptores y navieros de la línea al problema de Distribución de planta es un mismo fin de la planta. Esto puede ser problema de cálculos muy difícil. Además, debido las consideraciones que maneja el el problema de Distribución se asocia con material (las mismas bifurcaciones pueden factores cuantitativos y cualitativos con lo usarse para ambos propósitos) o que será aún más difícil modelar y analizar. consideraciones externas de acceso (camino de acceso, muelles de camión). El flujo - U En general, es siempre preferible se prefieren también en justo - a - tiempo de hacer algún análisis y la simplificación de la Distribución. En este caso, los proceso, para descomponer el problema en trabajadores se ponen en el centro de la U y problemas pequeños separados. Esto reduce pueden controlarse uno al otro progresar y el tamaño del problema que permite un colaborar fácilmente cuando se requiere. La estudio más completo de varias alternativas menor distancia también ayuda en el equipo de Distribución. de producción. El flujo - O se usan usualmente en las células de máquina que 4.1. TIPOS DE PATRONES DE son atendidas por un material común que FLUJO maneja el robot. Las Distribuciones de serpentinas se usan para los procesos largos En el problema de Distribución de de ensamble que se tienen que adaptar en planta, el énfasis se pone frecuentemente áreas cuadradas. Cabe mencionar que este sobre el flujo de materiales entre tipo de flujo es similar al que tiene la departamentos o el trabajo en estaciones. El empresa PROMMESA, S.A. de C.V.. Claro flujo de materiales requiere, que el manejo que no se presenta un flujo idéntico, pero de material no sea costoso, por que este consideramos es el más similar y costo se sumaria al valor de la operación. posiblemente se busque que la propuesta de Idealmente, nosotros preferiríamos que distribución maneje este tipo de flujo. nuestro análisis preliminar sea reducir el problema al número de máquinas agrupadas 4.2. TIPOS DE DISTRIBUCIÓN y dentro de cada grupo de máquinas todas las partes siguen la misma sucesión de • Producto Estático máquinas. Esto resultará en un arreglo lineal • Producto o la Producción en línea de máquinas y el problema restante, sería • Grupo o Célula de Distribución poner estas máquinas en el espacio • Distribución por tipo de proceso • Palekar U. S.; "Plant Layout"; Courses. 208
  • 2.
    DISTRIBUCIÓN DE PLANTAY MANEJO DE MATERIALES Producto o Producción en línea Las distribuciones de planta por producto, se usan cuando uno sólo o un conjunto de productos estrechamente relacionados, deben ser fabricados en volúmenes altos. Las máquinas y las estaciones de trabajo se arreglan, en una fabricación en línea de montaje. EL orden de las máquinas de la línea seguirá el orden en que el procesamiento debe ser desempeñado. Con anterioridad al diseño de tal Distribución de planta en línea de montaje, se resuelve el problema de balanceo de la línea frecuentemente determinando el mejor conjunto de tareas/actividades que deben desempeñarse en cada estación. Figura 4.1 Tipos de patrones de flujo típicos en la Grupo o Célula de Distribución distribución de planta El grupo de distribución se usa Dependiendo de la naturaleza del cuando una familia de componentes será producto y el tipo de fabricación (volumen fabricada por una pequeña célula de bajo contra volumen alto, el producto mixto, fabricación. Una célula o celda de etc.) que es desempeñado, Las distribuciones fabricación, es un conjunto pequeño de de planta se clasifican como se indica a máquinas y técnicas de manufactura continuación: • flexibles que permiten mejorar la productividad, calidad y tiempo de Producto Estático desarrollo de algún producto. • En este arreglo, cada célula tiene material El Producto Estático en las propio que maneja dicho sistema. Si es distribuciones de planta, se usan cuando el posible del todo, una parte del componente producto a fabricar es grande y abultado. En se procesa completamente en una célula de tales casos, el producto se fabrica o arma fabricación. Los componentes se encaminan con una ubicación fija y se mueve alrededor después a distintas áreas de ensamble. del producto la maquinaria conforme se necesita. Los ejemplos de tales Distribución por tipo de Proceso Distribuciones se encuentran en la fabricación de aeronaves, barcos, etc. La Las distribuciones por tipo de fabricación de tales productos se controla proceso agrupan a las máquinas que sobre una base de proyecto y la ubicación de desempeñan actividades similares en maquinaria cambia como el proyecto evoluciona. • Una célula de fabricación, está formada típicamente por: Torno y Centro de Maquinados de control numérico, Robot de 6 grados de libertad y capacidad de carga de 10 Kg., Robot de revolución horizontal para trabajos de ensamble, Robot para verificación dimensional de producto terminado, 4 bandas transportadoras automatizadas, Robot de almacén y descarga con • Palekar U. S.; "Plant Layout"; Courses. brazo de movimiento bidimensional. 209
  • 3.
    CAPÍTULO 4 procesos pordepartamentos. Así, en una planta. Los pedazos representan planta con un Distribución por proceso, departamentos y el rompecabezas con el puede tener un departamento de rectificado marco representa el edificio que aloja estos (todos los tornos), un departamento de departamentos. El rompecabezas se molienda, un departamento de acabados, etc. complicaría aun más si nosotros agregamos Tal distribución es común en plantas más otros elementos del problema de viejas y en el trabajo de talleres. Ellos distribución. Por ejemplo, puede haber requieren que se maneje una cantidad grande varias maneras diferentes para poner el de material, como también que se muevan rompecabezas unido para que se adapte en el las partes de los productos entre espacio asignado. Si asociamos cada departamentos para diversas operaciones. En configuración con una alternativa y nuestro ellos se tienen la ventaja, de que los deseo es encontrar la mejor alternativa, trabajadores y los supervisores pueden nosotros tendríamos que considerar cada especializarse en su proceso. PROMMESA, configuración factible. La cantidad de S.A. de C.V. utiliza una distribución por tiempo requerida que resuelva el proceso y consideramos que esta rompecabezas sería aún más extensa. El distribución será respetada por ser adecuada problema de distribución comúnmente y solamente redistribuiremos la planta de tal involucra la reducción al mínimo de los manera que sea más flexible y eficiente. costos por el manejo de materiales; que resulta en un costo asociado con cada distribución factible. 4.3. ¿POR QUÉ EL PROBLEMA Desde el inicio el problema es difícil, DE LA DISTRIBUCIÓN DE frecuentemente se usa un modelo heurístico para resolver el problema. Típicamente se PLANTA INFLEXIBLE? considera un único aspecto del problema y una o más posibles soluciones al problema, Como nosotros constatamos se crean usando esta versión restringida. Las anteriormente el problema de Distribución soluciones resultantes se ajustan para crear de planta presenta una combinación una distribución aceptable y la mejor geométrica de espacios y características que solución resultante se implementa. hacen el problema más difícil. Para comprender él por qué de este caso, nosotros consideramos el ejemplo de un rompecabezas. Como nosotros sabemos, un 4.4. TÉCNICAS DE rompecabezas toma una cantidad grande de DISTRIBUCIÓN DE PLANTA tiempo para resolverlo cuando hay un número grande de pedazos. El problema Actualmente existe una gran llega a ser más difícil cuando el marco del variedad de técnicas empleadas para rompecabezas no da demasiada información determinar la mejor distribución de planta, sobre que pedazos deben ser adyacentes. entre las más utilizadas podemos mencionar ¡Ahora imaginemos un rompecabezas que la técnica de las plantillas, los modelos no tiene ningún cuadro sobre él!. Claramente matemáticos, rutinas computarizadas, etc •. esto sería mucho más difícil. El La técnica de las plantillas se basa como su rompecabezas permanecería siendo difícil nombre lo indica en juegos de plantillas y aún cuando todos los pedazos sean maquetas que se emplean para representar y rectangulares. Este rompecabezas representa una parte del problema de distribución de • Palekar U. S.; "Plant Layout"; Courses. 210
  • 4.
    DISTRIBUCIÓN DE PLANTAY MANEJO DE MATERIALES visualizar maquinaria, equipos o áreas, y a Un enfoque de alto nivel al proceso través de estas plantillas establecer la entero de la distribución de planta fue ubicación de los diferentes elementos de la formulado primero por Richard Muther. El distribución de acuerdo a las diferentes método se llama el Sistema de Distribución relaciones que existen entre ellos. La de planta planificado, Systematic Layout distribución resultante mediante esta técnica Planning (SLP) y plantea la sucesión de es muy subjetiva ya que depende del criterio pasos que deben seguirse mientras se diseña y experiencia de los procesos por parte del una distribución de planta. Los pasos en el planeador. En general se obtienen buenos SLP son como se indica a continuación: resultados, sin embargo esta técnica resulta • Cuantifique, el flujo de material entre insuficiente para el análisis de plantas muy departamentos grandes y complejas o con un alto número de elementos. • Cree la carta de relación de actividades • Cree el diagrama de relaciones Los modelos matemáticos pretenden • Determine los requerimientos de espacio encontrar soluciones óptimas para la • Cree la carta de relación de espacios distribución de planta, pero debido al gran • Cree distribuciones alternas número y complejidad de las relaciones, Mientras estos pasos son estos modelos se tornan muy complejos y conceptualmente simples, dentro de cada difíciles de manejar, por lo cual se paso un número de actividades diferentes encuentran muy limitados para aplicaciones debe desempeñarse. Nosotros usaremos el un poco más grandes. SLP como un camino para orientarnos en nuestra discusión del problema de Las rutinas computacionales no Distribución de planta. presentan tantas limitaciones como los Se utilizarán elementos de esta técnica para modelos matemáticos ya que pueden estudiar la situación actual de la empresa soportar un gran número de relaciones entre PROMMESA, S.A. de C.V. y generar las los diversos elementos, sin embargo, aun no alternativas que permitan aumentar la logran sustituir la visión y criterio que tiene eficiencia de esta. Por lo cual veremos cual un diseñador con experiencia, es por ello es la estructura de las fases de trabajo. que generalmente solo se emplea para generar alternativas que faciliten la toma de Fases de trabajo de SLP • decisiones. Actualmente existen varios programas de este tipo, entre los más 1. Emplazamiento. Determinar la ubicación reconocidos podemos mencionar CRAFT, del área a ser distribuida. Esto no es COFAD, CORELAP, ALDEP, PLANET, necesario cuando no se trata de un nuevo etc. proyecto. 2. Planteamiento general. Establecer un 4.5. “SYSTEMATIC LAYOUT arreglo que incluya todas las áreas y PLANNING (SLP)” PLANEACIÓN elementos a ser distribuidos. SISTEMÁTICA DE PLANTA 3. Planteamiento detallado. Localizar (SLP) • específicamente cada pieza de maquinaria y equipo en las diferentes áreas o departamentos, además debe • • Richard Muther; "Systematic Layout Planing. Richard Muther; "Systematic Layout Planing" 211
  • 5.
    CAPÍTULO 4 incluir las instalaciones de los diferentes • T = Tiempo en relación a P, Q, R, S y a servicios de soporte que se requieran. la programación del proyecto de 4. Instalación. Una vez que la distribución planteamiento. a detalle esta terminada se deberá Con la investigación de estos implementar apropiadamente, cuidando elementos (particularmente la composición que esta se realice de la manera de producto y la interrelación P-Q) planeada. tendremos los elementos básicos necesarios para empezar el análisis. Cada distribución se apoya en tres fundamentos: 4.5.1. DIAGRAMA PRODUCTO • Relaciones. El grado de cercanía CANTIDAD (P –Q). deseado o requerido entre los elementos. • Espacios. La cantidad, clase y forma o Este diagrama es fundamental para configuración de los elementos a ser ubicar el tipo de distribución que debe tener distribuidos. una planta, de acuerdo a la clase de producción que está presente. El análisis de • Ajustes. Acomodo de los elementos de la este diagrama consiste en observar la forma mejor forma de acuerdo a las de la curva de la relación entre la variedad limitaciones. de productos contra la cantidad producida de Elementos básicos para el planteamiento éstos. Si la empresa PROMMESA, S.A. de C.V. presentara una pequeña variedad de Antes de entrar en detalle en las productos, pero elaboran grandes volúmenes Fases II y III, deberíamos ver los elementos de éstos, se trata de una producción en masa, básicos o factores sobre los cuales la distribución más adecuada deberá ser necesitamos hechos e informaciones. Estos evidentemente "Por Producto o en Línea". son fáciles de recordar cuando los Mientras que si mantiene una gran codificamos según el “alfabeto del ingeniero diversidad de productos, pero realiza una de planteamientos”, PQRST. En el esquema baja producción de éstos, la distribución más de procedimientos de SLP (Figura 4.2) se lógica deberá ser "Por proceso o Función" puede ver que los datos de entrada son que es similar a la que tiene en este información sobre las actividades y además momento la empresa. Si la forma de 5 letras que representan la inicial de una en producción se encuentra equilibrada en inglés, Product (P), Quantity (Q), Routing cuanto a la variedad y cantidad producida se (R), Supporting Service (S) y Time (T). recomienda una distribución de planta Prácticamente, cada planteamiento empieza, combinada, donde se implementen líneas de o al menos descansa sobre estos elementos producción para los artículos o productos como base para su planificación. con demanda estable y mientras que se • P = Producto o material, incluyendo implementaran células de producción para la variaciones y características. elaboración de los demás artículos, este • Q = Cantidad o volumen de cada ultimo tipo de distribución consideramos variedad o artículo. que podría ser adoptado por PROMMESA, • R = Ruta o proceso, por ejemplo la S.A de C.V.. A continuación se presenta operación, su secuencia y la maquinaria una breve lista de los productos que la del proceso. empresa procesa típicamente, así como un • S = Servicios o actividades auxiliares diagrama tipo P - Q, en donde se ilustra la que soportan las operaciones de relación entre el número de productos que se producción. procesan y la cantidad de cada uno de ellos. 212
  • 6.
    DISTRIBUCIÓN DE PLANTAY MANEJO DE MATERIALES ESQUEMA DE PROCEDIMIENTOS DE SLP. Datos de entrada: P,Q,R,S,T y Actividades. 1. Flujo de materiales 2. Relación de actividades 3. Diagrama de relaciones 4. Requerimientos de espacio 5. Espacio disponible 6. Diagrama de relación de espacios 7. Modificaciones 8. Limitaciones por consideraciones practicas Plan X Plan Z Plan Y 9. Evaluación Plan de distribución Figura 4.2 Esquema de procedimientos de SLP. Richard Muther; "Systematic Layout Planing" Los valores que aparecen en la tabla tomaron en cuenta aquellos productos que son la suma de lo producido en los últimos fueron producidos en una cantidad mayor o tres meses de operación (Septiembre, igual a las 5000 piezas / mes; a partir del Octubre y Noviembre de 1998). Cabe mes de Septiembre. Evidentemente la lista mencionar que en dicha lista sólo se de artículos que se maquilan durante un 213
  • 7.
    CAPÍTULO 4 TABLA 4.1. PRODUCCIÓN UNITARIA/ PIEZA ACUMULADA DE TRES MESES (SEP., OCT., NOV.) CLIENTE No. DE PARTE DESCRIPCIÓN VOLUMEN PRODUCCIÓN/MES BOSEH G398041317 SOPORTE T. S/A C/OR. 74616 NISSAN CIVAC 55054F4000 SEAT ASSY RR SPR LWR 58056 NISSAN MOTORES 10005F4000 SLINGER ENG, FR 45150 ROCKWELL C50670 GLAS ATTACHED 33450 MABE 186D1340P002 INSERTO JAL. CORTO ALM. G. E. 32584 INSA 1164215111 TOP PANEL FB. 31750 MABE 186D1342P005 BASE INSERTO JAL. G.E. LARGO 31400 NISSAN P. NUEVA 24425F4000 VAR. P/BAT. 30490 MABE 186D1341P014 INSERTO JAL. LARGO ALM. G.E. 30200 MABE 186D1342P006 BASE INCERTO JAL. G.E. CROM. 26880 MABE 186D5403P001 BASE MOLDURA MABE 26500 MABE 221C5112P008 BARRA JAL. G.E. ALM. L-3 26300 ROCKWELL C50820 FLECHA XJ 97 26300 ROCKWELL C50821 FLECHA XJ 97 25540 MABE 221C5112P004 BARRA JAL. G.E. 216 ALM. 24414 MABE 186D1341P010 INSERTO JAL. LARGO ALMENDRA 24150 NISSAN TRANSEJE 32131D03G0 TAPA CARCAZA 22976 NISSAN TRANSEJE 30520B25G8 P.C. EMBRAGUE 21310 GENERAL MOTORES 10066041 REINFORCEMENT 20000 NISSAN CIVAC 14485F4000 VAR. P/BATERÍA 18550 NISSAN TRANSEJE 32281A43G0 FLECHA FIJA 17700 NISSAN TRANSEJE 38431B05G6 RETEN DE VELOCIDAD 17485 NISSAN TRANSEJE 30776F4300 S.C. EMBRAGUE 15950 MABE 221C5112P007 BARRA JAL. G.E. BCO L-3 15754 NISSAN CIVAC 55220F4000 SHAKLE R. R. 14750 NISSAN CIVAC 51028F4000 PLATE CROSS 14000 NISSAN CIVAC 62042F4300 BRACE FR BMPR RH 13700 ROCKWELL C50406 SOPORTE 12820 MABE 221C5112P003 BARRA JAL. EASY 216 BOQ. 12450 NISSAN P. NUEVA 64824F4200 SOP. CANISTER 12120 NISSAN MOTORES 11046F4101 COVER CYL FR 10250 ROCKWELL C10432 FLECHA TOYOTA 7500 ROCKWELL C10480 CANAL ENS. 7200 año es mucho mayor de hecho la lista de lo cual consideramos se les debe prestar todos los productos producidos por mayor atención que a los demás, debido a PROMMESA, S.A. de C.V. fue presentada que dichos artículos tiene un nivel alto de en el capítulo 1, sin embargo el volumen producción y también representan mayores producido de varios de estos productos es utilidades para la empresa PROMMESA, muy pequeño e intermitente. S.A. de C.V. Cabe mencionar que la gran mayoría de los artículos producidos tiene Del diagrama P - Q podemos como base las operaciones de corte en apreciar que la mayoría de los diferentes cizalla, troquelado, segundas operaciones y productos se procesan sobre la base de acabado. Por lo tanto es evidente que el tipo distintos volúmenes, siendo sólo tres de distribución de planta que se requiere artículos los que presentan un volumen alto emplear es " por Proceso o Función ". de producción y además coincide con el Actualmente la planta presenta este tipo de análisis ABC realizado en el capítulo1, por Distribución. 214
  • 8.
    DISTRIBUCIÓN DE PLANTAY MANEJO DE MATERIALES V O LU M EN D E PR O D U C C IÓ N " D ia g ra ma P-Q " 8 000 0 7 000 0 6 000 0 5 000 0 4 000 0 3 000 0 2 000 0 1 000 0 0 1 SO P O RT E T . S/A C/O R. SE A T A SSY RR SP R L W R SL IN GE R E N G, FR GL A S A T T A CH E D I N SE RT O JA L . CO RT O A L M . G. E . T O P P A N E L FB. BA SE IN SE RT O JA L . G.E . L A RGO VA R. P /BA T . I N SE RT O JA L . L A RGO A L M . G.E . BA SE IN CE RT O JA L . G.E . CRO M . BA SE M O L D U RA M A BE BA RRA JA L . G.E . A L M . L -3 F L E CH A X J 9 7 FL E CH A X J 9 7 BA RRA JA L . G.E . 2 1 6 A L M . I N SE RT O JA L . L A RGO A L M E N D RA T A P A CA RCA Z A P .C. E M BRA GU E R E I N F O RCE M E N T VA R. P /BA T E RÍA FL E CH A FIJA R E T E N D E VE L O C ID A D S.C. E M BRA GU E BA RRA JA L . G.E . BCO L -3 SH A K L E R. R. P L A T E CRO SS BRA CE FR BM P R RH SO P O RT E BA RRA JA L . E A SY 2 1 6 BO Q . SO P . CA N IST E R CO VE R CY L FR FL E CH A T O Y O T A C A N A L E N S. Fig. 4.3. Producción trimestral contra cantidad. 215
  • 9.
    CAPÍTULO 4 4.5.2. FLUJODE MATERIALES Y Corte de Silueta: Recortar la plantilla SECUENCIA DE OPERACIONES. requerida del artículo en proceso con la ayuda de un troquel. Una vez establecido el tipo de Desengrase: Retirar el óxido, grasa y/o distribución que se requiere, el cual coincide polvo contaminante de la superficie del con el que existe en la planta, procedemos a artículo en proceso. analizar la clase de relaciones existes entre Acabado: Efectuar Zincado en tinas, el cual las diferentes áreas que conforman la planta. deberá ser plateado o azul, sin poro, mancha Para ello utilizaremos la información de lo o burbuja. que mencionamos como Routing o Rutas. Punzonado General: Operación realizada en Los documentos típicos que pueden proveer el troquel la cual consiste en perforar el datos sobre el movimiento de los insumos en material, dándole una forma geométrica la planta son los siguientes: definida. • La cuenta de materiales Formado: Operación realizada en el troquel, • Carta de ruta (flujo del proceso) la cual consiste en darle al material ciertas • La reunión entre las cartas de formas especiales en ciertas regiones del operaciones del proceso mismo. • El diagrama de procedencia Doblado: Operación realizada en el troquel, la cual consiste en realizar uno o varios Para efectuar el análisis del flujo de dobleces a iguales o diferentes ángulos. materiales utilizaremos las siguientes Estampado: Realizar una impresión en el herramientas: material con la ayuda del troquel. • Control del proceso Corte de Tubo: Operación que se realiza en • Flujo del proceso el torno y la cual consiste en tronzar el tubo En los anexos del capítulo 4 (Anexo con la ayuda de una cuchilla para tronzar de 4.1, 4.2 y 4.3), se muestran los controles de cobalto. proceso y flujos de proceso para los tres Avellanado: Realizar un chaflán interior en primeros artículos seleccionados con ayuda el tubo con la ayuda de un buril de cobalto, del diagrama P – Q, efectuado sobre la afilado a 45o. producción de la empresa PROMMESA, Ensamble: Operación realizada con el fin de S.A. de C.V., cabe mencionar que las ensamblar dos o más partes para formar una herramientas anteriores fueron realizadas sola pieza o un sólo conjunto. en este caso se como propuesta en el capítulo anterior (3). realizara el ensamble con la ayuda de un soldadura por puntos. Descripción de las principales operaciones Alineado: Operación que se realiza con la ayuda de un dispositivo especial el cual Recepción de Material: Se recibe e permite la perfecta alineación entre centros. inspecciona el material proveniente del Inspección Final: Verificar los diferentes almacén de Materia Prima y se traslada a la diámetros, longitudes, alturas y anchos, del siguiente operación. material además del acabado. Corte de Lámina: Está operación depende de Empaque: Acomodar el artículo terminado la forma en que se haya solicitado el en cajas. material, pudiendo ser en cinta o en hoja. Si Almacenamiento: Una vez revisado y se trata de la primera entonces está empacado el producto, es colocado en el operación no se realiza y si se trata de la almacén de producto terminado para que sea segunda esta operación es imprescindible. entregado al cliente. 216
  • 10.
    DISTRIBUCIÓN DE PLANTAY MANEJO DE MATERIALES Cabe mencionar que no será utilizado Cada diamante representa la relación ningún método numérico para determinar el entre un par de departamentos. La mitad flujo de los materiales, sino que solamente superior del diamante se usa para indicar la se emplearan las distancias recorridas y las clasificación mientras la mitad inferior se relaciones (o adyacencias) que presenten los usa para explicar la razón para la diferentes departamentos que componen la clasificación. Una tabla de códigos de razón planta productiva de la empresa se muestra también con la carta REL. PROMMESA, S.A. de C.V.. Actividad del diagrama de relaciones 4.5.3. DIAGRAMA DE RELACIONES “Carta REL” El diagrama de relaciones “Carta REL” puede usarse para determinar la La Carta REL • representa la adyacencia entre departamentos. Si el flujo importancia de la adyacencia entre de material es una consideración importante departamentos y usa seis niveles de o si el control del supervisor es otra clasificación como se indica a continuación: consideración importante entonces una clasificación alta entre dos de los A Absolutamente necesario departamentos sugiere que estos departamentos deberían estar E Especialmente importante geográficamente cerca uno del otro. La forma y tamaño de los departamentos limita I Importante el número de departamentos que pueden ser adyacentes uno del otro. Uno de los O Importancia Ordinaria primeros pasos a desarrollar en una distribución es determinar la adyacencia U Insignificante entre departamentos diferentes. X Indeseable Es el analista el que determina la clasificación exacta para la asignación de un par de actividades. La Carta REL se representa tradicionalmente usando una tabla tal como la mostrada en la figura 4.4. Fig. 4.4. Diagrama Rel • Palekar U. S.; "Plant Layout"; Courses: layout. 217
  • 11.
    CAPÍTULO 4 4.5.4. PRINCIPALESSECCIONES DE 35. Regaderas Hombres. LA EMPRESA. 36. Regaderas Mujeres. 37. Inspección Final MABE. Actualmente son 54 las principales 38. Almacén de Producto Terminado II. áreas que componen la planta, sin embargo, 39. Empaque I. a través del Diagrama de Relaciones se 40. Embarque. pretende integrar mejor los diferentes 41. Área de Desperdicio de Lámina. elementos por lo cual este número puede 42. Área de Materia Prima Rechazada. ser reducido. 43. Recepción. 44. Departamento de Personal. Planta baja 1. Almacén de Producto Terminado 2. Primer piso Control de Calidad. 45. Oficinas de Planta. 3. Taller Mecánico. 46. Oficinas generales. 4. Almacén de Herramientas. 5. Área de Soldadura. Segundo piso 6. Área de Ensamble. 47. Ingeniería de Calidad. 7. Área de Troquelados. 48. Ingeniería de Manufactura. 8. Almacén de Materias Primas (Barras). 49. Área de Pintura MABE. 9. Almacén de Materias Primas (Láminas). 10. Área de Segundas Operaciones. Exteriores 11. Oficina de Producción. 50. Estacionamiento. 12 Área de Taladros. 51. Subestación. 13. Área de punteado. 52. Área de Tanques de Gas. 14. Inspección de Proceso. 53. Comedor. 15. Área de Cuarentena. 54. Contenedores de Basura. 16. Almacén de Partes para Ensamble. 17. Área de Máquinas de Temple por En las dos hojas siguientes se Inducción. muestra el diagrama de relaciones de las 18. Área de Afilados. principales áreas de la empresa 19. Área de Maquinados. PROMMESA, S.A. de C.V. y también el 20. Área de Desperdicio (Rebaba) plano en donde se encuentran representadas 21. Almacén General. dichas áreas de la empresa, con la 22. Almacén de Barras Obsoletas. distribución de planta actual. 23. Almacén de Cajas. 24. Área de Maquinado de SINGER. 25. Ensamble y Empaque I. 26. Inspección Final. 27. Área de Pintura. 28. Área de Galvanoplastía. 29. Ensamble y Empaque I. 30. Área de Fosfatizado. 31. Laboratorio. 32. Compresores. 33. Sanitarios Hombres. 34. Sanitarios Mujeres. 218
  • 12.
    DISTRIBUCIÓN DE PLANTAY MANEJO DE MATERIALES Fig. 4.5. Diagrama de RELACIONES ACTUAL 219
  • 13.
    CAPÍTULO 4 Fig. 4.6.Plano de la empresa DISTRIBUCIÓN ACTUAL 220
  • 14.
    DISTRIBUCIÓN DE PLANTAY MANEJO DE MATERIALES Considerando la Actual Distribución Primer piso de Planta y el Diagrama de relaciones, se ha decidido integrar varias áreas de la empresa. 33. Oficinas de Planta. Con estos cambios se pretende también 34. Oficinas Generales. simplificar y reducir el número de relaciones entre los nuevos elementos de la planta. Y Segundo piso por supuesto también, facilitar el proceso de redistribución de las áreas 35. Departamento de Ingeniería. 36. Área de Pintura MABE. Planta baja Exteriores 1. Almacén de Producto Terminado General. 2. Departamento de Control de Calidad. 37. Estacionamiento. 3. Taller Mecánico. 38. Subestación. 4. Área de Soldadura. 39. Área de Tanques de Gas. 5. Área de Ensamble. 40. Comedor. 6. Área de Troquelados. 41. Contenedores de Basura. 7. Almacén de Materia Prima. 8. Área de Segundas Operaciones. El diagrama de relaciones ajustado 9. Oficina de Producción. de estas áreas se presenta en la hoja 10. Área de Taladros. siguiente, con ayuda de este diagrama 11. Área de Punteado. realizaremos un diagrama de bloques con el 12. Inspección de Proceso. cual determinaremos la ubicación correcta 13. Área de Cuarentena. de cada área o departamento que forma parte 14. Almacén de Partes de Ensamble. de la empresa PROMMESA, S.A. de C.V. 15. Afilados. 16. Área de Maquinados. Para realizar el diagrama de bloques 17. Área de Desechos de Materia Prima. que nos muestre la distribución de planta 18. Almacén General. más adecuada para la empresa, haremos uso 19. Almacén de Cajas. de un procedimiento que nos servirá para 20. Área de Maquinado de SINGER. esquematizar el diagrama de relaciones 21. Ensamble y Empaque I. ajustado. 22. Inspección Final. 23. Área de Pintura. 4.5.5. PROCEDIMIENTO PARA 24. Área de Galvanoplastía. ESQUEMATIZAR EL DIAGRAMA DE 25. Ensamble y Empaque II. RELACIONES. 26. Área de Fosfatizado. 27. Laboratorio. 1. Identificar el número y nombre de las 28. Compresores. áreas o secciones que se esquematizarán. 29. Sanitario H / M. Señalar estás de acuerdo a la convención 30. Regaderas H / M. del SLP. 31. Almacén de Producto Terminado MABE. 2. Elabore el Diagrama de A's (línea negra 32. Oficinas de Personal gruesa). Este será el diagrama 1. 221
  • 15.
    CAPÍTULO 4 Fig. 4.7.Diagrama de RELACIONES AJUSTADO 222
  • 16.
    DISTRIBUCIÓN DE PLANTAY MANEJO DE MATERIALES 3. Reacomode para obtener 5. Adicione las X's (línea verde en Zig- aproximadamente de igual longitud las Zag) cuando agregue las O's (línea rosa) líneas gruesas de las relaciones A y y reacomode buscando que todas las entonces adicionar las relaciones E (línea relaciones conserven su proporción de la azul claro). Este será el Diagrama 2. mejor manera. Agregue las relaciones XX (2 líneas Zig- Zag), al Diagrama en este momento. En 6. El Diagrama Final será básico para la caso de no tener XX agregue las X’s. Distribución cuando sean agregados los ajustes por espacio, y modificaciones por 4. Reacomode tratando de obtener limitaciones prácticas (Cuando sea longitudes de las líneas de las relaciones elaborado el diagrama de bloques). del mismo tamaño. Entonces adicione las I's (líneas anaranjadas) y reacomode de ser necesario. Símbolo Actividad Áreas de fabricación, ensamble, desensamble Áreas relacionadas a transporte. Zonas de almacenamiento. Zonas de espera. Áreas de inspección o prueba. Áreas de soporte y servicios. Oficinas o áreas de planeación Fig. 4.8. Diagrama A’s A’s E’s I’s 26 27 O’s X’s 223
  • 17.
    CAPÍTULO 4 Fig. 4.9. Diagrama A’s y E’s 4 5 1 16 7 33 26 27 37 34 224
  • 18.
    DISTRIBUCIÓN DE PLANTAY MANEJO DE MATERIALES Fig. 4.10. Diagrama A’s , E’s e I’s 4 5 12 13 10 14 11 15 3 6 8 16 23 22 21 24 20 25 1 33 199 26 27 7 18 35 32 37 34 225
  • 19.
    CAPÍTULO 4 Fig. 4.11.Diagrama A’s , E’s, I’s y O’s 4 5 12 13 10 14 11 15 3 6 8 2 16 22 9 17 21 23 25 31 20 24 1 19 26 27 33 7 18 35 39 32 34 37 226
  • 20.
    DISTRIBUCIÓN DE PLANTAY MANEJO DE MATERIALES Fig. 4.12. Diagrama A’s, E’s, I’s, O’s y X’s 4 5 12 13 29 10 11 14 3 6 8 15 2 9 16 22 17 21 25 23 31 20 24 28 1 19 26 27 33 7 18 32 35 40 30 38 34 39 37 36 41 Nota. Los símbolos sombreados de color verde, representan aquellas áreas que no son deseables que se encuentren cerca de las demás áreas de producción o de servicios de la empresa PROMMESA, S.A. de C.V.. 227
  • 21.
    CAPÍTULO 4 4.5.6. DETERMINACIÓN DE - Área de Troquelados. ESPACIOS. - Área de Maquinados. - Área de Pintura. Antes de establecer la ubicación de - Área de Galvanoplastía. cada elemento de la planta es necesario - Área de Fosfatizado. considerar los espacios que cada sección - Área de Soldadura. requiere para operar adecuadamente. Es importante identificar los diferentes La relación de la maquinaria y el servicios e instalaciones que en cada equipo con los que cuenta la empresa elemento requiere. PROMMESA, S.A. de C.V., es mostrado en el anexo 4.7 del capítulo 4 de este proyecto Procedimiento para la determinación de terminal (la relación mostrada es bastante espacios. simplificada debido al gran número de maquinas y equipo que utiliza la planta 1. Identificar las actividades o áreas productiva). involucradas usando la misma numeración y terminología usada para el Debido a las limitaciones que se Diagrama de Relaciones. tienen en las instalaciones, que son justificadas en cierto grado con ayuda de la 2. Identificar, la maquinaria y equipo de tabla 4.2 Áreas y características por cada área, o al menos el tipo general de actividades”, no es posible realizar grandes éstos. ajustes a la distribución de planta actual, debido a que aunque son pocas las secciones 3. Determine para la operación de las que se consideran fijas, existen otras que a actividades. pesar se pueden ser cambiadas, no es muy recomendable ya que necesitan de algún tipo • Área requerida según los datos P, de instalación o servicio de apoyo especial Q, R, S y T. por lo que quitar y volver a colocar está • Necesidades de espacio para instalación o servicio resultaría demasiado servicios y funcionamiento de costoso. cada elemento. En la tabla 4.3, se muestra la relación 4. Determine los Servicios de Soporte que de áreas de la distribución de planta actual y cada sección necesite. la propuesta. 5. Realizar, los ajustes y balances entre También se presenta el plano espacio requerido y espacio disponible. (diagrama de bloques) de la empresa PROMMESA, S.A. de C.V., con la En la planta existen secciones que se distribución de planta propuesta, consideran fijas ya que el costo por determinada con ayuda del SLP. cambiarlas de posición es muy alto, otras debido a que desde el punto de vista operativo no es posible cambiarlas. entre las secciones que se consideran fijas se encuentran: 228
  • 22.
    DISTRIBUCIÓN DE PLANTAY MANEJO DE MATERIALES TABLA 4.2. ÁREAS Y CARACTERÍSTICAS POR Mínimo espacio entre Máxima carga sobre Claro sobre cabeza Cimentación o fosa ACTIVIDADES soportada s / piso Agua y drenaje Electrificación Temperatura Ventilación Máx. carga columnas especial PROYECTO: DISTRIBUCIÓN DE PLANTA. cabeza PLANTA: PROCESOS METALMECÁNICOS, S. A. DE C. V. FECHA: 28 DE DICIEMBRE DE 1998. ACTIVIDAD ÁREA m2 Almacén de producto terminado general. 123.41 O O U O O Control de calidad. 66.60 I O U O O Taller mecánico. 421.36 I O U O A Área de soldadura. 64.12 O O U A A Área de ensamble. 97.60 O O U O E Área de troquelado. 267.14 O O A O A Almacén de materia prima. 254.18 O O U O O Área de 2° operaciones. 335.23 I O I I A Oficinas de producción. 17.46 I O O O O Taladros. 157.10 E O O U O A Área de punteado. 20.92 x O O U E A Inspección de proceso. 17.41 i O O U O O Área de cuarentena. 26.58 s O A U I I Almacén para partes de ensamble. 36.70 t N O O U O O Afilado. 47.14 e o 2 I O U O E Área de maquinados. 318.65 c 0 3. O O E I A Área de desechos de materia prima. 16.48 l 0 2 U O U I U Almacén general. 77.00 a a 0 5 O O U O O Almacén de caja. 59.50 r p U O U O O Área de maquinados Singer. 99.47 o l O O I O A Ensamble y empaque. 96.58 a i K m. O O U O O Inspección final. 43.78 d c g O O U O O Área de pintura. 235.65 e a E A A E A Área de galvanoplastia. 109.17 c b A E I E E Ensamble y empaque. 67.62 u l O O U O O Área de fosfatado. 110.23 a e A E I A E laboratorio. 10.15 d A O O O O Compresores. 22.75 o O O O O A Sanitarios H y M. 17.68 A O O I O Regaderas H y M. 88.3 A I O I O Almacén de producto terminado Mabe. 15.9 O O U O O Oficinas de personal. 80.48 I O O O O 1°P oficinas de planta. 47.7 I O I O O 1°P oficinas de generales. 242.13 I O I O O 2°P ingeniería 121.4 O O I O O 2°P área de pintura Mabe. 116.87 E A A A A Estacionamiento. 1460.67 O O U O O Subestación. 44.08 X O E I A Área de tanques de gas. 56.03 A X A A E Contenedores de basura. 62.85 X X U A X Comedor. 132.64 A O E E O 229
  • 23.
    CAPÍTULO 4 TABLA 4.3. RELACIÓN DE ÁREAS Sección o Área Actual Propuesta m2 m2 1. Almacén de producto terminado general. 123.41 129.26 2. Control de calidad. 66.60 87.00 3. Taller mecánico. 421.36 365.00 4. Área de soldadura. 64.12 64.12 5. Área de ensamble. 97.60 97.60 6. Área de troquelado. 267.14 498.53 7. Almacén de materia prima. 254.18 177.18 8. Área de 2° operaciones. 335.23 200.00 9. Oficinas de producción. 17.46 17.46 10. Taladros. 157.10 157.10 11. Área de punteado. 20.92 20.92 12. Inspección de proceso. 17.41 17.41 13. Área de cuarentena. 26.58 26.58 14. Almacén para partes de ensamble. 36.70 36.70 15. Afilado. 14.22 46.80 16. Área de maquinados. 318.65 318.65 17. Área de desechos de materia prima. 16.48 16.48 18. Almacén general. 77.00 77.00 19. Almacén de caja. 40.56 40.56 20. Área de maquinados Singer. 99.47 99.47 21. Ensamble y empaque. 96.58 96.58 22. Inspección final. 43.78 43.78 23. Área de pintura. 235.65 235.65 24. Área de galvanoplastia. 109.17 109.17 25. Ensamble y empaque. 67.62 67.62 26. Área de fosfatado. 110.23 110.23 27. Laboratorio. 10.15 10.15 28. Compresores. 22.75 22.75 29. Sanitarios H y M. 17.68 17.68 30. Regaderas H y M. 88.30 88.30 31. Almacén de producto terminado Mabe. 15.90 39.80 32. Oficinas de personal. 80.48 80.48 33. 1°P oficinas de planta. 47.70 47.70 34. 1°P oficinas de generales. 242.13 242.13 35. 2°P ingeniería 121.40 121.40 36. 2°P área de pintura Mabe. 184.15 151.63 37. Estacionamiento. 1460.67 1460.67 38. Subestación. 44.08 44.08 39. Área de tanques de gas. 56.03 56.03 40. Contenedores de basura. 62.85 62.85 41. Comedor. 132.64 132.64 230
  • 24.
    DISTRIBUCIÓN DE PLANTAY MANEJO DE MATERIALES Fig. 4.13. Plano de la distribución de planta propuesta 231
  • 25.
    CAPÍTULO 4 Las siguientesmodificaciones que se En está sección se integraron los proponen para mejorar la actual Distribución almacenes de Materias Primas barras y de Planta, fueron realizadas tomando como láminas, con el único fin de que dejen de ser base la esquematización del diagrama de unidades individuales y se consideren como relaciones y las restricciones que presenta la unidad dividida internamente en dos planta. secciones 1. Departamento de Control de 5. Área de Afilados. Calidad. Está área queda formada por las Está sección de la empresa queda áreas de afilados y Máquinas de temple por integrada con las secciones de Control de inducción, ya que esta última área a dejado Calidad e Inspección Final de MABE, con el de funcionar debido a que sus máquinas se fin de agilizar y facilitar la inspección y volvieron obsoletas y ya no eran utilizadas, pruebas de calidad que se realizan en los por lo que se decidió usar el área completa productos que se procesan para esta para afilados y de está manera poder industria satisfacer las necesidades de mantenimiento y servicio de herramientas de corte, para las 2. Almacén de Producto Terminado secciones de troquelados, maquinados, taller MABE. mecánico y el área de segundas operaciones. Queda integrado con las secciones 6. Área de Desechos de Materia correspondientes al almacén de Producto Prima. Terminado II y el área de empaque de Mabe debido que en las dos secciones se realizan Se integra con las secciones de exactamente las mismas actividades, sin desperdicio de lámina, rebaba, materia prima saber cual área era cual, por lo que rechazada y barras obsoletas, ya que consideramos adecuado la integración de las anteriormente eran consideradas como áreas dos áreas en una sola. Además de agregarle individuales y solían ocupar un mismo lugar una sección más en donde se realizan los y son tratadas de la misma manera. embarques. 7. Sanitarios H - M y Regaderas H - 3. Área de embarques. M. Está área se recomendó su Se integran en una misma área con el desaparición debido principalmente a que no fin de reducir secciones y se les considera se ocupaba como tal ya que los embarques como un conjunto dividido en dos áreas salían directamente del almacén de producto independientes. terminado o del área de empaque de Mabe, y esta sección era usada como una parte más 8. Oficinas de Personal. del almacén o del área de empaque. Por lo que se le integro esta tarea como una Queda integrado con las áreas de función más del almacén de Producto Recepción y el Departamento de Personal Terminado de Mabe. debido a que ocupan una misma área y las actividades ahí realizadas pueden ser 4. Almacén de Materias Primas. compartidas. 232
  • 26.
    DISTRIBUCIÓN DE PLANTAY MANEJO DE MATERIALES 9. Departamento de Ingeniería. 14. el Almacén de producto terminado, también se verá ampliado debido Se integra con las áreas de ingeniería a las modificaciones que se realizaran para de Calidad y de manufactura, debido a que las áreas de Mabe, como se explico comparten una misma área. anteriormente. 10. Taller Mecánico. 15. El taller mecánico se verá reducido debido a que tiene una pequeña Se unifica con las áreas del Taller sección que no es utilizada y se encuentra Mecánico y el Almacén de herramientas actualmente abandonada, por lo que se debido a que este último era usado única y puede aprovechar está área, otorgando se la exclusivamente por el taller mecánico, por lo al área de inspección y control de calidad de que consideramos adecuado que dejen de Mabe, para que el almacén de Producto considerarse como unidades particulares y terminado general pueda ser ampliado y formen una unidad total. aprovechar todos los espacios sobrantes de la empresa. 11. Área de Pintura MABE. 16. El área de Troqueles también se Está área será cambiada de posición, verá ampliada debido a que en los últimos debido a la dificultad que presenta con meses se ha presentado un aumenten la respecto al manejo de materiales. demanda de producción, por lo que se Actualmente se encuentra en el Segundo tomaran porciones de las secciones de Piso de la planta y el problema se genera en segundas operaciones y el área de ensamble. el transporte vertical, ya que el elevador, que es el equipo de transporte para esta Una Distribución de Planta ideal operación solamente funcionó por un debería minimizar los costos totales de pequeño periodo de tiempo. Aparte de que la operación de una planta. los movimientos de ubicación de está área se encuentra a un materiales (materia Prima, productos en costado de las oficinas de ingeniería; y está proceso, productos terminados, equipo, etc.) cercanía no es deseable. La nueva ubicación y trabajadores que no añaden ningún valor al de está sección será a un costado del área de producto, en cambio si provoca un aumento galvanoplastía, ya que las dimensiones son en los costos, debido a esto se ha procurado las adecuadas para está área y además es una reducir lo más posible los recorridos que sección de la empresa que no sé utilizada y realizan los materiales o en todo caso solamente se requiere de cambiar la facilitar estos recorridos instalación y el levantamiento de la pared frontal Con la nueva distribución de planta propuesta se logran reducir un poco las 12. El Departamento de Ingeniería se distancias recorridas por los materiales a ampliarán tomando el área donde se fabricar. El movimiento de las materias encontraba la sección de Pintura de Mabe. primas y los insumos no varía de manera considerable con respecto a la distribución 13. Las oficinas Generales serán anterior. ampliadas, uniéndose con las oficinas de planta sin perder ambas su autonomía. 233
  • 27.
    CAPÍTULO 4 Se puede observar en la tabla La reducción de los recorridos de los resumen que la reducción de distancias se materiales no fue el único aspecto que se presenta de manera considerable en las cuidó en el presente estudio de Distribución partes finales de los recorridos de cada uno de Planta, también se tuvo cuidado de de los productos que se trabajaron y esto es establecer los requerimientos de espacio de debido a, que más que una nueva cada área, debido a lo cual fueron realizados distribución de planta completa, se trabajo ajustes en el tamaño de algunas secciones. sobre la base de las limitaciones que la Estas modificaciones también implican otras misma empresa dispuso y sólo se pudieron mejoras como son la reducción en los modificar los recorridos de los materiales en tiempos de los procesos debido a que se la mayoría de las casos en su parte final acortan las distancias, se facilita el flujo de (Inspección final, Empaque y Embarque) materiales al organizar los almacenes de esto será ampliamente detallado en la materiales a procesar. siguiente sección de manejo de materiales. A continuación se mostrara la tabla Resumen de esta sección del proyecto, la cual muestra los recorridos actuales y propuestos, así como la reducción que se obtuvo sobre la base de estos últimos. TABLA 4.4. RESUMEN PRODUCTOS. OPERACIÓN SLINGER ENG, FR SEAT ASSY RR SPR LWR ENSAMBLE SOPORTE REDUCCIÓN TUBO Recorrido Protuesto Actual Protuesto Actual Protuesto Actual Insp. recibo de lamina. 13.33 13.33 13.33 13.33 13.33 13.33 0.00 Corte de lámina en tiras. 34.86 34.86 34.86 34.86 34.86 34.86 0.00 Corte de lámina en silta. 18.72 18.72 25.72 25.72 25.72 25.72 0.00 Desengrasar. 56.86 56.86 0.00 Acabado 4.68 4.68 0.00 Preformado. 8.19 8.19 0.00 Formado. 3.51 3.51 3.04 3.04 0.00 Punzonado previo 18.72 18.72 0.00 Doblado. 14.74 14.74 0.00 Estampado punzonado. 3.51 3.51 0.00 Punzonado de brazo. 3.00 3.00 0.00 Inspección recibo de tubo 13.33 17.25 3.92 Corte de tubo. 45.39 50.45 5.06 Avellanado. 4.90 4.90 0.00 Ensamble soldadura. 41.65 41.65 0.00 Alineado. 4.68 4.68 0.00 Inspección final 16.84 16.84 48.43 50.40 67.39 71.37 5.95 Embarque 43.27 43.27 9.36 12.50 9.36 12.50 6.28 Empaque. 8.19 10.53 12.40 16.85 12.40 16.85 11.24 234
  • 28.
    DISTRIBUCIÓN DE PLANTAY MANEJO DE MATERIALES 4.6. MANEJO DE MATERIALES cualquier análisis de manejo dependerá son: Materiales, Movimientos y Métodos. A partir de la Segunda Guerra Mundial se ha reconocido la importancia Para el estudio del Manejo de que el manejo de materiales tiene en la Materiales dentro de PROMMESA se actividad industrial. La aplicación apropiada llevará a cabo mediante un análisis con del manejo de materiales permite una ayuda de la Técnica denominada S. H. A integración suavizada de todos los procesos cuyo significado en inglés es Systematic de una empresa, relacionando el Handling Analysis, y en español significa movimiento, el tiempo, cantidad y espacio. Análisis Sistemático de Manejo. Históricamente se ha concentrado la 4.7. “SYSTEMATIC HANDLING atención sobre la forma de hacer las cosas y ANALYSIS (SHA)” ANÁLISIS se ha descuidado la ciencia de moverlas. SISTEMÁTICO DE Hay dos excepciones, la rama de transportes • MANUTENCIÓN (SHA) y la técnica de estudios de movimientos en la estación. Pero el claro entre estas dos es lo que se conoce como " Manejo de El Análisis Sistemático de Manejo es Materiales". un procedimiento organizado, de aplicación universal a cualquier proyecto de manejo de En el sentido más amplio el Manejo materiales, el SHA consiste en: de Materiales se define como la " Preparación, ubicación, posición, 1. Estructura de Fases. desplazamiento o almacenaje de todos los 2. Patrón de procedimientos. materiales, partes y componentes que son 3. Colocación de Convenciones. objeto de la actividad industrial ". Fases del SHA El problema típico consiste en transportar materiales, de un punto a otro sin Como cada proyecto de manejo lleva retrocesos con un mínimo de transferencias su curso de los objetivos establecidos para entregándolos a las estaciones de trabajo o instalar la realidad física pasa por cuatro centros de producción indicados, de forma fases las cuales son: que se eviten congestiones, demoras o movimientos innecesarios. I. Integración externa. II. Plan total de manejo. Los objetivos o beneficios del III. Planes de manejo detallados. manejo de Materiales son: IV. Instalación. 1). Reducir costos. Elementos claves 2). Disminuir desperdicios. 3). Aumentar la capacidad productiva de la Se examinarán los elementos claves empresa. de entrada e información preliminar, 4). Mejorar las condiciones de trabajo. necesarios para actualizar un problema de manejo de materiales. Estos son: Los fundamentos básicos del manejo de materiales tienen sus bases sobre la cual • Richard Muther; "Systematic Handling Analysis. 235
  • 29.
    CAPÍTULO 4 • PProductos o Materiales (Partes, Dimensiones de la Hoja: 91.4 cm * 304.8 artículos, unidades) cm. • Q Cantidades (Ventas o Volúmenes de Peso de la Hoja de Lámina: 42.51 kg. contratados). Dureza: 69 - 79 Rb. • R Rutas (Secuencia de operación y requisitos de proceso). Composición Química: Lámina SAE 1008. • S Servicios de Soporte (Tal como C 0.08 - 0.13 control de inventarios, orden de Mn 0.30 - 0.60 procesos, mantenimiento). P 0.04 Máx. S 0.05 Máx. • T Tiempo (Tarifas, tiempos de Corte de la lámina: Cortada en Tiras con un operación). ancho de 22.85 cm. Peso de la tira de lámina: 10.63 kg / Tira. 4.7.1. PATRÓN DE PROCEDIMIENTOS Número de Tiras por lámina: 4 tiras/lámina. DEL SHA Dimensiones del artículo: Lámina 15.42 cm * 21.27 cm. El manejo de Materiales se basa en: Número de piezas por tira: 19 pzas / tira. Materiales y movimientos que se deben Peso de la pieza: 0.489 kg. hacer, estableciendo prácticos métodos Número de piezas por lote: Lámina: 1000 económicos para acomodar el movimiento pzas / lote. de los materiales. el Patrón de Procedimientos SHA descansa, plenamente Tipo de material: Tubo SAE 1010, en estos tres fundamentos Resistente a la Tracción 270-500 N/mm2. 4.7.2. CLASIFICACIÓN DE LOS Dimensiones de la Hoja: 600 cm de longitud MATERIALES * 2 cm de diámetro * 1.00 mm de espesor. Dureza: 75 - 86 Rb. Debido a que la empresa Tamaño de grano: 6 – 8 (ASTM E -112). PROMMESA, S.A. de C.V., presenta un Corte del Tubo: Cortado a 51.6 cm de gran número de artículos diferentes, y que la longitud. gran mayoría de ellos se producen utilizando Número de partes por Tubo: 11 pzas / Tubo. como materia prima Lámina, Tubo y Barra, Dimensiones del tubo cortado: 51.6 cm * 2 se pueden agrupar los materiales en clases. cm de diámetro. Dichas clases de material deben consistir de Número de piezas por lote: 1000 pzas / lote. artículos que son similares en una característica dominante o por artículo. En Empaque interior: Se acomodan en cajas o PROMMESA, S.A. de C.V., se obtuvo la contenedores la cantidad de 500 pzas / caja, siguiente clasificación de los materiales protegidas con plástico. sobre la base del tipo de artículo producido. Dimensiones de la caja: 80 * 100 * 70, cm. Peso Neto: 250 kg * contenedor. Nombre del artículo: SOPORTE TUBO. Estivación máxima: 3 cajas. Empresa a quién se le maquila: Robert Bosch. Tipo de material: Lámina SAE 1008, Calibre # 14. 236
  • 30.
    DISTRIBUCIÓN DE PLANTAY MANEJO DE MATERIALES PATRÓN DE PROCEDIMIENTO SHA. Elemento clave de entrada: P, Q, R, S, T. 1. Clasificación de materiales 2. LAYOUT 3. Análisis de movimiento 4. Visualización de movimientos 5. CONOCIMIENTO Y ENTENDIMIENTO DE LOS MÉTODOS DE MANEJO DE MATERIALES 6. Planes preliminares de manejo 7. Modificaciones y limitaciones 8. Calculo de requerimientos Plan X Plan Y Plan Z 9. Evaluación de Plan de manejo alternativas seleccionado Fig. 4.14. Patrón de procedimientos del SHA. Richard Muther; "Systematic Handling Analysis 237
  • 31.
    CAPÍTULO 4 Nombre delartículo: SEAT ASSY – RR Tipo de material: Lámina de acero rolada en SPR, LWR. caliente SAE 1010, Calibre # 7. Empresa a quién se le maquila: Nissan Dimensiones de la Hoja: 91.4 cm* 304.8 Civac. cm. Peso de la Hoja de Lámina: 42.51 kg. Tipo de material: Barra de acero estirado en Dureza: 45 - 65 Rb. frió SAE 1045. Composición Química: Lámina SAE 1010. Dimensiones de la Barra: longitud 3.0 o 6.0 C 0.08 - 0.13 mts * 0.624” – 0.762” de diámetro. Mn 0.30 - 0.60 Peso de la Barra: 4.656 kg o 9.312 kg. P 0.04 Máx. Dureza: 20 – 28 Rc (CR SAE 1045). S 0.05 Máx. Composición Química: Barra CR 1045. Corte de la Lámina: Cortada en Tiras con un C 0.43 – 0.50 ancho de 6.4 cm. Mn 0.60 – 0.90 Peso de la tira de Lámina: 7.14 kg / Tira. P 0.04 Máx. Número de tiras por Lámina: 14 tiras / S 0.05 Máx. lámina. Corte de la Barra: Cortada en tramos de Dimensiones del artículo: 6.4 cm * 12.8 cm. 10.86cm. Peso del artículo: 0.299 kg. Peso del tramo de Barra: 27 o 55 Número de piezas por tira: 23 pzas / tira. tramos/barra. Dimensiones del artículo: diámetro (0.624 – Número de piezas por lote: 1000 pzas / lote. 0.762”) * 10.74 de longitud. Peso del artículo ensamble: 1.743 kg. Peso del artículo: 0.168 kg. Empaque interior: Se acomodan en cajas la cantidad de 250 piezas / contenedor, Tipo de material: Lámina de acero rolada en protegidas con plástico. caliente SAE 1010, Calibre # 7. Dimensiones de la contenedor: 54 cm * 37.2 Dimensiones de la Hoja: 91.4 cm* 304.8 cm * 18.5 cm. cm. Peso Neto: 500 kg * contenedor. Peso de la Hoja de Lámina: 42.51 kg. Estivación máxima: 9 contenedores. Dureza: 45 - 65 Rb. Composición Química: Lámina SAE 1010. Nombre del artículo: SLINGER – ENG, C 0.08 - 0.13 FR. Mn 0.30 - 0.60 Empresa a quién se le maquila: Nissan P 0.04 Máx. motores. S 0.05 Máx. Corte de la Lámina: Cortada en Tiras con un Tipo de material: Lámina SAE 1010; ancho de 19.3 cm. Rolada en frío, Calibre # 7. Peso de la tira de Lámina: 6.458 kg / Tira. Dimensiones de la Hoja: 91.4 cm* 304.8 Número de tiras por Lámina: 15 tiras / cm. lámina. Peso de la Hoja de Lámina: 101.99 kg. Dimensiones del artículo: 19.3 cm * 17.7 Dureza: 45 - 65 Rb. cm. Composición Química: Lámina SAE 1010. Peso del artículo: 1.276 kg. C 0.1 Máx Número de piezas por tira: 5 pzas / tira. Mn 0.25 - 0.45 P 0.04 Máx. S 0.05 Máx. 238
  • 32.
    DISTRIBUCIÓN DE PLANTAY MANEJO DE MATERIALES Corte de la Lámina: Cortada en Tiras con un Existen otros factores que atan al ancho de 18.85 cm. Layout con el manejo de materiales y es que Peso de la tira de Lámina: 6.30 kg / Tira. ambos son desarrollados con los mismos Número de Tiras por Lámina: 16 tiras / elementos clave de entrada: P, Q, R, S y T. lámina. Dimensiones del artículo: 17.48 cm * 18.85 Existen tres tipos clásicos de Layout: cm. Peso del artículo: 1.206 kg. 1. LAYOUT por Posición Fija. Número de piezas por tira: 5 pzas / tira. 2. LAYOUT por Proceso. Número de piezas por lote: 1200 pzas / lote. 3. LAYOUT por Producto. Empaque interior: Se acomodan en cajas o Como ya se menciono en la parte de contenedores la cantidad de 400 piezas / Distribución de Planta el tipo de LAYOUT contenedor, protegidas con plástico. que fue aplicado en este proyecto es el Dimensiones de la caja o contenedor: 80 cm LAYOUT por proceso, debido a las razones * 100 cm * 35 cm. ya antes explicadas. Peso Neto: 500 kg * Contenedor. Estibación máxima: 6 cajas. 4.7.4. ANÁLISIS DE MOVIMIENTOS 4.7.3. DISTRIBUCIÓN DE PLANTA * (LAYOUT) Cuando analizamos los movimientos, necesitamos conocer cierta Habiendo identificado y clasificado información. Estos datos incluyen: los materiales que forman los tres artículos analizados hasta el momento, el paso 1. El Material (Producto o clases de siguiente en el patrón de procedimientos el materiales). SHA es el Layout. *Cualquier análisis a) Las características físicas. completo de movimientos de materiales, está b) Otras características. relacionado inseparablemente con el Layout. La razón de ello, es que el movimiento o el 2. La Ruta (origen y destino o trayecto de manejo asocia a los materiales su los movimientos). aprovechamiento o un valor del espacio de a) La distancia de los movimientos. tránsito y dicho espacio, está ligado al lugar b) Las situaciones físicas de la ruta. donde se origina cada movimiento y al lugar donde se acaba. Más concretamente, el 3. El Flujo (o movimiento). Layout establece la distancia entre los a) La intensidad del flujo (cantidad puntos de origen y de destino y esta de materiales por período distancia de traslado es el factor más moviéndose sobre una ruta. importante a la hora de seleccionar un b) Las condiciones del flujo (o método de manutención. Todo Layout y plan movimiento). de manejo de materiales tiene tres fundamentos, los cuales son: las relaciones, Los datos de materiales ya fueron el espacio y el ajuste. proporcionados y analizados en páginas anteriores; con respecto a la ruta * * Análisis sistemático de manutención, Richard Muther; “Capítulo Análisis sistemático de manutención; Richard Muther; “Capítulo 2 Layout”. 3 Análisis de movimientos”. 239
  • 33.
    CAPÍTULO 4 mostraremos undiagrama esquemático, que flujo de cada uno de los artículos estudiamos resume en forma general los movimientos y los encontraremos en los anexos del del material desde su ingreso a la planta capítulo 4 (4.4, 4.5 y 4.6). Cabe mencionar hasta su punto final (salida), también hace que el patrón de procedimientos del SHA referencia a la tabla 4.4 “Tabla resumen del esta siendo aplicado a la distribución de Layout”, que proporciona las distancias o planta propuesta de la empresa recorridos de los tres artículos estudiados en PROMMESA, S.A. de C.V. desarrollada en este proyecto. Por ultimo analizaremos el este proyecto terminal (sección anterior). flujo, que será mostrado en los diagramas de DESPLAZAMIENTO DE MATERIALES (SHA.) PROVEEDORES LÍNEA DE AUTORIDAD TRAFICO RECEPCIÓN INSPECCIÓN DE ENTRADA ADMINISTR Y CONTROL DE ALMACÉN DE MATERIA PRIMA CALIDAD PRODUCCIÓN PROCESO SLINGER PROCESO SEAT ASSY RR PROCESO SOPORTE ENG, FR SPR, LWR TUBO MANUFACTURA ENSAMBLE ENSAMBLE INSPECCIÓN FINAL CONTROL DE CALIDAD EMPAQUE MANUFACTURA ALMACÉN PRODUCTO COMERCIALIZACIÓN TERMINADO EXPEDICIÓN TRAFICO Fig.4.15. Desplazamiento de materiales (SHA). Diseñado específicamente para PROMMESA S.A. de C.V. 240
  • 34.
    DISTRIBUCIÓN DE PLANTAY MANEJO DE MATERIALES 4.7.5. VISUALIZACIÓN DE mismo capítulo en la sección anterior. MOVIMIENTOS Dichos diagramas de flujo de proceso se encuentran en los anexos de este capítulo Habiendo analizado los movimientos (Anexos 4.4, 4.5 y 4.6), solamente fueron y habiendo determinado un Layout realizados los diagramas de flujo de proceso específico del área involucrada, estamos para los tres artículos estudiados en este preparados para encajarlos juntos. El SHA lo capítulo hasta el momento. hace visualmente. 4.7.6. ENTENDIMIENTO DE LOS Básicamente, tratamos de desarrollar MÉTODOS DE MANEJO DE un método de manutención partiendo de los MATERIALES requerimientos que los materiales y movimientos necesitan. Es decir, tratemos Si observa el esquema del SHA de resolver un problema de manera que, (Figura 4.4) veremos que hasta el momento, conociendo algún método que visualice hemos recogido la información necesaria en claramente nuestros datos, nos ayuda a los bloques 1, 2, 3 y 4 y la hemos analizado entenderlo. Se dice que “Una imagen es y visualizado para su mejor interpretación. mejor que mil palabras” y un resumen visual Ahora necesitamos un entendimiento de los claro, son más fáciles de interpretar que métodos de manejo e materiales antes de que diversos datos descriptivos. Por otra parte, la podamos proceder a resolver nuestro mayoría de la gente puede leer el significado problema. * sobre diagramas y gráficos más fácilmente que de hojas de datos y columnas de 4.7.7. PLANES PRELIMINARES DE números. Como resultado, la visualización MANUTENCIÓN de movimientos se convierte en la próxima importante etapa del patrón de Habiendo clasificado los materiales, * procedimientos del SHA. analizando y visualizando los movimientos en un Layout propuesto y obtenido un El flujo de materiales puede conocimiento y entendimiento de los visualizarse de varias maneras: métodos de manutención como se usan en el SHA, ahora estamos en condiciones de • Diagramas esquemáticos de tomar decisiones preliminares acerca de los proceso – flujo. métodos y los planes específicos de • Diagramas de flujo sobre el manutención. Layout. • Gráficos de representación por Como vimos anteriormente, coordenadas. llamamos a un cierto sistema, equipo y unidad de transporte, un método. Cada Nosotros empleamos un diagrama método mueve un cierto material sobre una nombrado de flujo de proceso, este diagrama cierta ruta. Los mismos métodos pueden fue obtenido utilizando los datos y usarse sobre varias rutas o para varios diagramas desarrollas en el capítulo anterior materiales o pueden usarse diferentes (3) de ingeniería de métodos y la métodos. En cualquier caso, una distribución de planta propuesta en este * * Análisis sistemático de manutención, Richard Muther; Capítulo 4 Análisis sistemas de manutención; Richard Muther; Capítulo 5 (Visualización de movimientos). (Entendimiento de los métodos de manejo de materiales). 241
  • 35.
    CAPÍTULO 4 combinación demétodos se denomina un 4.7.8. MODIFICACIONES Y plan. LIMITACIONES El SHA llama a esta determinación de los métodos de manutención “Ingeniería Debe recordarse que el manejo de Sistemática de Coordinación”. Es materiales incluye algo más que seleccionar “sistemática” porque sigue unos pasos el sistema, el equipo y la unidad de lógicos y organizados, es “ingeniería” transporte. Además existe el problema de porque determina la solución desde el operar el equipo adecuada y efectivamente, análisis fundamental de los hechos, es de lo que en la mayoría de las plantas “coordinación” porque liga el método (S) industriales incluye a los trabajadores con los materiales y movimiento requeridos, directos o indirectos que mueven el material y relaciona los diferentes métodos entre sí. * o a quién controla físicamente este movimiento. Hojas de trabajo para métodos Más allá de estos problemas de análisis y operaciones, debemos darnos Una forma en que podemos registrar cuenta que existe también un problema de nuestros planes es apuntarlos en una hoja de coordinación y soporte de las operaciones papel. La tabla 4.5 muestra una forma del manejo de materiales simple de hacer una lista el Sistema, Equipo Los problemas de operar y y Unidad de transporte para cada material (o coordinarlas instalaciones de manejo de clase de material) sobre cada ruta. Cuando materiales se dividen en dos categorías hay sólo uno o unos pocos materiales y una generales: * secuencia directa de rutas, esto e una forma práctica de hacerlo. Por lo cual para este 1. Organización y personal. caso en donde solamente estamos analizando tres artículos del total de artículos de fabrica En esta categoría la empresa PROMMESA, S.A. de C.V., esta hoja es PROMMESA, S.A. de C.V., presenta una adecuada, pero cuando se quiera registrar función de manutención de tipo centralizada todas las clases de materiales que son debido a que el movimiento de los utilizadas en la producción de los artículos materiales es supervisado en todos sus que fabrica la empresa, deberá emplear se movimientos dentro de la planta. Los otro tipo de hoja, llamada “Hoja de métodos de manutención propuestos en este coordinación de métodos de manutención”. estudio no requieren de diferentes tipos de habilidades laborales por parte de los La hoja de coordinación de métodos obreros, por lo tanto tan poco requiere de se construye de la misma forma que el diferentes tipos de planes de salarios, Resumen de movimientos: Cada ruta tiene contratos, capacitación o capacidad de una línea y cada clase de material tiene una entrenamiento. Por lo tanto podemos decir columna. Sobre el Resumen de Movimientos que el estudio de manejo de materiales registramos la “medida” de los movimientos realizado es bastante flexible y adecuado. sobre cada ruta para cada material. Ahora sustituimos “un método” por esta medida. * * Análisis sistemático de manutención; Richard Muther; Capítulo 6 Análisis sistemático de manutención; Richard Muther; Capítulo 7 (Planes preliminares de manutención). (Modificaciones y limitaciones) 242
  • 36.
    DISTRIBUCIÓN DE PLANTAY MANEJO DE MATERIALES PLANES PRELIMINARES DE MANEJO. PLANTA PROMMESA PROYECTO __T_ HOJA DE TRABAJO PARA LOS MÉTODOS DE MANEJO DE MATERIALES POR: M.C.D.; M.V.L.A. CON: HOJA __1__ DE __2__ RUTA CLASE DE MATERIAL MÉTODO PROPUESTO OBSERVACIONES SISTEMA - EQUIPO Y TRANSPORTE UNITARIO RECEPCIÓN LÁMINA a DIRECTO - MONTACARGAS -PALLET TUBO b DIRECTO - MONTACARGAS -PALLET PRIMER ALMACÉN OTROS ARTÍCULOS DIRECTO - MONTACARGAS -PALLET 1° ALMACENAJE LÁMINA a DIRECTO - MONTACARGAS -PALLET CORTE DE TIRA CORTE DE TIRA LÁMINA a DIRECTO - CARRO MANUAL DE 4 RUEDAS CORTE DE SILUETA CORTE DE SILUETA LÁMINA a DIRECTO - MANUAL - CAJA. PUNZONADO PREVIO PUNZONADO PREVIO LÁMINA a DIRECTO - MANUAL - CAJA. FORMADO FORMADO LÁMINA a DIRECTO - CARRO MANUAL DE 4 RUEDAS - CAJA DOBLES DOBLES LÁMINA a DIRECTO - CARRO MANUAL DE 4 RUEDAS - CAJA PUNZONADO PUNZONADO LÁMINA a DIRECTO - MANUAL - CAJA ESTAMPADO Y PUNZONADO ESTAMPADO Y PUNZONADO LÁMINA a DIRECTO - MANUAL - CAJA CORTE DE TUBO TUBO b DIRECTO - CARRO MANUAL DE 4 RUEDAS - CONTENEDOR CORTE DE TUBO TUBO b DIRECTO - MANUAL - CAJA REBABEADO DE TUBO REBABEADO DE TUBO TUBO b DIRECTO - CARRO MANUAL DE 4 RUEDAS - CONTENEDOR ENSAMBLE Y SOLDADURA LÁMINA a DIRECTO - CARRO MANUAL DE 4 RUEDAS - CONTENEDOR SOLDADURA Y ENSAMBLE ENSAMBLE c DIRECTO - MANUAL - CAJA ALINEADO 243
  • 37.
    CAPÍTULO 4 * PLANTA PROMMESA PROYECTO __T_ HOJA DE TRABAJO PARA LOS MÉTODOS DE MANEJO DE MATERIALES POR: M.C.D.; M.V.L.A.. CON: HOJA __2__ DE __2__ RUTA CLASE DE MATERIAL MÉTODO PROPUESTO OBSERVACIONES SISTEMA - EQUIPO Y TRANSPORTE UNITARIO ALINEADO ENSAMBLE c DIRECTO - CARRO MANUAL DE 4 RUEDAS - CONTENEDOR INSPECCIÓN FINAL INSPECCIÓN FINAL CAJAS d DIRECTO - MONTACARGAS -PALLET EMPAQUE EMPAQUE CAJAS d DIRECTO - MONTACARGAS -PALLET ALMACENAJE FINAL * Tabla 4.5. Hoja de trabajo para métodos de manutención. 244
  • 38.
    DISTRIBUCIÓN DE PLANTAY MANEJO DE MATERIALES 2. Procedimientos, control, comunicación y de que esta simple técnica de comparación programas. es extremadamente efectiva para el analista y para aquellos que tendrá que convencer La relación entre la manutención y cuando haga sus recomendaciones. de los procedimientos y controles que permiten operar a los métodos de Esta comparación de pros y contras manutención es también básica. Esto incluye envuelve simplemente el anotar en columnas el trabajo total de coordinación de o en hojas una al lado de la otra, todas las producción e inventariado o dirección de ventajas de cada alternativa, y debajo de abastecimiento de materiales, planes de ellas todas las desventajas. producción e inventarios, programación y lanzamiento, informes de movimientos y Este mismo método de ponderar pros similares y además, envuelve actividades y contras puede ser hechos ahora mas como mantenimiento del equipo en precisamente evaluando la importancia o condiciones de operación satisfactoria, todas gravedad de cada ventaja o desventaja. Si y cada una de estas actividades fueron esto se lleva a cabo hasta el final, no estudiadas en cierta forma en este proyecto obstante, podríamos ir al método del análisis terminal, por lo cual afirmamos que dicho de factores (a cubrir abajo) a causa de su proyecto es un proyecto integral que cumple fuerza y beneficios secundarios. * con los requerimientos necesarios para su adecuada implantación. Análisis de factores ponderados 4.7.9. CALCULO DE LOS La evaluación de factores intangibles REQUERIMIENTOS se hace usualmente mejor por medio del método de los factores ponderados de Probablemente la mejor manera de comparación de alternativas. especificar y calcular un plan de manutención propuesto es dividirlo en partes Este método se aplica en la tabla 4.7. básicas, cada parte consiste en todos los Esencialmente, el procedimiento incluye los movimientos que son realizados con los siguientes pasos: mismos métodos de manutención. * Utilizaremos un formato llamado “Hoja de 1. Hacer una lista de factor (o calculo de necesidades” que se presenta en consideraciones o objetivos) es que la tabla 4.6. están envueltos o se requieren del plan de manutención. 4.7.10. EVALUACIÓN Y 2. Determinar un peso o un valor relativo ALTERNATIVAS de importancia para cada factor empezando con el factor más Una de las formas más fáciles de importante como diez. preparar nuestras mentes es simplemente 3. Identificar los planes alternativos, anotar las ventajas y desventajas de cada usando una columna para cada plan. plan alternativo. Podemos escoger llamarles, 4. Evaluar todos los planes para un factor pros y contras, ganancias y pérdidas, al mismo tiempo, utilizando la escala beneficios y deficiencias. Persiste el hecho de letras vocales A, E, I, O, U, X. * * Análisis sistemático de manutención; Richard Muther; Capítulo 8 Análisis sistemático de manutención; Richard Muther; Capítulo 9 (Calculo de requerimientos). (Evaluación de alternativas). 245
  • 39.
    CAPÍTULO 4 CALCULO DE REQUERIMIENTOS HOJA DEL CALCULO DE NECESIDADES. PLANTA PROMMESA PROYECTO __T_ Método: Carretilla manual. POR: M.C.D.; M.V.L.A. CON: HOJA __1__ DE __1__ Descripción del Método: Carretilla manual “Carro manual de 4 ruedas” elevadora de 500kg. Los conductores reciben órdenes del supervisor dependiendo del departamento en que se encuentre el material. Los materiales seguirán diferentes trayectorias de pendiendo de la pieza que se desee fabricar. MOVIMIENTOS CUBIERTOS CALCULO DEL EQUIPO Y DE LA CALCULOS DE PLANTILLA UNIDD DE TRASNTORTE Notas: TOTAL TOTAL Inversión: Costo de personal: Costo operacional: Tabla 4.6.. Hoja del calculo de necesidades. 5. Convertir cada vocal –letra de la escala más gente, o una ponderación más cuidadosa en un valor numérico, multiplicándolo de los factores. Adicionalmente, cada plan por el valor de peso del factor, y puede ser reexaminado por mejores registrando el valor ponderado de cada potenciales de los factores evaluados más plan alternativo para cada factor. bajos. 6. Totalizar, los valores numéricos En la tabla 4.7. correspondiente a la ponderados para cada plan y comparar evaluación de alternativas se puede los totales ponderados. observar, como dos de las alternativas prácticamente tienen el mismo valor, con Un plan puede sobresalir claramente motivos de este estudio (proyecto terminal) sobre los otros. Esto se considera así si el no realizaremos otra evaluación de estas dos mayor valor de un plan tiene un total que es alternativas, y la razón de esta decisión es un 20% mayor que el total del más próximo que consideramos que ambas alternativas alternativo. Si esto es así, este plan es el que son necesarias para poder realizar los planes lógicamente se debe seleccionar. Más que tiene la empresa PROMMESA, S.A. de frecuentemente los planes están muy C.V. a largo plano. cercanos. Estos contendientes finales pueden ser evaluados otra vez con más escrutinio, 246
  • 40.
    DISTRIBUCIÓN DE PLANTAY MANEJO DE MATERIALES EVALUACIÓN DE ALTERNATIVAS DESCRIPCIÓN DE ALTERNATIVAS. A Incremento del área de troquelado B reubicación del área de pintura de Mabe C Incremento del área de regaderas D Incremento del área de oficinas E Modificaciones del flujo de proceso FACTOR / CONS PESO RAZÓN Y PESO OBSERVACIONES A B C D E Costo total de inversión 40 90 8 10 15 5 espacio disponible en Layout 5 90 90 90 90 90 tiempo de recuperación de la inversión 10 80 60 90 90 40 Disminución del manejo de materiales 20 70 80 0 0 90 Incremento de la productividad 15 90 90 40 20 90 Incremento de la calidad 10 80 90 40 30 90 TOTAL 100 500 490 270 245 405 PROYECTO SLP Y SHA FECHA 28-12-1998 PLANTA PROMMESA PREPARO M.C.D.; M.V.L.A. Tabla 4.7. Evaluación de alternativas. 247
  • 41.
    CAPÍTULO 4 Conclusiones as técnicas de SLP Y SHA Afortunadamente PROMMESA, L aplicadas para analizar los problemas de distribución de planta y manejo de materiales que presenta la empresa PROMMESA, S.A. de C.V., proveen un número de procedimientos específicos a S.A. de C.V., cuenta con un tipo de producción bastante flexible y por la misma razón su distribución de planta también lo es y a pesar de que maneja un gran número de materiales, con ayuda de las técnicas aplicadas en este proyecto, es seguir y haciendo esto, se podrá ahorrar posible diseñar un sistema de manutención tiempo en el desarrollo de los estudios, y una adecuada distribución de planta, además de que nos ayudan a alcanzar como los propuestos que sean el inicio de mejores decisiones y proveerán de más una serie de cambios que den buenos confianza para la aprobación de los resultados a corto plazo en las condiciones estudios realizados por parte de la del sistema productivo y en general en la dirección de la empresa. empresa. En realidad la importancia de utilizar las técnicas de Richard Muther, recae en la organización lógica que es empleada en su aplicación y desarrollo. En nuestro caso, fue de gran ayuda por las condiciones de la empresa PROMMESA, S.A. de C.V., una empresa clasificada en el rango de la mediana empresa por su tamaño y por esta misma REFERENCIAS: razón hubiese sido bastante difícil el tratar de atacar los problemas de distribución y • Richard Muther; "Systematic Layout manutención empleando algún otro Planing"; Management & Industrial método. A pesar de que en el estudio Research Publications; 1973. realizado por nosotros en este proyecto terminal, solamente fueron considerados • Richard Muther; "Systematic Handling tres de los artículos fabricados por dicha Analysis"; Management & Industrial empresa, es importante señalar que las Research Publications; 1969. alternativas y cambios sugeridos son adecuados y pueden ser implantados sin • Palekar U. S.; "Plant Layout"; Courses: que estos causen un caos o requieran de layout-.html, layout-Types.html, una cantidad exagerada de recursos por layout-Types-2.html, layout-Why.html, parte de la empresa o la planta productiva y layuot-Systemat.html, layout- además también pueden ser como marco de Activity.html, layout-REL.html, layout- referencia para realizar estudios más REL-2.html; detallados de cada una de las áreas de la http://www.cen.uiuc.edu/courses/ie261/ planta productiva o de servicios que tiene notes/layout/; 1998. PROMMESA, S.A. de C.V.. 248