ECUACIONES DIFERENCIALES EN
      DERIVADAS PARCIALES SEPARABLES

ECUACIONES LINEALES:

La forma general de una ecuación diferencial en
derivadas parciales lineal de segundo orden (EDP)
con dos variables independientes, x y y, es



en donde A, B, C, . . . , G son funciones de x e y.
Cuando G(x, y) = 0, la ecuación se llama homogénea;
en cualquier otro caso es no homogénea.
Ejemplo:
                ∂ 2u ∂ 2 u
La ecuación    − 2 + 2 −u = 0   es homogénea, mientras
                ∂x ∂y
       ∂ 2u ∂u
que   − 2+     = x2   es no homogénea.
       ∂x   ∂y



SOLUCIÓN DE UNA ECUACIÓN DIFERENCIAL
PARCIAL:

Una solución de una ecuación en derivadas parciales
con dos variables independientes x e y, es una
función u(x,y) que posee todas las derivadas parciales
que indica la ecuación y que la satisface en alguna
región del plano xy.


SEPARACIÓN DE VARIABLES:

El método de separación de variables consiste en
buscar una solución particular en forma de un
producto de una función de x por una función de y,
como u ( x, y ) = X ( x)Y ( y ) ; esto posibilita convertir una
ecuación en derivadas parciales, lineal con dos
variables en dos ecuaciones diferenciales ordinarias.

Si   u ( x, y ) = X ( x)Y ( y )   se tiene:
                                  u ( x, y ) = X ( x )Y ( y )
                                    ∂u
                                    ∂x = X `( x)Y ( y )
                                   
                                    ∂u = X ( x)Y `( y )
                                    ∂y
                                   
                                  ⇒ 2
                                    ∂ u = X ``( x)Y ( y )
                                    ∂x 2
                                    2
                                    ∂ u = X ( x)Y ``( y )
                                    ∂y 2
                                   
PRINCIPIO DE SUPERPOSICIÓN

Si u1 , u2 , u3 ,..., uk son soluciones de una ecuación en
derivadas parciales lineal homogénea, entonces la
combinación lineal:
           u = c1u1 + c2u2 + c3u3 + ... + ck uk / ci ∈ lR, i = 1, 2,..., k
también es una solución.

Si una ecuación diferencial parcial lineal homogénea
tiene un conjunto infinito de soluciones
u1 , u2 , u3 ,..., uk ,... , entonces se puede construir una
solución               u,      formando   la  serie   infinita
    +∞
u = ∑ cnun / ci ∈ lR, i = 1, 2,3,...
    n =1




EJEMPLOS:

Determinar las soluciones producto de la siguiente
                                 ∂ 2u   ∂u
ecuación diferencial                  =4 .
                                 ∂x 2   ∂y
Solución:
                  u ( x, y ) = X ( x)Y ( y )
                    ∂ 2u                       ∂u
                  ⇒ 2 = X ´´( x)Y ( y ) ∧          = X ( x)Y `( y )
                    ∂x                         ∂y
                  ⇒ X ´´( x)Y ( y ) = 4 X ( x )Y `( y )
                    X ´´( x) Y `( y )
                  ⇒          =
                    4 X ( x) Y ( y )
Puesto que el lado izquierdo de la última expresión es
independiente de y e igual a una expresión que es
independiente de x, entonces ambas expresiones son
independientes de las dos variables; es decir, cada
miembro de la ecuación debe ser una constante.


            X ´´( x) Y `( y )
CASO 1:             =         = λ2
            4 X ( x) Y ( y )


   X ´´( x) Y `( y )
           =         = λ2
   4 X ( x) Y ( y )
   ⇒ X ´´( x ) = λ 2 4 X ( x ) ∧ Y `( y ) = λ 2Y ( y )
   ⇒ X ´´( x ) − λ 2 4 X ( x ) = 0 ∧ Y `( y ) − λ 2Y ( y ) = 0
   Resolviendo estas ecuaciones diferenciales ordinarias tenemos:
                                                                 λ2 y
   X ( x) = c1 cosh(2λ x ) + c2 sen h(2λ x) ∧ Y ( y ) = c3e
   Entonces una solución particular de la ecuación es:
                                   2                     2
   u ( x, y ) = A1 cosh(2λ x)eλ y + A2 sen h(2λ x)e λ        y
X ´´( x) Y `( y )
CASO 2:            =         = −λ 2
           4 X ( x) Y ( y )


  X ´´( x) Y `( y )
          =         = −λ 2
  4 X ( x) Y ( y )
  ⇒ X ´´( x ) = −λ 2 4 X ( x ) ∧ Y `( y ) = −λ 2Y ( y )
  ⇒ X ´´( x ) + λ 2 4 X ( x ) = 0 ∧ Y `( y ) + λ 2Y ( y ) = 0
  Resolviendo estas ecuaciones diferenciales ordinarias tenemos:
                                                                  2
  X ( x) = a1 cos(2λ x) + a2 sen(2λ x) ∧ Y ( y ) = a3e− λ             y


  Entonces una solución particular de la ecuación es:
                                2                         2
  u ( x, y ) = B1 cos(2λ x)e− λ y + B2 sen(2λ x)e− λ          y




           X ´´( x) Y `( y )
CASO 3:            =         =0
           4 X ( x) Y ( y )


  X ´´( x) Y `( y )
           =         =0
  4 X ( x) Y ( y )
  ⇒ X ´´( x ) = 0 ∧ Y `( y ) = 0
  Resolviendo estas ecuaciones diferenciales ordinarias tenemos:
  X ( x) = b1 + b2 x ∧ Y ( y ) = b3
  Entonces una solución particular de la ecuación es:
  u ( x, y ) = C1 + C2 x
ECUACIONES CLÁSICAS Y PROBLEMAS DE
      VALORES EN LA FRONTERA


ECUACIÒN EN UNA DIMENSIÒN DEL CALOR:

Sea una varilla delgada de longitud L y sección
transversal A, la cual coincide con el eje X en el
intervalo [0, L].


                                       X
             0                L




Suponer que:
 1.El flujo de calor dentro de la varilla solo tiene la
    dirección del eje X
 2.La superficie lateral o curva de la varilla está
    aislada, es decir, no escapa calor de esa superficie.
 3.No se genera calor dentro de la varilla
 4. La varilla es homogénea, es decir su densidad es

    constante.
 5.El calor específico y la conductividad térmica de
    la varilla son constantes.
Bajo esas condiciones la ecuación que determina la
variación de temperatura u(x.t) en la varilla está dada
por:
                   ∂ 2u ∂u
                  k 2 =    , k>0
                   ∂x   ∂t

donde k se denomina difusividad térmica.


PROBLEMA DE VALORES EN LA FRONTERA:

Una varilla delgada de longitud L tiene una
temperatura inicial f(x) y sus extremos se mantienen a
una temperatura 0 en todo momento. De ahí que este
problema de valor en la frontera que determina la
temperatura de la varilla será:
                 ∂ 2u ∂u
               k 2 =       , 0<x<L, t>0
                 ∂x     ∂t
               u(0,t)=0 , u(L,t)=0, t>0
               u(x,0)=f(x), 0<x<L
Solución:
                u ( x, t ) = X ( x)T (t )
                  ∂ 2u                    ∂u
                ⇒ 2 = X ´´( x)T (t ) ∧         = X ( x)T `(t )
                  ∂x                      ∂t
                ⇒ kX ´´( x)T (t ) = X ( x)T `(t )
                     X ´´( x) T `(t )
                ⇒            =        = −λ 2
                     X ( x) kT (t )
                ⇒ X ´´( x) + λ 2 X ( x) = 0 ∧ T `(t ) + λ 2 kT (t ) = 0


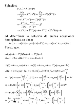
Al determinar la solución de ambas ecuaciones
homogéneas, se tiene:
        X ( x) = c1 cos ( λ x ) + c2 sen ( λ x ) ∧ T (t ) = c3e − k λ t
                                                                                  2




Puesto que:

  u (0, t ) = 0 ⇒ X (0)T (t ) = 0 ⇒ X (0) = 0
  u ( L, t ) = 0 ⇒ X ( L)T (t ) = 0 ⇒ X ( L) = 0


  X (0) = 0 ⇒ c1 cos ( 0 ) + c2 sen ( 0 ) = 0 ⇒ c1 = 0 ⇒ X ( x ) = c2 sen ( λ x )
                                                                                      nπ
  X ( L) = 0 ⇒ c2 sen ( λ L ) = 0 ⇒ sen ( λ L ) = 0 ⇒ λ L = nπ ⇒ λ =
                                                                                       L
                                                                  2
                                                             nπ 
                      nπ                                −k     t
  ⇒ X ( x ) = c2 sen                x  ∧ T (t ) = c3e      L 
                                                                       , n ∈ lN
                      L               
                                 2
                             nπ 
                         −k      t        nπ
                                            
  ⇒ un ( x, t ) = bn e       L 
                                          x  , n ∈ lN
                                       sen 
                                            L
                                            
                 +∞ 
                                         nπ  
                                  2
                            nπ 
                         −k     t
  ⇒ u ( x, t ) = ∑  bn e    L 
                                    sen       x
                                        L 
                 n =1
                                                 
Reemplazando la condición                    u ( x, 0) = f ( x), x ∈ ( 0, L )   , se
                       +∞
                                   nπ    
tiene que      f ( x) = ∑  bn sen       x ,   siendo esta expresión
                        n =1       L     
el desarrollo de f en una serie de senos de mitad de
intervalo, donde
                    nπ
        L
    2                       
bn = ∫ f ( x ) sen       x  dx
    L0              L      

              2                                                      
                                                         2
                                                      nπ 
                                   nπ        −k L  t     nπ
                +∞       L
⇒ u ( x, t ) = ∑   ∫ f ( x) sen        x  dx  e   sen         x
              L n =1   0         L                       L       
                                                                       
ECUACIÒN ONDA UNIDIMENSIONAL:

Sea una cuerda de longitud L que se encuentra tensa
entre dos puntos del eje X, estos pueden ser x=0 y
x=L.


                                   X
            0               L




Considerar que la cuerda tiene movimiento de manera
perpendicular al eje X de manera tal que u(x,t)
representará el desplazamiento vertical de cualquier
punto de la cuerda. Además se supone que:

 1.La cuerda es perfectamente flexible
 2.La cuerda es homogénea, es decir su densidad es
   constante.
 3.Los desplazamientos u(x,t) son pequeños en
   comparación con la longitud de la cuerda.
 4.La pendiente de la curva es pequeña en todos sus
   puntos.
 5.La tensiòn T actùa tangente a la cuerda y su
   magnitud T es la misma en todos los puntos.
 6.La tensión es grande en comparación con la
   fuerza de gravedad.
7.No hay otras fuerzas externas actuando sobre la
   cuerda.

Bajo esas condiciones la ecuación unidimensional de
la cuerda está dada por:


                      ∂ 2u ∂ 2u
                    a2 2 = 2
                      ∂x   ∂t


PROBLEMA DE VALORES EN LA FRONTERA:

El desplazamiento vertical de la cuerda vibratoria de
longitud L se determina a partir del siguiente modelo:
            ∂2u   ∂2u
         a 2
                 = 2 , t>0 ∧ 0<x<L
            ∂x 2
                   ∂t
         u(0,t)=0, u(L,t)=0, t>0
                          ∂u
         u(x,0)=f(x),             = g( x )
                          ∂t t =0
Solución:
                u ( x, t ) = X ( x)T (t )
                  ∂ 2u                      ∂ 2u
                ⇒ 2 = X ´´( x)T (t ) ∧ 2 = X ( x)T ``(t )
                  ∂x                         ∂t
                ⇒ a 2 X ´´( x)T (t ) = X ( x )T ``(t )
                  X ´´( x) T ``(t )
                ⇒            = 2        = −λ 2
                   X ( x) a T (t )
                ⇒ X ´´( x ) + λ 2 X ( x) = 0 ∧ T ``(t ) + λ 2 a 2T (t ) = 0

Al determinar la solución de ambas ecuaciones
homogéneas, se tiene:
  X ( x ) = c1 cos ( λ x ) + c2 sen ( λ x ) ∧ T (t ) = c3 cos ( λ at ) + c4 sen ( λ at )
Puesto que:

u (0, t ) = 0 ⇒ X (0)T (t ) = 0 ⇒ X (0) = 0
u ( L, t ) = 0 ⇒ X ( L)T (t ) = 0 ⇒ X ( L) = 0


X (0) = 0 ⇒ c1 cos ( 0 ) + c2 sen ( 0 ) = 0 ⇒ c1 = 0 ⇒ X ( x) = c2 sen ( λ x )
                                                                                nπ
X ( L) = 0 ⇒ c2 sen ( λ L ) = 0 ⇒ sen ( λ L ) = 0 ⇒ λ L = nπ ⇒ λ =
                                                                                  L
                      nπ                        nπ                nπ 
⇒ X ( x ) = c2 sen        x  ∧ T (t ) = c3 cos      at  + c4 sen       at  , n ∈ lN
                       L                         L                 L 
                         nπ a               nπ a          nπ 
⇒ un ( x, t ) =  an cos        t  + bn sen       t   sen     x  , n ∈ lN
                           L                 L             L 
               +∞
                              nπ a             nπ a           nπ 
⇒ u ( x, t ) = ∑  an cos          t  + bn sen       t   sen       x
               n =1            L                L              L 
  ∂u +∞ nπ a                     nπ a              nπ a           nπ    
⇒      =∑               − an sen       t  + bn cos        t   sen       x
  ∂t n =1 L                     L                 L              L     
Reemplazando las condiciones en t=0, tenemos:
              
              
              u ( x, 0) = f ( x), x ∈ ( 0, L )
              
                            +∞
                                         nπ  
           1) ⇒ f ( x ) = ∑  an sen          x
                            n =1         L     
                           L
                                           nπ 
              ⇒ an = ∫ f ( x) sen 
                          2
                                               x  dx
              
                         L0              L 


               ∂u
               ∂t ( x, 0) = g ( x), x ∈ ( 0, L )
              
                            +∞
                                  nπ a         nπ  
              ⇒ g ( x ) = ∑  bn          sen      x
                           n =1     L         L 
           2) 
                      nπ a 2                   nπ 
                                   L
              ⇒ bn          = ∫ g ( x) sen        x  dx
                        L      L0               L 
              
              ⇒ b = 2 g ( x) sen  nπ x  dx
                                L


                          nπ a ∫
                   n                             
                               0            L 

Ecparciales

  • 1.
    ECUACIONES DIFERENCIALES EN DERIVADAS PARCIALES SEPARABLES ECUACIONES LINEALES: La forma general de una ecuación diferencial en derivadas parciales lineal de segundo orden (EDP) con dos variables independientes, x y y, es en donde A, B, C, . . . , G son funciones de x e y. Cuando G(x, y) = 0, la ecuación se llama homogénea; en cualquier otro caso es no homogénea. Ejemplo: ∂ 2u ∂ 2 u La ecuación − 2 + 2 −u = 0 es homogénea, mientras ∂x ∂y ∂ 2u ∂u que − 2+ = x2 es no homogénea. ∂x ∂y SOLUCIÓN DE UNA ECUACIÓN DIFERENCIAL PARCIAL: Una solución de una ecuación en derivadas parciales con dos variables independientes x e y, es una
  • 2.
    función u(x,y) queposee todas las derivadas parciales que indica la ecuación y que la satisface en alguna región del plano xy. SEPARACIÓN DE VARIABLES: El método de separación de variables consiste en buscar una solución particular en forma de un producto de una función de x por una función de y, como u ( x, y ) = X ( x)Y ( y ) ; esto posibilita convertir una ecuación en derivadas parciales, lineal con dos variables en dos ecuaciones diferenciales ordinarias. Si u ( x, y ) = X ( x)Y ( y ) se tiene: u ( x, y ) = X ( x )Y ( y )  ∂u  ∂x = X `( x)Y ( y )   ∂u = X ( x)Y `( y )  ∂y  ⇒ 2  ∂ u = X ``( x)Y ( y )  ∂x 2  2  ∂ u = X ( x)Y ``( y )  ∂y 2 
  • 3.
    PRINCIPIO DE SUPERPOSICIÓN Siu1 , u2 , u3 ,..., uk son soluciones de una ecuación en derivadas parciales lineal homogénea, entonces la combinación lineal: u = c1u1 + c2u2 + c3u3 + ... + ck uk / ci ∈ lR, i = 1, 2,..., k también es una solución. Si una ecuación diferencial parcial lineal homogénea tiene un conjunto infinito de soluciones u1 , u2 , u3 ,..., uk ,... , entonces se puede construir una solución u, formando la serie infinita +∞ u = ∑ cnun / ci ∈ lR, i = 1, 2,3,... n =1 EJEMPLOS: Determinar las soluciones producto de la siguiente ∂ 2u ∂u ecuación diferencial =4 . ∂x 2 ∂y Solución: u ( x, y ) = X ( x)Y ( y ) ∂ 2u ∂u ⇒ 2 = X ´´( x)Y ( y ) ∧ = X ( x)Y `( y ) ∂x ∂y ⇒ X ´´( x)Y ( y ) = 4 X ( x )Y `( y ) X ´´( x) Y `( y ) ⇒ = 4 X ( x) Y ( y )
  • 4.
    Puesto que ellado izquierdo de la última expresión es independiente de y e igual a una expresión que es independiente de x, entonces ambas expresiones son independientes de las dos variables; es decir, cada miembro de la ecuación debe ser una constante. X ´´( x) Y `( y ) CASO 1: = = λ2 4 X ( x) Y ( y ) X ´´( x) Y `( y ) = = λ2 4 X ( x) Y ( y ) ⇒ X ´´( x ) = λ 2 4 X ( x ) ∧ Y `( y ) = λ 2Y ( y ) ⇒ X ´´( x ) − λ 2 4 X ( x ) = 0 ∧ Y `( y ) − λ 2Y ( y ) = 0 Resolviendo estas ecuaciones diferenciales ordinarias tenemos: λ2 y X ( x) = c1 cosh(2λ x ) + c2 sen h(2λ x) ∧ Y ( y ) = c3e Entonces una solución particular de la ecuación es: 2 2 u ( x, y ) = A1 cosh(2λ x)eλ y + A2 sen h(2λ x)e λ y
  • 5.
    X ´´( x)Y `( y ) CASO 2: = = −λ 2 4 X ( x) Y ( y ) X ´´( x) Y `( y ) = = −λ 2 4 X ( x) Y ( y ) ⇒ X ´´( x ) = −λ 2 4 X ( x ) ∧ Y `( y ) = −λ 2Y ( y ) ⇒ X ´´( x ) + λ 2 4 X ( x ) = 0 ∧ Y `( y ) + λ 2Y ( y ) = 0 Resolviendo estas ecuaciones diferenciales ordinarias tenemos: 2 X ( x) = a1 cos(2λ x) + a2 sen(2λ x) ∧ Y ( y ) = a3e− λ y Entonces una solución particular de la ecuación es: 2 2 u ( x, y ) = B1 cos(2λ x)e− λ y + B2 sen(2λ x)e− λ y X ´´( x) Y `( y ) CASO 3: = =0 4 X ( x) Y ( y ) X ´´( x) Y `( y ) = =0 4 X ( x) Y ( y ) ⇒ X ´´( x ) = 0 ∧ Y `( y ) = 0 Resolviendo estas ecuaciones diferenciales ordinarias tenemos: X ( x) = b1 + b2 x ∧ Y ( y ) = b3 Entonces una solución particular de la ecuación es: u ( x, y ) = C1 + C2 x
  • 6.
    ECUACIONES CLÁSICAS YPROBLEMAS DE VALORES EN LA FRONTERA ECUACIÒN EN UNA DIMENSIÒN DEL CALOR: Sea una varilla delgada de longitud L y sección transversal A, la cual coincide con el eje X en el intervalo [0, L]. X 0 L Suponer que: 1.El flujo de calor dentro de la varilla solo tiene la dirección del eje X 2.La superficie lateral o curva de la varilla está aislada, es decir, no escapa calor de esa superficie. 3.No se genera calor dentro de la varilla 4. La varilla es homogénea, es decir su densidad es constante. 5.El calor específico y la conductividad térmica de la varilla son constantes.
  • 7.
    Bajo esas condicionesla ecuación que determina la variación de temperatura u(x.t) en la varilla está dada por: ∂ 2u ∂u k 2 = , k>0 ∂x ∂t donde k se denomina difusividad térmica. PROBLEMA DE VALORES EN LA FRONTERA: Una varilla delgada de longitud L tiene una temperatura inicial f(x) y sus extremos se mantienen a una temperatura 0 en todo momento. De ahí que este problema de valor en la frontera que determina la temperatura de la varilla será: ∂ 2u ∂u k 2 = , 0<x<L, t>0 ∂x ∂t u(0,t)=0 , u(L,t)=0, t>0 u(x,0)=f(x), 0<x<L
  • 8.
    Solución: u ( x, t ) = X ( x)T (t ) ∂ 2u ∂u ⇒ 2 = X ´´( x)T (t ) ∧ = X ( x)T `(t ) ∂x ∂t ⇒ kX ´´( x)T (t ) = X ( x)T `(t ) X ´´( x) T `(t ) ⇒ = = −λ 2 X ( x) kT (t ) ⇒ X ´´( x) + λ 2 X ( x) = 0 ∧ T `(t ) + λ 2 kT (t ) = 0 Al determinar la solución de ambas ecuaciones homogéneas, se tiene: X ( x) = c1 cos ( λ x ) + c2 sen ( λ x ) ∧ T (t ) = c3e − k λ t 2 Puesto que: u (0, t ) = 0 ⇒ X (0)T (t ) = 0 ⇒ X (0) = 0 u ( L, t ) = 0 ⇒ X ( L)T (t ) = 0 ⇒ X ( L) = 0 X (0) = 0 ⇒ c1 cos ( 0 ) + c2 sen ( 0 ) = 0 ⇒ c1 = 0 ⇒ X ( x ) = c2 sen ( λ x ) nπ X ( L) = 0 ⇒ c2 sen ( λ L ) = 0 ⇒ sen ( λ L ) = 0 ⇒ λ L = nπ ⇒ λ = L 2  nπ   nπ  −k  t ⇒ X ( x ) = c2 sen  x  ∧ T (t ) = c3e  L  , n ∈ lN  L  2  nπ  −k   t  nπ  ⇒ un ( x, t ) = bn e  L  x  , n ∈ lN sen   L  +∞   nπ   2  nπ  −k  t ⇒ u ( x, t ) = ∑  bn e  L  sen  x   L  n =1  
  • 9.
    Reemplazando la condición u ( x, 0) = f ( x), x ∈ ( 0, L ) , se +∞   nπ  tiene que f ( x) = ∑  bn sen  x , siendo esta expresión n =1   L  el desarrollo de f en una serie de senos de mitad de intervalo, donde  nπ L 2  bn = ∫ f ( x ) sen  x  dx L0  L  2   2  nπ   nπ   −k L  t  nπ +∞ L ⇒ u ( x, t ) = ∑   ∫ f ( x) sen  x  dx  e   sen  x L n =1   0  L    L   
  • 10.
    ECUACIÒN ONDA UNIDIMENSIONAL: Seauna cuerda de longitud L que se encuentra tensa entre dos puntos del eje X, estos pueden ser x=0 y x=L. X 0 L Considerar que la cuerda tiene movimiento de manera perpendicular al eje X de manera tal que u(x,t) representará el desplazamiento vertical de cualquier punto de la cuerda. Además se supone que: 1.La cuerda es perfectamente flexible 2.La cuerda es homogénea, es decir su densidad es constante. 3.Los desplazamientos u(x,t) son pequeños en comparación con la longitud de la cuerda. 4.La pendiente de la curva es pequeña en todos sus puntos. 5.La tensiòn T actùa tangente a la cuerda y su magnitud T es la misma en todos los puntos. 6.La tensión es grande en comparación con la fuerza de gravedad.
  • 11.
    7.No hay otrasfuerzas externas actuando sobre la cuerda. Bajo esas condiciones la ecuación unidimensional de la cuerda está dada por: ∂ 2u ∂ 2u a2 2 = 2 ∂x ∂t PROBLEMA DE VALORES EN LA FRONTERA: El desplazamiento vertical de la cuerda vibratoria de longitud L se determina a partir del siguiente modelo: ∂2u ∂2u a 2 = 2 , t>0 ∧ 0<x<L ∂x 2 ∂t u(0,t)=0, u(L,t)=0, t>0 ∂u u(x,0)=f(x), = g( x ) ∂t t =0
  • 12.
    Solución: u ( x, t ) = X ( x)T (t ) ∂ 2u ∂ 2u ⇒ 2 = X ´´( x)T (t ) ∧ 2 = X ( x)T ``(t ) ∂x ∂t ⇒ a 2 X ´´( x)T (t ) = X ( x )T ``(t ) X ´´( x) T ``(t ) ⇒ = 2 = −λ 2 X ( x) a T (t ) ⇒ X ´´( x ) + λ 2 X ( x) = 0 ∧ T ``(t ) + λ 2 a 2T (t ) = 0 Al determinar la solución de ambas ecuaciones homogéneas, se tiene: X ( x ) = c1 cos ( λ x ) + c2 sen ( λ x ) ∧ T (t ) = c3 cos ( λ at ) + c4 sen ( λ at ) Puesto que: u (0, t ) = 0 ⇒ X (0)T (t ) = 0 ⇒ X (0) = 0 u ( L, t ) = 0 ⇒ X ( L)T (t ) = 0 ⇒ X ( L) = 0 X (0) = 0 ⇒ c1 cos ( 0 ) + c2 sen ( 0 ) = 0 ⇒ c1 = 0 ⇒ X ( x) = c2 sen ( λ x ) nπ X ( L) = 0 ⇒ c2 sen ( λ L ) = 0 ⇒ sen ( λ L ) = 0 ⇒ λ L = nπ ⇒ λ = L  nπ   nπ   nπ  ⇒ X ( x ) = c2 sen  x  ∧ T (t ) = c3 cos  at  + c4 sen  at  , n ∈ lN  L   L   L    nπ a   nπ a    nπ  ⇒ un ( x, t ) =  an cos  t  + bn sen  t   sen  x  , n ∈ lN   L   L   L  +∞   nπ a   nπ a    nπ  ⇒ u ( x, t ) = ∑  an cos  t  + bn sen  t   sen  x n =1   L   L   L  ∂u +∞ nπ a   nπ a   nπ a    nπ  ⇒ =∑ − an sen  t  + bn cos  t   sen  x ∂t n =1 L    L   L   L 
  • 13.
    Reemplazando las condicionesen t=0, tenemos:   u ( x, 0) = f ( x), x ∈ ( 0, L )   +∞   nπ   1) ⇒ f ( x ) = ∑  an sen  x  n =1   L    L nπ  ⇒ an = ∫ f ( x) sen  2  x  dx   L0  L   ∂u  ∂t ( x, 0) = g ( x), x ∈ ( 0, L )   +∞  nπ a  nπ   ⇒ g ( x ) = ∑  bn sen  x  n =1  L  L  2)  nπ a 2  nπ  L ⇒ bn = ∫ g ( x) sen  x  dx  L L0  L   ⇒ b = 2 g ( x) sen  nπ x  dx L nπ a ∫  n    0  L 