ESCUELA DE CIENCIAS Y PROCESOS
AGROPECUARIOS INDUSTRIALES
ISTMO- COSTA CAMPUS IX, ARRIAGA, CHIAPAS
ARR
MATERIA: INOCUIDAD DE PRODUCTOS LACTEOS
CATEDRATICO (A): I.B.Q. HUGO ENRIQUE PIMENTEL MAZA
ALUMNO(A):
NOLASCO ANTONIO ARLETH
RODAS RAMIREZ IRIS PAOLA
RUIZ MADRIGAL JULIO CESAR
ARRIAGA, CHIAPAS A 09 DE OCTUBRE DE 2017
“POR LA CONCIENCIA DE LA NECESIDAD DE SERVIR”
“ANALISIS FISICOQUIMICO DE
LECHE BRONCA Y UHT”
Introducción
La calidad de la leche comercial y sus derivados elaborados en una industria
láctea, depende directamente de la calidad del producto original es decir de la
calidad de la leche bronca, esto proviene de las zonas de producción, y de las
condiciones del transporte, conservación y la manipulación hasta la planta. Por lo
tanto, el éxito y buen nombre de la industria y en última estancia la calidad del
producto que llega al consumidor, dependen del control que se lleve sobre la leche
cruda.
En el presente reporte se explica la realización de las pruebas más comunes
dentro de la industria láctea con el propósito de establecer la calidad sanitaria.
Estas pruebas pueden realizarse tanto en campo, como en la planta procesadora:
tal sería el caso de la determinación de temperatura, análisis sensorial, densidad
de la leche, determinación de grados Brix (ºBx), acidez de la leche (pH).
Con la realización de estas pruebas se puede determinar si una leche es apta o no
para consumo humano y si es aceptable dentro de las industrias lácteas, esto con
el fin de evitar que se dañe la leche de buena calidad al mezclarse en camiones
cisternas o en los tanques de almacenamiento.
Acidez titulable, prueba de estabilidad al calor, prueba de estabilidad al alcohol,
estas pruebas son realizadas dentro de un laboratorio con el objetivo de
determinar leches sospechosas o en ocasiones solo como técnicas de rutina sobre
el control de la leche.
Objetivos
 Analizar la importancia del control de calidad de la leche cruda como
materia prima en la industria láctea.
 Reconocer las pruebas que determinan la aceptación o rechazo de la leche
bronca en la industria láctea.
 Aplicar las pruebas utilizadas para determinar indirectamente la calidad
sanitaria de la leche cruda.
Materiales
1 termómetro
1 potenciómetro
1 lactodensímetro
4 vasos de precipitado de 250 ml
1 probeta de 250 ml
1 soporte universal completo
1 bureta
1 pipeta de 10 ml
2 tubos de ensaye
1 pinza de 3 dedos
1 refractómetro
1 gradilla
1 pinza para tubo de ensaye
2 vasos de precipitado de 100 ml
Reactivos
NaOH (Hidróxido de sodio) al 0.1 N
Fenolftaleína
Alcohol de 96º
Diagramas de bloques
Medición de la temperatura
Procedimiento
1. Depositar 240 ml de la muestra a analizar en la probeta de 250 ml.
2. Sumergir el bulbo del termómetro, manteniendo este en posición inclinada,
de tal manera que se observe la escala del mercurio.
3. Leer la temperatura según el ascenso de la columna de mercurio (mantener
el bulbo del termómetro dentro de la leche durante la lectura).
Comparación de resultadosmarcas comerciales
Marca Temperatura (Tº)
Lala 32º C
Alpura 29ºC
Nutri leche 31ºC
Great value 27ºC
Comparación de resultadosleche bronca
Lugar Temperatura (Tº)
Nicolás Bravo, Arriaga 31ºC
Tonalá 30ºC
Zapata, Arriaga 28ºC
Pijijiapan 29ºC
Medición de PH
Procedimiento
1. En el vaso de precipitados de 100 ml colocar 80 ml de cada muestra, es
decir de leche comercial y de leche bronca.
2. Introducir el electrodo del pHmetro previamente calibrado, en cada una de
las muestras.
3. Registrar los datos obtenidos en la tabla de resultados.
4. Limpiar el electrodo del pHmetro con una servilleta (con cuidado).
5. Si ya se terminó de usar el pHmetro guardarlo.
Resultados marcascomerciales (leche ultra pasteurizada)
Marca Ph
Lala 6.24
Alpura 6.31
Nutri leche 6.53
Great value 6.35
Resultados de leche broncade distintos municipios
Lugar Ph
Nicolás Bravo 6.36
Tonalá 6.41
Zapata 6.30
Pijijiapan 5.82
Como se puede observar en las tablas de resultados, hay una leche que se podría
considerar acida debido a que su pH es menor a 6.5 y cuando hay un resultado
menor a este se considera acido, también se observa que hay leches de marcas
comerciales que son ligeramente acidas, ya que son decimas las que les hacen
falta para poder considerarse como sustancias básicas.
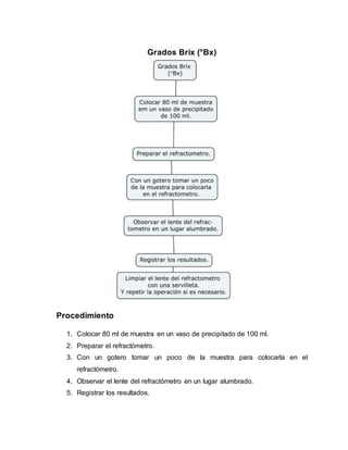
Grados Brix (°Bx)
Procedimiento
1. Colocar 80 ml de muestra en un vaso de precipitado de 100 ml.
2. Preparar el refractómetro.
3. Con un gotero tomar un poco de la muestra para colocarla en el
refractómetro.
4. Observar el lente del refractómetro en un lugar alumbrado.
5. Registrar los resultados.
6. Limpiar el lente del refractómetro con una servilleta y repetir la operación si
es necesario.
Comparación de resultados marcas comerciales
Marca °Bx
Lala 12.0
Alpura 11.5
Nutri leche 13.8
Great value 11.8
Comparación de resultados leche bronca
Lugar °Bx
Nicolás bravo 9.0
Tonalá 8.8
Zapata 9.6
Pijijiapan 9.5
Fig.1 Refractómetro digital
con lecturade la leche de
Pijijiapan.
Determinación de densidad de la leche
Procedimiento
1. Poner 240 ml de muestra en la probeta.
2. Con cuidado, introducir el lactodensímetro.
3. Deja flotar el aparato y leer la densidad, al ras del borde de la probeta.
4. Registrar la densidad.
5. Aplicar la fórmula para obtener la densidad.
Factor de conversión por temperatura de la densidad de la
leche
Marca comercial Lala
T°= 32° C
Densidad de la leche= 0.27
Densidad del agua= 1
32° C – 15° C= 17° C
17 ° C ×0.2= 3.4=3, factor de conversión= 1.030
Comparación de resultados lechescomerciales
Marca Densidad real
Lala 1.030
Alpura 1.032
Nutri leche 1.030
Great value 1.029
Leche bronca
T°= 29° C
Densidad de la leche= 0.26
Densidad del agua= 1
29°C – 15° C= 14° C
14° C ×0.2=2.8=3, factor de conversión= 1.029
Lugar Densidad
Nicolás Bravo 1.031
Tonalá 1.028
Zapata 1.027
Pijijiapan 1.029
Prueba de acidez Titulable
Procedimiento
1. Armar el soporte universal.
2. Disponer la bureta en el soporte universal.
3. Cargar la bureta con NaOH, 0.1 N.
4. Agitar bien la leche, tomar una muestra de 9 ml y colocarla en un vaso de
precipitados de 100 ml.
5. Agregar 3 gotas de fenolftaleína.
6. Titular la leche con la solución de NaOH, 0.1 N, gota a gota, hasta la
aparición de un color rosa pálido.
7. Registrar el gasto de NaOH, en mililitros.
8. Multiplicar ese gasto por 10; este será el número de grados Dornic de
acidez de la muestra.
Comparación de resultadosmarcas comerciales
Marca Acidez Titulable °D
Lala 29°D
Alpura 30°D
Nutri leche 21°D
Great value 25°D
Comparación de resultadosleche bronca
Lugar Acidez Titulable °D
Nicolás Bravo 37°D
Tonalá 34°D
Zapata, Arriaga 30°D
Pijijiapan 36°D
Fig.3 Muestracon
coloración, para la
determinaciónde acidez.
Fig.2 Añadiendoala
muestragotasde Hidróxido
de Sodioal 0.1N
Prueba de estabilidad al calor
Procedimiento
1. En un tubo de ensayo colocar 3 ml de leche.
2. Tomar el tubo con una pinza.
3. Poner el tubo en la flama del mechero por 20 segundos.
4. Retirar el tubo y observar la formación de un precipitado blanco.
5. Si se forma el floculo, la prueba es positiva.
6. Registrar los resultados.
Resultados
Leche bronca del municipio de Pijijiapan: Positiva- no apta para consumo
humano, debido a que presenta desnaturalización de proteínas.
Leche UHT Lala: Negativa, si es apta para consumo humano aun después de 7
días que se abrió el envase y se guardó a baja temperatura.
Prueba de estabilidad al Alcohol
Fig.4 Muestrasometidaa
altastemperaturas.
Procedimiento
1. Colocar 3 ml de leche en cada tubo de ensayo (2 tubos para cada muestra).
2. Añadir 3 ml de alcohol al 68% y al 72%.
3. Agitar con ligeros golpes el tubo.
4. Inclinar el tubo (ponerlo a unos 20 grados con respecto a una línea
horizontal) y observar si existen pequeños flóculos de caseína.
5. Anotar los resultados.
Comparación de resultados
Marca o Lugar 68% alcohol 72% alcohol
Lala Negativo, no hubo
precipitación de caseína.
Negativo, no hubo
precipitación de caseína.
Alpura Negativo Negativo
Nicolás Bravo Positiva Positiva
Pijijiapan Positiva Positiva
La diferencia en los resultados se debe a que las leches ultra pasteurizadas tienen
ya un tratamiento y por eso son ya aptas para el consumo humano y no les ocurre
nada en cuanto a desnaturalización de proteínas debido a que las contienen de
manera mínima, es decir todo lo contrario a la leche bronca debido a que se
denomina así porque aún no ha tenido un tratamiento el cual la haga apta para el
consumo humano y tiene al todo su contenido de proteínas, es por eso que en
estas muestras encontramos precipitación de caseína.
Conclusión
Con la realización de esta práctica pude darme
cuenta de la importancia que tienen las pruebas de plataforma o fisicoquímicas
que se le tienen que hacer a la leche ya sea UHT o leche bronca antes del
consumo, ya que cuando se desconoce de los resultados de estas, en ocasiones
consumimos leche contaminada, la cual es causa de muchas enfermedades, o
nos puedan provocar reacciones alérgicas, pero claro si somos productores de
esta materia prima es importante saber la calidad del producto que estamos
vendiendo a la industria.
Si se vende una materia prima de calidad es clave
para obtener un productor derivado en este caso sería cualquier variedad de
quesos, crema, yogurt, etc… de excelente calidad y sobre todo que no atenta
contra la salud del consumidor. También es bueno saber que nos indica cada
resultado positivo dentro de cada prueba realizada a la muestra de leche tomada,
dentro de esta práctica pude aprender eso ya que desconocía que nos indicaba un
resultado positivo dentro de la prueba de acidez titulable, o de la prueba de
alcohol. Esta práctica me sirvió
para aclarar las dudas correspondientes con este tema y para adquirir
conocimientos nuevos.
Arleth Nolasco Antonio
En la presente practica aprendí a determinar la calidad de la leche mediante
un análisis fisicoquímico realizando pruebas de plataforma por razón de que
durante un proceso de transformación en las leches se lleva a cabo un sinfín de
procesos, ya que no todas las leches son de la misma calidad debido a que las
fabricas tienen diferentes métodos de procesos que destacan notablemente con
las propiedades fisicoquímicas revelando su estado de frescura, su evolución y la
condición de estabilidad ante un posible tratamiento de trasformación tales como
lo son la pasteurización, la ultra pasteurización, o su conversión en derivados
lácteos.
La importancia de realizar pruebas de plataforma como ingeniero
agroindustrial es para saber si la leche es o no apta para consumo humano, su
calidad y si esta se encuentra adulterada y en base a los resultados obtenidos
tomar decisiones del siguiente proceso al que debo someter la materia prima.
Iris Paola Rodas Ramírez
Con la elaboración de esta práctica comprendí para que sirven las pruebas
de plataforma en la leche, ya que estas determinan si son o no aptas para el
consumo humano ya sea por la calidad de la leche, ya sea si es completamente
pura o si esta adulterada por alguna sustancia y este altere sus propiedades
físicas o químicas, así mismo obtenidos resultados esperados en las muestras de
leche ultra pasteurizada que ocupamos ya que estas si estaban dentro de nuestro
parámetro, aunque nos dimos cuenta que aquellas muestras que en empaque
decía que ya tenía más de un proceso de pasteurización, se encontraba con una
mayor acidez.
La leche bronca por lo general era variable en los resultados y por lo
general fuera de los parámetros que manejábamos, a excepción de la densidad de
la leche que esta si esta fuera del margen se concluye que la leche esta alterada,
pero no fue el caso, como esta muestras no están estandarizados y no han
pasado por ningún proceso para corregir los factores que interesan en la leche, se
concluye diciendo que la leche bronca que se trajeron en las muestras por equipo
no estaban alteradas o modificadas de alguna manera y mostraban parámetros
normales para una leche que estaba sin llevar un proceso, así esta práctica me
ayudo a comprender que factores sirven para reconocer una leche de calidad y
que sea apta para el consumo humano.
Julio Cesar Ruiz Madrigal

Practica #1 Pruebas de plataforma en la leche

  • 1.
    ESCUELA DE CIENCIASY PROCESOS AGROPECUARIOS INDUSTRIALES ISTMO- COSTA CAMPUS IX, ARRIAGA, CHIAPAS ARR MATERIA: INOCUIDAD DE PRODUCTOS LACTEOS CATEDRATICO (A): I.B.Q. HUGO ENRIQUE PIMENTEL MAZA ALUMNO(A): NOLASCO ANTONIO ARLETH RODAS RAMIREZ IRIS PAOLA RUIZ MADRIGAL JULIO CESAR ARRIAGA, CHIAPAS A 09 DE OCTUBRE DE 2017 “POR LA CONCIENCIA DE LA NECESIDAD DE SERVIR” “ANALISIS FISICOQUIMICO DE LECHE BRONCA Y UHT”
  • 2.
    Introducción La calidad dela leche comercial y sus derivados elaborados en una industria láctea, depende directamente de la calidad del producto original es decir de la calidad de la leche bronca, esto proviene de las zonas de producción, y de las condiciones del transporte, conservación y la manipulación hasta la planta. Por lo tanto, el éxito y buen nombre de la industria y en última estancia la calidad del producto que llega al consumidor, dependen del control que se lleve sobre la leche cruda. En el presente reporte se explica la realización de las pruebas más comunes dentro de la industria láctea con el propósito de establecer la calidad sanitaria. Estas pruebas pueden realizarse tanto en campo, como en la planta procesadora: tal sería el caso de la determinación de temperatura, análisis sensorial, densidad de la leche, determinación de grados Brix (ºBx), acidez de la leche (pH). Con la realización de estas pruebas se puede determinar si una leche es apta o no para consumo humano y si es aceptable dentro de las industrias lácteas, esto con el fin de evitar que se dañe la leche de buena calidad al mezclarse en camiones cisternas o en los tanques de almacenamiento. Acidez titulable, prueba de estabilidad al calor, prueba de estabilidad al alcohol, estas pruebas son realizadas dentro de un laboratorio con el objetivo de determinar leches sospechosas o en ocasiones solo como técnicas de rutina sobre el control de la leche.
  • 3.
    Objetivos  Analizar laimportancia del control de calidad de la leche cruda como materia prima en la industria láctea.  Reconocer las pruebas que determinan la aceptación o rechazo de la leche bronca en la industria láctea.  Aplicar las pruebas utilizadas para determinar indirectamente la calidad sanitaria de la leche cruda. Materiales 1 termómetro 1 potenciómetro 1 lactodensímetro 4 vasos de precipitado de 250 ml 1 probeta de 250 ml 1 soporte universal completo 1 bureta 1 pipeta de 10 ml 2 tubos de ensaye 1 pinza de 3 dedos 1 refractómetro 1 gradilla 1 pinza para tubo de ensaye 2 vasos de precipitado de 100 ml Reactivos NaOH (Hidróxido de sodio) al 0.1 N Fenolftaleína Alcohol de 96º
  • 4.
    Diagramas de bloques Mediciónde la temperatura Procedimiento 1. Depositar 240 ml de la muestra a analizar en la probeta de 250 ml. 2. Sumergir el bulbo del termómetro, manteniendo este en posición inclinada, de tal manera que se observe la escala del mercurio. 3. Leer la temperatura según el ascenso de la columna de mercurio (mantener el bulbo del termómetro dentro de la leche durante la lectura).
  • 5.
    Comparación de resultadosmarcascomerciales Marca Temperatura (Tº) Lala 32º C Alpura 29ºC Nutri leche 31ºC Great value 27ºC Comparación de resultadosleche bronca Lugar Temperatura (Tº) Nicolás Bravo, Arriaga 31ºC Tonalá 30ºC Zapata, Arriaga 28ºC Pijijiapan 29ºC
  • 6.
    Medición de PH Procedimiento 1.En el vaso de precipitados de 100 ml colocar 80 ml de cada muestra, es decir de leche comercial y de leche bronca. 2. Introducir el electrodo del pHmetro previamente calibrado, en cada una de las muestras. 3. Registrar los datos obtenidos en la tabla de resultados. 4. Limpiar el electrodo del pHmetro con una servilleta (con cuidado). 5. Si ya se terminó de usar el pHmetro guardarlo.
  • 7.
    Resultados marcascomerciales (lecheultra pasteurizada) Marca Ph Lala 6.24 Alpura 6.31 Nutri leche 6.53 Great value 6.35 Resultados de leche broncade distintos municipios Lugar Ph Nicolás Bravo 6.36 Tonalá 6.41 Zapata 6.30 Pijijiapan 5.82 Como se puede observar en las tablas de resultados, hay una leche que se podría considerar acida debido a que su pH es menor a 6.5 y cuando hay un resultado menor a este se considera acido, también se observa que hay leches de marcas comerciales que son ligeramente acidas, ya que son decimas las que les hacen falta para poder considerarse como sustancias básicas.
  • 8.
    Grados Brix (°Bx) Procedimiento 1.Colocar 80 ml de muestra en un vaso de precipitado de 100 ml. 2. Preparar el refractómetro. 3. Con un gotero tomar un poco de la muestra para colocarla en el refractómetro. 4. Observar el lente del refractómetro en un lugar alumbrado. 5. Registrar los resultados.
  • 9.
    6. Limpiar ellente del refractómetro con una servilleta y repetir la operación si es necesario. Comparación de resultados marcas comerciales Marca °Bx Lala 12.0 Alpura 11.5 Nutri leche 13.8 Great value 11.8 Comparación de resultados leche bronca Lugar °Bx Nicolás bravo 9.0 Tonalá 8.8 Zapata 9.6 Pijijiapan 9.5 Fig.1 Refractómetro digital con lecturade la leche de Pijijiapan.
  • 10.
    Determinación de densidadde la leche Procedimiento 1. Poner 240 ml de muestra en la probeta. 2. Con cuidado, introducir el lactodensímetro. 3. Deja flotar el aparato y leer la densidad, al ras del borde de la probeta. 4. Registrar la densidad. 5. Aplicar la fórmula para obtener la densidad.
  • 11.
    Factor de conversiónpor temperatura de la densidad de la leche Marca comercial Lala T°= 32° C Densidad de la leche= 0.27 Densidad del agua= 1 32° C – 15° C= 17° C 17 ° C ×0.2= 3.4=3, factor de conversión= 1.030 Comparación de resultados lechescomerciales Marca Densidad real Lala 1.030 Alpura 1.032 Nutri leche 1.030 Great value 1.029 Leche bronca T°= 29° C Densidad de la leche= 0.26 Densidad del agua= 1 29°C – 15° C= 14° C 14° C ×0.2=2.8=3, factor de conversión= 1.029 Lugar Densidad Nicolás Bravo 1.031 Tonalá 1.028 Zapata 1.027 Pijijiapan 1.029
  • 12.
    Prueba de acidezTitulable Procedimiento 1. Armar el soporte universal. 2. Disponer la bureta en el soporte universal. 3. Cargar la bureta con NaOH, 0.1 N. 4. Agitar bien la leche, tomar una muestra de 9 ml y colocarla en un vaso de precipitados de 100 ml. 5. Agregar 3 gotas de fenolftaleína. 6. Titular la leche con la solución de NaOH, 0.1 N, gota a gota, hasta la aparición de un color rosa pálido. 7. Registrar el gasto de NaOH, en mililitros. 8. Multiplicar ese gasto por 10; este será el número de grados Dornic de acidez de la muestra.
  • 13.
    Comparación de resultadosmarcascomerciales Marca Acidez Titulable °D Lala 29°D Alpura 30°D Nutri leche 21°D Great value 25°D Comparación de resultadosleche bronca Lugar Acidez Titulable °D Nicolás Bravo 37°D Tonalá 34°D Zapata, Arriaga 30°D Pijijiapan 36°D Fig.3 Muestracon coloración, para la determinaciónde acidez. Fig.2 Añadiendoala muestragotasde Hidróxido de Sodioal 0.1N
  • 14.
    Prueba de estabilidadal calor Procedimiento 1. En un tubo de ensayo colocar 3 ml de leche. 2. Tomar el tubo con una pinza. 3. Poner el tubo en la flama del mechero por 20 segundos. 4. Retirar el tubo y observar la formación de un precipitado blanco. 5. Si se forma el floculo, la prueba es positiva. 6. Registrar los resultados. Resultados Leche bronca del municipio de Pijijiapan: Positiva- no apta para consumo humano, debido a que presenta desnaturalización de proteínas. Leche UHT Lala: Negativa, si es apta para consumo humano aun después de 7 días que se abrió el envase y se guardó a baja temperatura.
  • 15.
    Prueba de estabilidadal Alcohol Fig.4 Muestrasometidaa altastemperaturas.
  • 16.
    Procedimiento 1. Colocar 3ml de leche en cada tubo de ensayo (2 tubos para cada muestra). 2. Añadir 3 ml de alcohol al 68% y al 72%. 3. Agitar con ligeros golpes el tubo. 4. Inclinar el tubo (ponerlo a unos 20 grados con respecto a una línea horizontal) y observar si existen pequeños flóculos de caseína. 5. Anotar los resultados. Comparación de resultados Marca o Lugar 68% alcohol 72% alcohol Lala Negativo, no hubo precipitación de caseína. Negativo, no hubo precipitación de caseína. Alpura Negativo Negativo Nicolás Bravo Positiva Positiva Pijijiapan Positiva Positiva La diferencia en los resultados se debe a que las leches ultra pasteurizadas tienen ya un tratamiento y por eso son ya aptas para el consumo humano y no les ocurre nada en cuanto a desnaturalización de proteínas debido a que las contienen de manera mínima, es decir todo lo contrario a la leche bronca debido a que se denomina así porque aún no ha tenido un tratamiento el cual la haga apta para el consumo humano y tiene al todo su contenido de proteínas, es por eso que en estas muestras encontramos precipitación de caseína.
  • 17.
    Conclusión Con la realizaciónde esta práctica pude darme cuenta de la importancia que tienen las pruebas de plataforma o fisicoquímicas que se le tienen que hacer a la leche ya sea UHT o leche bronca antes del consumo, ya que cuando se desconoce de los resultados de estas, en ocasiones consumimos leche contaminada, la cual es causa de muchas enfermedades, o nos puedan provocar reacciones alérgicas, pero claro si somos productores de esta materia prima es importante saber la calidad del producto que estamos vendiendo a la industria. Si se vende una materia prima de calidad es clave para obtener un productor derivado en este caso sería cualquier variedad de quesos, crema, yogurt, etc… de excelente calidad y sobre todo que no atenta contra la salud del consumidor. También es bueno saber que nos indica cada resultado positivo dentro de cada prueba realizada a la muestra de leche tomada, dentro de esta práctica pude aprender eso ya que desconocía que nos indicaba un resultado positivo dentro de la prueba de acidez titulable, o de la prueba de alcohol. Esta práctica me sirvió para aclarar las dudas correspondientes con este tema y para adquirir conocimientos nuevos. Arleth Nolasco Antonio
  • 18.
    En la presentepractica aprendí a determinar la calidad de la leche mediante un análisis fisicoquímico realizando pruebas de plataforma por razón de que durante un proceso de transformación en las leches se lleva a cabo un sinfín de procesos, ya que no todas las leches son de la misma calidad debido a que las fabricas tienen diferentes métodos de procesos que destacan notablemente con las propiedades fisicoquímicas revelando su estado de frescura, su evolución y la condición de estabilidad ante un posible tratamiento de trasformación tales como lo son la pasteurización, la ultra pasteurización, o su conversión en derivados lácteos. La importancia de realizar pruebas de plataforma como ingeniero agroindustrial es para saber si la leche es o no apta para consumo humano, su calidad y si esta se encuentra adulterada y en base a los resultados obtenidos tomar decisiones del siguiente proceso al que debo someter la materia prima. Iris Paola Rodas Ramírez
  • 19.
    Con la elaboraciónde esta práctica comprendí para que sirven las pruebas de plataforma en la leche, ya que estas determinan si son o no aptas para el consumo humano ya sea por la calidad de la leche, ya sea si es completamente pura o si esta adulterada por alguna sustancia y este altere sus propiedades físicas o químicas, así mismo obtenidos resultados esperados en las muestras de leche ultra pasteurizada que ocupamos ya que estas si estaban dentro de nuestro parámetro, aunque nos dimos cuenta que aquellas muestras que en empaque decía que ya tenía más de un proceso de pasteurización, se encontraba con una mayor acidez. La leche bronca por lo general era variable en los resultados y por lo general fuera de los parámetros que manejábamos, a excepción de la densidad de la leche que esta si esta fuera del margen se concluye que la leche esta alterada, pero no fue el caso, como esta muestras no están estandarizados y no han pasado por ningún proceso para corregir los factores que interesan en la leche, se concluye diciendo que la leche bronca que se trajeron en las muestras por equipo no estaban alteradas o modificadas de alguna manera y mostraban parámetros normales para una leche que estaba sin llevar un proceso, así esta práctica me ayudo a comprender que factores sirven para reconocer una leche de calidad y que sea apta para el consumo humano. Julio Cesar Ruiz Madrigal