FORMATO PARA LA PRESENTACION DE PROYECTOS PEDAGOGICOS DE
AULA CON TIC.

DENOMINACIÓN DEL PROYECTO: FUNCIONES QUIMICAS Y LUDICA
Curso:
Participantes:

Grado

10

Estudiantes y docente de química
Duración:
12 hrs
I. PLANIFICACIÓN
Justificación:
JUSTIFICACION

La forma tradicional como la química ha sido presentada a los estudiantes de la enseñanza básica
En general no ha estimulado a los alumnos a interactuar con su objeto de estudio y solo les ha
permitido
Percibir esa asignatura como una ciencia de difícil comprensión y su estudio restricto a la
memorización,( Departamento de Ciencias Exactas, Universida.
de Estadual de Feira de Santana, Brasil

Sin introducir ningún componente de placer. Este trabajo tuvo como objetivo facilitar el estudio de las
Funciones químicas para estudiantes de la enseñanza media de la institución educativa san Simón, De
san Andrés de sotavento a través
Del uso de juegos didácticos. El “domino químico" introduce la secuencia de un juegos haciendo la
Correlación entre el nombre y la fórmula de los compuestos inorgánicos. El dominó químico trabaja la
Asociación entre la fórmula y la función química. El juego los ayuda identificar compuestos
Que son de la misma función química. Los testes preliminares mostraron que el uso del ambiente
lúdicro
Favorece la discusión del tema permitiendo la interacción entre los alumnos y de estos con el profesor.
Fue observado que a pesar que el conjunto de juegos no permite la adquisición de todo el conocimiento
Asociado a las funciones inorgánicas, es capaz de despertar el interés por este mundo nuevo de
fórmulas
Y nombres de una manera más apacible, haciendo con que su estudio pueda contar con el uso de
trabajos
De grupo, facilitando el aprendizaje, estimulando la cooperación y la socialización de conocimientos y
valores de solidaridad y ,cooperación
Pregunta de investigación
De: ¿que forma las funciones químicas inorgánicas se pueden aprender de manera y amena significativa?
Exploración previa
1) Como se unen los elementos para formar compuestos..
2) Como se distinguen los compuestos
3) Que elementos permiten distinguir las funciones químicas de los diferentes compuestos.
4) Como se forman los compuestos de las diferentes funciones químicas
Objetivos del proyecto
Objetivo General: Aprender la química inorgánica de las funciones químicas por medio de la lúdica y recreación en la
I.ES.S
Objetivos específicos :Fabricar un juego de domino usando las funciones químicas.
Realizar un torneo de domino en el que se aprendan las funciones químicas jugando.
Aplicar las reacciones de formación de compuestos usando una ficha de domino.

Competencias
Interpretativa: en el aspecto analítico de las sustancias
Argumentativa: Demostrar poseer y comprender conocimientos en el área de la Química a partir de las
funciones químicas
Planteamiento de hipótesis Tener la capacidad de reunir e interpretar datos relevantes, dentro del área
de la Química, para predecir los resultados obtenidos
Temática a estudiar
FUNCIONES QUIMICAS INORGANICAS.
Referentes conceptuales:
LO LÚDICRO COMO ESTRATEGIA DIDÁCTICA PARA EL
APRENDIZAJE DE LAS FUNCIONES DE QUÍMICA
INORGÁNICA EN LA ENSEÑANZA MEDIA EN
FEIRA DE SANTANA, BRASIL Dra. María de F. Mendes Paixão, Dra. Heiddy Márquez Álvarez,
Débora de Matos Alves, Alana R. de Sonza Leite

En el contexto de aprendizaje de la Química de acuerdo a la perspectiva de los alumnos
éste se identifica con actividades tediosas y aburridas, hasta poco interesantes. La
actividad lúdica resulta importante como factor útil en el desarrollo del alumno, de su
inteligencia, de su deseo de experimentación, de su socialización y como factor
pedagógico muy eficaz que interesa a los alumnos en actividades correspondientes a los
contenidos curriculares que tradicionalmente se presentan como aburridos, difíciles y
desagradables. Mediante las actividades lúdicas en Química se pretende dejar atrás el
aprendizaje memorístico que no les ayuda para llevar lo aprendido a la aplicación en la
vida cotidiana, con éstas actividades aumenta el interés a participar del conocimiento
pues logran hacerlo significativo.

SELECCIÓN DE ESTRATEGIAS PARA LA ENSEÑANZA DE LA
QUÍMICA BASICA EN EL SISTEMA NACIONAL DE BACHILLERATO
DESDE UNA PERSPECTIVA LUDICA Ruth Álvarez Feregrino
CECyT N°2 “Miguel Bernard Perales”
Recursos didácticos
.
Libretas de apuntes, tabla periodica, cámara, papel carton industrial,
Recursos digitales
Indique los recursos digitales a utilizar y la forma como serán empleados en el proyecto.
Offline: video de youtube,( Nomenclatura de compuestos quimicos inorganicos.mp4
http://www.serviprofer.com.ve) QUIMICA Inorganica 01 HIDRUROS oxidos SALES BINARIAS peroxidos
unicoos (youtube)
QUIMICA Inorganica - Acidos unicoos formulacion (YOUTUBE)
www.fullquimica.com/2011/.../nomenclatura-quimica-inorganica., www.slideshare.net/jomiespa/funcionesquimicas-inorganicas LA TIZA VIRTUAL.ORG

Online: páginas web, Youtube, Blog educativo, picasa, slideshare.
Metodología

El dominó químico está formado por veintiocho fichas divididas en dos partes, una lleva marcada el
nombre de los compuestos en una de la tres nomenclatura, y la otra la fórmula de la
Función a que pertenecen (figura 1). En el dominó, las
fichas dobles presentan solamente un naipe en las
dos caras, en el dominó químico sus dobles son las
cartas que poseen solamente nombre y formula de la función en
Las dos caras (figura 2). ,con su fórmula y nombre son estas las fichas que
Cambian las funciones durante el juego.
FICHAS DE DOMINO figura1
FICHAS DOBLES figura 2

Inicialmente los alumnos deben ser divididos en
grupos de cuatro y cada grupo recibe un dominó
Químico. Enseguida las fichas (siete cada estudiante) son distribuidas entre
los componentes y se elige la carta doble que va a
Empezar el juego. La carta que
Fue la escogida inicia el juego. La persona que posee esa doble carta
debe ponerla en la mesa y el alumno a su izquierda deberá buscar entre sus fichas una que pertenezca a
La función. Si no posee ninguna ficha
de esas funciones, pierde la vez, y el alumno a su
Izquierda tendrá la oportunidad de jugar. El juego sigue siempre en el sentido horario.
Para cambiar de función, se utiliza los dobles. Cuando algún estudiante
consigue poner en la mesa todas sus cartas, el
Juego termina y este será el ganador.
El profesor debe participar todo el tiempo
del proceso, caminando por entre las mesas
para corregir todo lo que esté errado y para
Aclarar las dudas. Cuando todos los equipos
concluyan sus juegos, es importante que sea
Realizada una discusión sobre el tema.
Los primeros de los seis grupos iniciales serán finalistas con los otros seis de los grupos restantes por
jugar, siendo estos los que disputaran la nota más alta, .estos finalistas ayudaran a los perdedores a
jugar en un clasificatorio para un repechaje de una nota alta significativa; luego los estudiantes que no
han podido ganar se enfrentan entre ellos por una nota de consolación siendo asesorados por los
ganadores.
En caso de que el juego si cierre***
(expresión proveniente del dominó), se observa
el número de cartas que las personas tienen en
las manos, saliendo como ganador el estudiante
que tenga el menor número de cartas****. Sin
embargo, es importante hacer memoria siempre
que los fines son educacionales, y que ganar o
perder forma parte de la vida
Actividades propuestas

Actividad 1: Reconozcamos las funciones químicas usando la tabla periódica , en ejercicios
identificar los grupos funcionales y los elementos que identifican a los óxidos ácidos, hidróxidos y
sales.
Actividad 2: realizar ejercicios de como son las reacciones de formación de los compuestos , óxidos
hidróxidos ácidos y sales.
Actividad 3: practica de laboratorio de identificación y formación de hidróxidos y sales.
Actividad 4: realizar torneo de domino de funciones
REALIZACIÓN Y SEGUIMIENTO DE LAS ACTIVIDADES
a. Plan de actividades
ACTIVIDAD
RESPONSABLES
Actividad1:

MATERIAL

DURACIÓN
-describir los símbolos de los elementos
que se escriben el la formula de los
óxidos, su clasificación ,el grupo
funcional que los identifica.
Realizar lo mismo para hidruros,
hidróxidos, ácidos y sales usando la
tabla periódica. Y esferas de icopor
Actividad 2:
Taller escrito para esquematizar las
reacciones de formación de varios
compuestos de las funciones químicas
usando las tres nomenclaturas
Actividad 3:
Practica de laboratorio usando
indicadores acido base produciendo
hidróxidos y sales haloideas.
Actividad 4
Formar grupos de 4 estudiantes
realizar los juegos de clasificación de
ganadores, repechaje y finales de el
torneo de domino de funciones.

Estudiantes y monitores de
grupo

Tabla periódica
Palillos esferas de
icopor

3 horas

estudiantes

Fichas de domino
químico

3 horas

Docente, grupo de trabajo
estudiantes.

Materiales y
reactivos de el
Laboratorio.

2 horas

Profesor y estudiantes.
4 horas
Domino de
funciones

DESARROLLO DE LAS ACTIVIDADES
Explicación las funciones y grupos ,funcionales
Desarrollo de taller de identificación de funciones químicas
Ejercicios en tablero de esquematizar las reacciones de formación de compuestos
Laboratorio de formación e identificación de funciones químicas’
Realización de torneo de domino de funciones por grupos .
EVALUACIÓN
Trabajo en grupo, ejercicios y asesoría de los estudiantes aventajados ,preguntas en clase oral. dise ño de
varios dominós de funciones usando siete compuestos diferentes.
Evidencias d aprendizaje:
Crear cada estudiante su propio domino de funciones, video del torneo y de la final de el torneo.
Crear un bingo de funciones químicas por parte de los estudiantes.
video evidencia domino.mp4
http://youtu.be/2mS6uSzcjGE

COPERAcion en funciones.mp4
http://youtu.be/9g6V5UjV5Lo
http://youtu.be/r4O_e4iTYQE

Instrumentos de evaluación
Indique los instrumentos que se emplearán para la evaluación en las diferentes actividades de aprendizaje.
Ejemplo: guia de laboratorio ,informe de laboratorio, trabajo escrito de taller ,tabla de datos de
control de el torneo .
CIENCIAS NATURALES QUIMICA

FUNCIONES QUIMICAS

GRADO 10
Profesor: Rafael Flórez.
OBJETIVO: Sintetizar en el laboratorio las principales funciones químicas
Realiza reacciones químicas, formula y nombra utilizando las nomenclaturas (tradicional, IUPAC y stock)de
los productos sintetizados.
INTRODUCCION

Los óxidos son compuestos que resultan de la combinación química directa o indirecta
de oxígeno con un elemento metálico o no metálico.
OXIDO METÁLICO (Óxido básico)NO METAL + OXÍGENO
..
ÓXIDO NOMETÁLICO (Óxido ácido)
BASES
Es aquella estancia que tiende a ganar protones, se forma en General mente de la
combinación entre un oxido básico y el agua se caracteriza por presentar en su fórmula,
los radicales (OH Llamados
HIDRÓXIDO.
ÁCIDO.
Es la sustancia que, en solución líbera o pierden uno o más protones
.
Algunos reactivos como la fenolftaleína, producen una coloración rojo violeta en
soluciones básica, permaneciendo incoloras soluciones ácidas
El anaranjado de metilo, da color grosella con los ácidos pero con las bases nunca
ninguna coloración característica, permaneciendo color anaranjado propio del radioactivo
indicador
HIDROXIDOS.
Los hidróxidos colorean de azul al papel tornasol rojo, y los ácidos de color rojo al papel
tornasol azul
De estos cambios de coloración en uno u otro caso, se aprovecha la química para
identificar bases, ácidos o sustancias básicas y sustancias que tengan carácter ácido,
es decir que todavía tengan protones en su constitución
SALES:
Las sales son compuestos derivados de los ácidos, al parcial o totalmente sus
hidrógenos, por uno o más metales, o por radicales básico si la sustitución total; la sal se
llama normal o neutra
Cronograma: este debe anexarse como un archivo en Excel.

Se denomina función química al conjunto de compuestos químicos, con propiedades
comunes permitiendo así diferenciarlos de los demás. Las funciones inorgánicas mas
importantes son:
•
Hidruros
•
Óxidos
•
Hidróxidos
•
Ácido
•
Sales
La función de las relaciones se muestra en el siguiente recuadro:

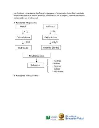
Clasificación de las funciones inorgánicas:
Las funciones inorgánicas se clasifican en oxigenadas e hidrogenadas, teniendo en cuenta su
origen; éstos indican si derivan de óxidos (combinación con el oxígeno) o derivan de hidruros
(combinación con el hidrógeno)
1. Funciones Oxigenadas:

2. Funciones Hidrogenadas:
La química inorgánica incluye la materia no viviente como los metales, los no metales y las
diversas combinaciones entre dichos elementos.
Los compuestos inorgánicos se agrupan según la forma en que se cambian, lo cual determina su
comportamiento y características similares. Cada agrupación de dichos compuestos se conoce con
el nombre de función química. La funciones químicas presentan un átomo o grupo de átomos que
las diferencia entre si. Dichas funciones, para la química inorgánica son 4: oxido, hidroxido, acido y
sal.
Para escribir la fórmula de los óxidos, ácidos y sales se acostumbran poner los símbolos de los
elemento d que lo componen en orden, según su electronegatividad: el menos electronegativo a la
izquierda y el mas electronegativo a al derecha. Otro criterio ha sido escribir a la izquierda el ion
positivo (catión) y a la derecha el ion negativo (anión)
Las principales funciones inorgánicas son:
FUNCION OXIDO: son compuestos formados por la combinación del oxigeno con otro elemento.
se escribe primero el símbolo del elemento diferente del oxigeno y luego el símbolo del oxigeno.
ejemplo: Be+O = BeO
clases de óxidos:
Óxidos Básicos: son óxidos formados por un metal y oxigeno que al reaccionar con agua producen
hidróxidos. ZnO, MgO.
óxidos ácidos: son óxidos formados por un no metal y oxigeno. ejemplo: CO2, SO2, NO2.
FUNCION HIDROXIDO O BASE: una base es un compuesto que al disociarse con el agua produce
iones OH-. ejemplo: NaOH= Na+ + OH-.
FUNCION ACIDO: los ácidos son sustancias que al disolverse en agua producen iones positivos
H+ de hidrogeno. ejemplo: HCl + H2O = H3O+ + Cltipos de ácidos:
ácidos hidrácidos: son combinaciones del hidrogeno con los halógenos (fluor cloro . etc)
ejemplo: HF(acido fluorhídrico) HCl(acido clorhídrico)
ácidos oxácidos: son compuestos formados a partir de los óxidos ácidos o de los no metales
cuando se combinan con el agua. ejemplo: N2O3+H2O produce: H2N2O4= HNO2
SALES: tanto para su nomenclatura como para su formación las sales se dividen en :
sales neutras: no contienen hidrógenos, todos han sido reemplazados por elementos metálicos
ejemplo: KClO, AgNO3.
sales acidas: contiene hidrógenos ejemplo: KHPO4: fosfato mono potásico.
sales básicas: resultan de sustituir en un a base , parcialmente, los grupos OH.
ejemplo: CuOHNO3: Cu(OH)2 + HNO3 produce: H2O + CuOHNO3 nitrato básico de cobre.

Pro aula quimica funciones

  • 1.
    FORMATO PARA LAPRESENTACION DE PROYECTOS PEDAGOGICOS DE AULA CON TIC. DENOMINACIÓN DEL PROYECTO: FUNCIONES QUIMICAS Y LUDICA Curso: Participantes: Grado 10 Estudiantes y docente de química Duración: 12 hrs I. PLANIFICACIÓN Justificación: JUSTIFICACION La forma tradicional como la química ha sido presentada a los estudiantes de la enseñanza básica En general no ha estimulado a los alumnos a interactuar con su objeto de estudio y solo les ha permitido Percibir esa asignatura como una ciencia de difícil comprensión y su estudio restricto a la memorización,( Departamento de Ciencias Exactas, Universida. de Estadual de Feira de Santana, Brasil Sin introducir ningún componente de placer. Este trabajo tuvo como objetivo facilitar el estudio de las Funciones químicas para estudiantes de la enseñanza media de la institución educativa san Simón, De san Andrés de sotavento a través Del uso de juegos didácticos. El “domino químico" introduce la secuencia de un juegos haciendo la Correlación entre el nombre y la fórmula de los compuestos inorgánicos. El dominó químico trabaja la Asociación entre la fórmula y la función química. El juego los ayuda identificar compuestos Que son de la misma función química. Los testes preliminares mostraron que el uso del ambiente lúdicro Favorece la discusión del tema permitiendo la interacción entre los alumnos y de estos con el profesor. Fue observado que a pesar que el conjunto de juegos no permite la adquisición de todo el conocimiento Asociado a las funciones inorgánicas, es capaz de despertar el interés por este mundo nuevo de fórmulas Y nombres de una manera más apacible, haciendo con que su estudio pueda contar con el uso de trabajos De grupo, facilitando el aprendizaje, estimulando la cooperación y la socialización de conocimientos y valores de solidaridad y ,cooperación Pregunta de investigación
  • 2.
    De: ¿que formalas funciones químicas inorgánicas se pueden aprender de manera y amena significativa? Exploración previa 1) Como se unen los elementos para formar compuestos.. 2) Como se distinguen los compuestos 3) Que elementos permiten distinguir las funciones químicas de los diferentes compuestos. 4) Como se forman los compuestos de las diferentes funciones químicas Objetivos del proyecto Objetivo General: Aprender la química inorgánica de las funciones químicas por medio de la lúdica y recreación en la I.ES.S Objetivos específicos :Fabricar un juego de domino usando las funciones químicas. Realizar un torneo de domino en el que se aprendan las funciones químicas jugando. Aplicar las reacciones de formación de compuestos usando una ficha de domino. Competencias Interpretativa: en el aspecto analítico de las sustancias Argumentativa: Demostrar poseer y comprender conocimientos en el área de la Química a partir de las funciones químicas Planteamiento de hipótesis Tener la capacidad de reunir e interpretar datos relevantes, dentro del área de la Química, para predecir los resultados obtenidos Temática a estudiar FUNCIONES QUIMICAS INORGANICAS. Referentes conceptuales: LO LÚDICRO COMO ESTRATEGIA DIDÁCTICA PARA EL APRENDIZAJE DE LAS FUNCIONES DE QUÍMICA INORGÁNICA EN LA ENSEÑANZA MEDIA EN FEIRA DE SANTANA, BRASIL Dra. María de F. Mendes Paixão, Dra. Heiddy Márquez Álvarez, Débora de Matos Alves, Alana R. de Sonza Leite En el contexto de aprendizaje de la Química de acuerdo a la perspectiva de los alumnos
  • 3.
    éste se identificacon actividades tediosas y aburridas, hasta poco interesantes. La actividad lúdica resulta importante como factor útil en el desarrollo del alumno, de su inteligencia, de su deseo de experimentación, de su socialización y como factor pedagógico muy eficaz que interesa a los alumnos en actividades correspondientes a los contenidos curriculares que tradicionalmente se presentan como aburridos, difíciles y desagradables. Mediante las actividades lúdicas en Química se pretende dejar atrás el aprendizaje memorístico que no les ayuda para llevar lo aprendido a la aplicación en la vida cotidiana, con éstas actividades aumenta el interés a participar del conocimiento pues logran hacerlo significativo. SELECCIÓN DE ESTRATEGIAS PARA LA ENSEÑANZA DE LA QUÍMICA BASICA EN EL SISTEMA NACIONAL DE BACHILLERATO DESDE UNA PERSPECTIVA LUDICA Ruth Álvarez Feregrino CECyT N°2 “Miguel Bernard Perales” Recursos didácticos . Libretas de apuntes, tabla periodica, cámara, papel carton industrial, Recursos digitales Indique los recursos digitales a utilizar y la forma como serán empleados en el proyecto. Offline: video de youtube,( Nomenclatura de compuestos quimicos inorganicos.mp4 http://www.serviprofer.com.ve) QUIMICA Inorganica 01 HIDRUROS oxidos SALES BINARIAS peroxidos unicoos (youtube) QUIMICA Inorganica - Acidos unicoos formulacion (YOUTUBE) www.fullquimica.com/2011/.../nomenclatura-quimica-inorganica., www.slideshare.net/jomiespa/funcionesquimicas-inorganicas LA TIZA VIRTUAL.ORG Online: páginas web, Youtube, Blog educativo, picasa, slideshare. Metodología El dominó químico está formado por veintiocho fichas divididas en dos partes, una lleva marcada el nombre de los compuestos en una de la tres nomenclatura, y la otra la fórmula de la Función a que pertenecen (figura 1). En el dominó, las fichas dobles presentan solamente un naipe en las dos caras, en el dominó químico sus dobles son las cartas que poseen solamente nombre y formula de la función en Las dos caras (figura 2). ,con su fórmula y nombre son estas las fichas que Cambian las funciones durante el juego. FICHAS DE DOMINO figura1
  • 4.
    FICHAS DOBLES figura2 Inicialmente los alumnos deben ser divididos en grupos de cuatro y cada grupo recibe un dominó Químico. Enseguida las fichas (siete cada estudiante) son distribuidas entre los componentes y se elige la carta doble que va a Empezar el juego. La carta que Fue la escogida inicia el juego. La persona que posee esa doble carta debe ponerla en la mesa y el alumno a su izquierda deberá buscar entre sus fichas una que pertenezca a La función. Si no posee ninguna ficha de esas funciones, pierde la vez, y el alumno a su Izquierda tendrá la oportunidad de jugar. El juego sigue siempre en el sentido horario. Para cambiar de función, se utiliza los dobles. Cuando algún estudiante consigue poner en la mesa todas sus cartas, el Juego termina y este será el ganador. El profesor debe participar todo el tiempo
  • 5.
    del proceso, caminandopor entre las mesas para corregir todo lo que esté errado y para Aclarar las dudas. Cuando todos los equipos concluyan sus juegos, es importante que sea Realizada una discusión sobre el tema. Los primeros de los seis grupos iniciales serán finalistas con los otros seis de los grupos restantes por jugar, siendo estos los que disputaran la nota más alta, .estos finalistas ayudaran a los perdedores a jugar en un clasificatorio para un repechaje de una nota alta significativa; luego los estudiantes que no han podido ganar se enfrentan entre ellos por una nota de consolación siendo asesorados por los ganadores. En caso de que el juego si cierre*** (expresión proveniente del dominó), se observa el número de cartas que las personas tienen en las manos, saliendo como ganador el estudiante que tenga el menor número de cartas****. Sin embargo, es importante hacer memoria siempre que los fines son educacionales, y que ganar o perder forma parte de la vida Actividades propuestas Actividad 1: Reconozcamos las funciones químicas usando la tabla periódica , en ejercicios identificar los grupos funcionales y los elementos que identifican a los óxidos ácidos, hidróxidos y sales. Actividad 2: realizar ejercicios de como son las reacciones de formación de los compuestos , óxidos hidróxidos ácidos y sales. Actividad 3: practica de laboratorio de identificación y formación de hidróxidos y sales. Actividad 4: realizar torneo de domino de funciones REALIZACIÓN Y SEGUIMIENTO DE LAS ACTIVIDADES a. Plan de actividades ACTIVIDAD RESPONSABLES Actividad1: MATERIAL DURACIÓN
  • 6.
    -describir los símbolosde los elementos que se escriben el la formula de los óxidos, su clasificación ,el grupo funcional que los identifica. Realizar lo mismo para hidruros, hidróxidos, ácidos y sales usando la tabla periódica. Y esferas de icopor Actividad 2: Taller escrito para esquematizar las reacciones de formación de varios compuestos de las funciones químicas usando las tres nomenclaturas Actividad 3: Practica de laboratorio usando indicadores acido base produciendo hidróxidos y sales haloideas. Actividad 4 Formar grupos de 4 estudiantes realizar los juegos de clasificación de ganadores, repechaje y finales de el torneo de domino de funciones. Estudiantes y monitores de grupo Tabla periódica Palillos esferas de icopor 3 horas estudiantes Fichas de domino químico 3 horas Docente, grupo de trabajo estudiantes. Materiales y reactivos de el Laboratorio. 2 horas Profesor y estudiantes. 4 horas Domino de funciones DESARROLLO DE LAS ACTIVIDADES Explicación las funciones y grupos ,funcionales Desarrollo de taller de identificación de funciones químicas Ejercicios en tablero de esquematizar las reacciones de formación de compuestos Laboratorio de formación e identificación de funciones químicas’ Realización de torneo de domino de funciones por grupos . EVALUACIÓN Trabajo en grupo, ejercicios y asesoría de los estudiantes aventajados ,preguntas en clase oral. dise ño de varios dominós de funciones usando siete compuestos diferentes. Evidencias d aprendizaje: Crear cada estudiante su propio domino de funciones, video del torneo y de la final de el torneo. Crear un bingo de funciones químicas por parte de los estudiantes.
  • 7.
    video evidencia domino.mp4 http://youtu.be/2mS6uSzcjGE COPERAcionen funciones.mp4 http://youtu.be/9g6V5UjV5Lo
  • 8.
  • 9.
    Indique los instrumentosque se emplearán para la evaluación en las diferentes actividades de aprendizaje. Ejemplo: guia de laboratorio ,informe de laboratorio, trabajo escrito de taller ,tabla de datos de control de el torneo . CIENCIAS NATURALES QUIMICA FUNCIONES QUIMICAS GRADO 10 Profesor: Rafael Flórez. OBJETIVO: Sintetizar en el laboratorio las principales funciones químicas Realiza reacciones químicas, formula y nombra utilizando las nomenclaturas (tradicional, IUPAC y stock)de los productos sintetizados. INTRODUCCION Los óxidos son compuestos que resultan de la combinación química directa o indirecta de oxígeno con un elemento metálico o no metálico. OXIDO METÁLICO (Óxido básico)NO METAL + OXÍGENO .. ÓXIDO NOMETÁLICO (Óxido ácido) BASES Es aquella estancia que tiende a ganar protones, se forma en General mente de la combinación entre un oxido básico y el agua se caracteriza por presentar en su fórmula, los radicales (OH Llamados HIDRÓXIDO. ÁCIDO. Es la sustancia que, en solución líbera o pierden uno o más protones . Algunos reactivos como la fenolftaleína, producen una coloración rojo violeta en soluciones básica, permaneciendo incoloras soluciones ácidas El anaranjado de metilo, da color grosella con los ácidos pero con las bases nunca ninguna coloración característica, permaneciendo color anaranjado propio del radioactivo indicador HIDROXIDOS. Los hidróxidos colorean de azul al papel tornasol rojo, y los ácidos de color rojo al papel tornasol azul De estos cambios de coloración en uno u otro caso, se aprovecha la química para identificar bases, ácidos o sustancias básicas y sustancias que tengan carácter ácido, es decir que todavía tengan protones en su constitución SALES: Las sales son compuestos derivados de los ácidos, al parcial o totalmente sus hidrógenos, por uno o más metales, o por radicales básico si la sustitución total; la sal se llama normal o neutra
  • 10.
    Cronograma: este debeanexarse como un archivo en Excel. Se denomina función química al conjunto de compuestos químicos, con propiedades comunes permitiendo así diferenciarlos de los demás. Las funciones inorgánicas mas importantes son: • Hidruros • Óxidos • Hidróxidos • Ácido • Sales La función de las relaciones se muestra en el siguiente recuadro: Clasificación de las funciones inorgánicas:
  • 11.
    Las funciones inorgánicasse clasifican en oxigenadas e hidrogenadas, teniendo en cuenta su origen; éstos indican si derivan de óxidos (combinación con el oxígeno) o derivan de hidruros (combinación con el hidrógeno) 1. Funciones Oxigenadas: 2. Funciones Hidrogenadas:
  • 12.
    La química inorgánicaincluye la materia no viviente como los metales, los no metales y las diversas combinaciones entre dichos elementos. Los compuestos inorgánicos se agrupan según la forma en que se cambian, lo cual determina su comportamiento y características similares. Cada agrupación de dichos compuestos se conoce con el nombre de función química. La funciones químicas presentan un átomo o grupo de átomos que las diferencia entre si. Dichas funciones, para la química inorgánica son 4: oxido, hidroxido, acido y sal. Para escribir la fórmula de los óxidos, ácidos y sales se acostumbran poner los símbolos de los elemento d que lo componen en orden, según su electronegatividad: el menos electronegativo a la izquierda y el mas electronegativo a al derecha. Otro criterio ha sido escribir a la izquierda el ion positivo (catión) y a la derecha el ion negativo (anión) Las principales funciones inorgánicas son: FUNCION OXIDO: son compuestos formados por la combinación del oxigeno con otro elemento. se escribe primero el símbolo del elemento diferente del oxigeno y luego el símbolo del oxigeno. ejemplo: Be+O = BeO clases de óxidos: Óxidos Básicos: son óxidos formados por un metal y oxigeno que al reaccionar con agua producen hidróxidos. ZnO, MgO. óxidos ácidos: son óxidos formados por un no metal y oxigeno. ejemplo: CO2, SO2, NO2. FUNCION HIDROXIDO O BASE: una base es un compuesto que al disociarse con el agua produce iones OH-. ejemplo: NaOH= Na+ + OH-.
  • 13.
    FUNCION ACIDO: losácidos son sustancias que al disolverse en agua producen iones positivos H+ de hidrogeno. ejemplo: HCl + H2O = H3O+ + Cltipos de ácidos: ácidos hidrácidos: son combinaciones del hidrogeno con los halógenos (fluor cloro . etc) ejemplo: HF(acido fluorhídrico) HCl(acido clorhídrico) ácidos oxácidos: son compuestos formados a partir de los óxidos ácidos o de los no metales cuando se combinan con el agua. ejemplo: N2O3+H2O produce: H2N2O4= HNO2 SALES: tanto para su nomenclatura como para su formación las sales se dividen en : sales neutras: no contienen hidrógenos, todos han sido reemplazados por elementos metálicos ejemplo: KClO, AgNO3. sales acidas: contiene hidrógenos ejemplo: KHPO4: fosfato mono potásico. sales básicas: resultan de sustituir en un a base , parcialmente, los grupos OH. ejemplo: CuOHNO3: Cu(OH)2 + HNO3 produce: H2O + CuOHNO3 nitrato básico de cobre.