Incrustar presentación
Descargar para leer sin conexión


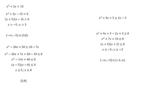
![𝑥2 + 2𝑥 > 15
𝑥2 + 2𝑥 − 15 > 0
𝑥 + 5 𝑥 − 3 > 0
𝑥 > −5 ; 𝑥 > 3
(−∞, −5) ∪ (3,0)
𝑥2 − 20𝑥 + 7𝑥 + 50 − 10 ≤ 0
𝑥2 − 13𝑥 + 40 ≤ 0
(𝑥 − 5)(𝑥 − 8) ≤ 0
𝑥 ≤ 5 ; 𝑥 ≤ 8
[5,8]
𝑥2 + 9𝑥 + 5 − 2𝑥 + 5 ≥ 0
𝑥2 + 7𝑥 + 10 ≥ 0
𝑥 + 5 𝑥 + 2 ≥ 0
𝑥 ≥ −5 ; 𝑥 ≥ −2
−∞, −5 ∪ [−2, ∞)
𝑥2 + 9𝑥 + 5 ≥ 2𝑥 − 5
𝑥2 − 20𝑥 + 50 ≤ 10 − 7𝑥](https://image.slidesharecdn.com/01clase9inecuacionessegundogrado-170321132545/85/01clase-9-inecuaciones-segundo-grado-3-320.jpg)
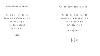
![3 3𝑥 − 2 ≤ 𝑥 + 4 4 − 𝑥
9𝑥 − 6 ≤ 4𝑥 − 𝑥2 + 16 − 4𝑥
9𝑥 − 6 − 4𝑥 + 𝑥2 − 16 + 4𝑥 ≤ 0
𝑥2 + 9𝑥 − 22 ≤ 0
𝑥 − 2 𝑥 + 11 ≤ 0
𝑥 ≤ 2 ; 𝑥 ≤ −11
[−11,2]
7 𝑥 − 3 − 5 𝑥2 − 1 ≥ −5 𝑥 + 5
7𝑥 − 21 − 5𝑥2 + 5 ≥ −5𝑥 − 25
7𝑥 − 21 − 5𝑥2 + 5 + 5𝑥 + 25 ≥ 0
−5𝑥2 + 12𝑥 + 9 ≥ 0
5𝑥2 − 12𝑥 − 9 ≤ 0
𝑥 ≤ −
3
5
; 𝑥 ≤ 3
−
3
5
, 3](https://image.slidesharecdn.com/01clase9inecuacionessegundogrado-170321132545/85/01clase-9-inecuaciones-segundo-grado-4-320.jpg)


Este documento explica cómo resolver desigualdades de segundo grado. Primero se eliminan los denominadores y signos de agrupación. Luego, se pasan todos los términos a un lado de la desigualdad, dejando cero en el otro lado. Después, se reducen los términos semejantes y se resuelve la desigualdad mediante factorización o la fórmula cuadrática. Finalmente, se utiliza el método de los signos para determinar el intervalo de soluciones. El documento proporciona ejemplos resuelt


![𝑥2 + 2𝑥 > 15
𝑥2 + 2𝑥 − 15 > 0
𝑥 + 5 𝑥 − 3 > 0
𝑥 > −5 ; 𝑥 > 3
(−∞, −5) ∪ (3,0)
𝑥2 − 20𝑥 + 7𝑥 + 50 − 10 ≤ 0
𝑥2 − 13𝑥 + 40 ≤ 0
(𝑥 − 5)(𝑥 − 8) ≤ 0
𝑥 ≤ 5 ; 𝑥 ≤ 8
[5,8]
𝑥2 + 9𝑥 + 5 − 2𝑥 + 5 ≥ 0
𝑥2 + 7𝑥 + 10 ≥ 0
𝑥 + 5 𝑥 + 2 ≥ 0
𝑥 ≥ −5 ; 𝑥 ≥ −2
−∞, −5 ∪ [−2, ∞)
𝑥2 + 9𝑥 + 5 ≥ 2𝑥 − 5
𝑥2 − 20𝑥 + 50 ≤ 10 − 7𝑥](https://image.slidesharecdn.com/01clase9inecuacionessegundogrado-170321132545/85/01clase-9-inecuaciones-segundo-grado-3-320.jpg)
![3 3𝑥 − 2 ≤ 𝑥 + 4 4 − 𝑥
9𝑥 − 6 ≤ 4𝑥 − 𝑥2 + 16 − 4𝑥
9𝑥 − 6 − 4𝑥 + 𝑥2 − 16 + 4𝑥 ≤ 0
𝑥2 + 9𝑥 − 22 ≤ 0
𝑥 − 2 𝑥 + 11 ≤ 0
𝑥 ≤ 2 ; 𝑥 ≤ −11
[−11,2]
7 𝑥 − 3 − 5 𝑥2 − 1 ≥ −5 𝑥 + 5
7𝑥 − 21 − 5𝑥2 + 5 ≥ −5𝑥 − 25
7𝑥 − 21 − 5𝑥2 + 5 + 5𝑥 + 25 ≥ 0
−5𝑥2 + 12𝑥 + 9 ≥ 0
5𝑥2 − 12𝑥 − 9 ≤ 0
𝑥 ≤ −
3
5
; 𝑥 ≤ 3
−
3
5
, 3](https://image.slidesharecdn.com/01clase9inecuacionessegundogrado-170321132545/85/01clase-9-inecuaciones-segundo-grado-4-320.jpg)
