Gliceraldehído,         Dihidroxiacetona,
una aldotriosa           una cetotriosa
                  (a)
D-Glucosa,             D-Fructosa,
una aldohexosa         una cetohexosa
                 (b)
D-Ribosa,             2-Desoxi-D-Ribosa,
una aldopentosa          una aldopentosa
                  (c)
Espejo




     CHO          CHO



                            OH    H
H           OH



                   CH2OH
    CH2OH



            Modelo de barra y bolas
D-Gliceraldehído            L-Gliceraldehído


    Fórmulas en proyección de Fischer




D-Gliceraldehído            L-Gliceraldehído

          Fórmulas en perspectiva
Tres carbonos              Cuatro carbonos                             Cinco carbonos




D-Gliceraldehído        D-Eritrosa     D-Treosa         D-Ribosa   D-Arabinosa   D-Xilosa   D-Lixosa


                                             Seis carbonos




D-Alosa     D-Altrosa      D-Glucosa      D-Manosa      D-Gulosa    D-Idosa   D-Galactosa    D-Talosa



                                             D-Aldosas
                                                  (a)
Tres carbonos


 H       O
     C
 H   C   OH

     CH2OH

D-Gliceraldehído
Cuatro carbonos

H       O      H       O
    C              C
H   C   OH    OH   C   H
H   C   OH     H   C   OH

    CH2OH          CH2OH
D-Eritrosa      D-Treosa
Cinco carbonos

H       O      H      O      H       O      H      O
  C       C                      C       C
H C OH HO C H   H                C OH HO C H
H C OH  H C OH HO                C H HO C H
H C OH  H C OH H                 C OH  H C OH
  CH2OH   CH2OH                  CH2OH   CH2OH
    D-Ribosa   D-Arabinosa       D-Xilosa   D-Lixosa
Seis carbonos




D-Alosa   D-Altrosa   D-Glucosa   D-Manosa    D-Gulosa   D-Idosa   D-Galactosa   D-Talosa




                                     D-Aldosas

                                        (a)
Tres carbonos       Cuatro carbonos                  Cinco carbonos




Dihidroxiacetona       D-Eritrulosa             D-Ribulosa       D-Xilulosa




                                Seis carbonos




    D-Psicosa      D-Fructosa          D-Sorbosa             D-Tagatosa


                                D-Cetosas

                                   (b)
Tres carbonos




Dihidroxiacetona
Cuatro carbonos




 D-Eritrulosa
Cinco carbonos




D-Ribulosa     D-Xilulosa
Seis carbonos




D-Psicosa   D-Fructosa           D-Sorbosa   D-Tagatosa



                     D-Cetosas

                         (b)
D-Manosa        D-Glucosa     D-Galactosa
(epímero en C-2)               (epímero en C-4)
L-Arabinosa
Aldehído Alcohol   Hemiacetal   Acetal




Cetona   Alcohol   Hemicetal    Cetal
D-Glucosa




                    
                      
                    mutarrotación


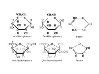
α-D-Glucopiranosa                     β-D-Glucopiranosa
α-D-Glucopiranosa    β-D-Glucopiranosa    Pirano




α-D-Fructofuranosa   β-D-Fructofuranosa   Furano
Eje                                  Eje




      Dos formas de silla posibles
                 (a)
Eje




α-D-Glucopiranosa
       (b)
Familia de la Glucosa
                                                                     Amino azúcares




     β-D-Glucosa        β-D-Glucosamina                              β-D-Galactosamina   β-D-Manosamina

                                          N-Acetil-β-D-Glucosamina
                                                                      Desoxiazúcares




β-D-Glucosa-6-fosfato                                                      β-L-Fucosa       α-L-Ramnosa
                        Ácido Murámico    Ácido N-Acetilmurámico

                                                                      Carboxi azúcares




                                                                     Ácido N-Acetilneuramínico
      β-D-Glucuronato      D-Gluconato      D-Glucono--lactona            (ácido siálico)
β-D-Glucosa


 


  D-Glucosa            D-Gluconato
(forma lineal)
                 (a)
Glucosa oxidasa
D-Glucosa   + O2                     D-Glucono--lactona   + H2O2

                             (b)
hemiacetal




                            alcohol




               
condensación           hidrólisis
            H2O
                        H2O


              acetal
                                           hemiacetal




                  Maltosa
α-D-Glucopiranosil-(14)-D-glucopiranosa
Tabla 9-1
Abreviaturas de los Monosacáridos más corrientes y de algunos de
sus derivados
Abecuosa       Abe             Ácido Glucurónico           GlcA
Arabinosa      Ara             Galactosamina               GalN
Fructosa       Fru             Glucosamina                 GlcN
Fucosa         Fuc             N-Acetilgalactosamina       GalNAc
Galactosa      Gal             N-Acetilglucosamina         GlcNAc
Glucosa        Glc             Ácido Murámico              Mur
Manosa         Man             Ácido N-Acetilmurámico      Mur2Ac
Ramnosa        Rha             Ácido N-Acetilneuramínico   Neu5Ac
Ribosa         Rib                     (ácido siálico)
Xilosa         Xyl
Lactosa ( forma β)
β -D-Galactopiranosil-(14)- β -D-glucopiranosa
                  Gal(β14)Glc




                   Sacarosa
    β -D-Fructofuranosil α-D-glucopiranósido
                Fru(β21α)Glc




                   Trealosa
    α -D-Glucopiranosil α-D-glucopiranósido
               Glc(α11α)Glc
Homopolisacáridos               Heteropolisacáridos
                                Dos monómeros      Múltiples
Sin ramificar     Ramificados    Sin ramificar    Monómeros
                                                  ramificados
Gránulos de Almidón




         (a)
Gránulos de Glucógeno
                        (b)
Extremo          Extremo
no reducido         reducido




              (a)
Ramificación
  Rama                    (α1  6)




Cadena principal


                   (b)
Amilosa



                                Extremos
                                reducidos

   Extremos
no reducidos
                     Amilopectina




               (c)
Uniones (α14) entre D-glucosas
          (a)
(b)
Uniones (β14) entre D-glucosas

                (a)
(b)
Staphylococcus aureus




                                               Ácido N-Acetilmurámico
                                                      (Mur2Ac)
              (β 14)
Punto de rotura                                  N-Acetilglucosamina
de la Lisozima                                       (GlcNAc)


  Extremo                              L-Ala
  reducido                             D-Glu
                                       L-Lys
                                       D-Ala
                   Enlace cruzado
                   de pentaglicina
Glucosaminoglicano      Disacárido repetido          Número de disacáridos
                                                         por cadena



                                                            ~50.000
    Hialuronato



                       GlcA          GlcNAc




                                                             20-60
Condroitín 4-sulfato



                       GlcA            GlcNAc4SO3




  Queratán sulfato                                            ~25




                       Gal           GlcNAc6SO3
Tabla 9-2
Estructura y función de algunos Polisacáridos

Polímero               Tipo       Monómero              Tamaño      Función

Almidón                                                             Almacenamiento de energía, en plantas
   Amilosa             Homo-      (α1 4)Glc, lineal    50-5000
   Amilopectina        Homo-      (α1 4)Glc, con
                                  (α1 6)Glc en ramas
                                  cada 24-30 unidades
Glucógeno              Homo-      (α1 4)Glc, con       > 50.000    Almacenar energía, en bacterias y
                                  (α1 6)Glc en ramas               células animales
                                  cada 8-12 unidades
Celulosa               Homo-      (β1 4)Glc            > 15.000    Estructural, en plantas, da rigidez y
                                                                    resistencia a la pared celular.
Quitina                Homo-      (β1 4)GlcNAc         muy larga   Estructural, en insectos, arácnidos y
                                                                    crustáceos, da rigidez y resistencia al
                                                                    exoesqueleto.
Peptidoglicano         Hetero-,   4)Mur2Ac(β1 4)       muy larga   Estructural, en bacterias, da rigidez y
                       péptidos   GlcNAc(β1                         resistencia a la pared celular.
                       unidos
Hialuronato (un        Hetero-,   4)GlcA(β1  4)        >100.000    Estructural, en vertebrados, crea la matriz
Glucosamino-glicano)   ácido      GlcNAc(β1                         de la piel y tejido conectivo, viscosidad y
                                                                    lubricante en articulaciones.
(β 1   3)   (β 1   4) (β 1   3) (β 1   3) (β 1   4)
(GlcA    GalNAc)n     GlcA     Gal       Gal       Xyl   Ser
  Condroitín sulfato
                       Núcleo de la proteína
+NH
                                  3
Heparán sulfato




Condroitín sulfato




                     Exterior




                     Interior

         OOC
Hialuronato
 (disacárido repetido
más de 50.000 veces)

            Queratán
             sulfato


                Condroitín
                   sulfato    Proteínas de unión

                             Núcleo protéico
                             de Agrecano
Filamentos de Actina
                          Integrina




                             Proteoglicano




                           Fibronectina




                          Fibras de Colágeno
                          entrecruzadas




Membrana plasmática
(a) Enlace O                           (b) Enlace N




       GalNAc                    Ser               GalNAc                     Asn

Ejemplos:                              Ejemplos:
                                                                                    Glc
            Ser/Thr




                                                   Asn




                                                                        Asn
                                                                                    GlcNAc
                                                                                    Man
                                                                                    Gal
                                                                                    Neu5Ac
                                                           Asn                      Fuc
                      Ser/Thr




                                                                                    GalNAc
GlcNAc   n10
Man
Glc
Gal
AbeOAc
Rha
Kdo
Hep
(b)
Tabla 9-3
 Ligandos Oligosacáridos unidos a Lectinas

 Lectinas y Familia                              Abreviatura                     Ligandos

 Plantas
     Concanavalina A                             Con A                           Manα1–OCH3
     Griffonia simplicifolia                     GS4                             Lewis b (Leb) tetrasacárido
         lectina 4
     Aglutinina del gérmen de trigo              WGA                             Neu5Ac(α 2 3) Gal (β1  4)Glc
                                                                                 GlcNAc (β1  4)GlcNAc
     Ricino                                                                      Gal (β1  4)Glc


 Animal
      Galectina-1                                                                Gal (β1  4)Glc
      Manosa unida a proteína A                  MBP-A                           múltiples octasacáridos de manosa


 Virus
     Hemaglutinina del virus de la gripe HA                                      Neu5Ac(α2 6) Gal (β1  4)Glc
      Proteína 1 del virus del Polioma           VP1                             Neu5Ac(α2 3) Gal (β1  4)Glc

 Bacterias
    Enterotoxina                                 LT                              Gal
      Toxina del cólera                          CT                              GM1 pentasacárido

Fuente: Weiss, W.I. & Drickamer, K. (1996) Structural basis of lectin-carbohydrate recognition. Annu. Rev. Biochem. 65, 441-473.
Glicoproteína ligando          Glicoproteína
de integrina                   ligando de
                               P-selectina
Integrina

P-selectina
                         Linfocito T
                         libre

Célula
endotelial                Rodadura
del capilar




                           Adhesión



Lugar de
inflamación

                        Extravasación


                          Corriente
                          sanguínea
Virus                  Bacteria           Linfocito




      Cadena de
      oligosacáridos

Proteína de
la Membrana                     Toxina
Plasmática


Glicolípidos                                                      P-Selectina



                                  (c)

                          (b)                       (d)
           (a)                                            (e)
Glicoproteína
                                                      o Glicolípido

                                                                 Liberación de oligosacáridos con
                                                                 endoglicosidasa

                                                        Mezcla de
                                                      oligosacáridos
                                                                 1) Cromatografía de intercambio iónico
                                                                 2) Filtración en gel
                                                                 3) Cromatografía de afinidad a Lectina

                     Polisacáridos                    oligosacáridos
                      purificados                       separados



                                                                                   Hidrólisis enzimática
          Hidrólisis con                      Metilación completa                                                   RMN y
                                                                                   con glucosidasas
          ácido fuerte                        con CH3I, base fuerte                                                 espectrometría
                                                                                   específicas
                                                                                                                    de masas
                                      Carbohidratos
                                      completamente                           Pequeños
  Monosacáridos                                                            oligosacáridos
                                        metilados
                                                                                   Resolución de framentos
                                              Hidrólisis ácida con
          Cromatografía en líquido                                                 en la mezcla
                                              producción de
          de alta resolución o
                                              monosacáridos metilados en           Cada oligosacárido se
          derivación a
                                              cada –OH excepto los                 somete a metilación o
          cromatografía gas-líquido
                                              implicados en los enlaces            análisis enzimático
                                              glucosídicos

Composición de la                                                        Secuencia de                         Secuencia de
     mezcla                                                             monosacáridos;                       monosacáridos;
                                   Posición(es) de                         posición y
Tipos y número de                                                                                               posición y
                                 enlaces glucosídicos                  configuración de
  monosacáridos                                                                                             configuración de
                                                                      enlaces glucosídicos                 enlaces glucosídicos

09 Glúcidos y glicobiología

  • 2.
    Gliceraldehído, Dihidroxiacetona, una aldotriosa una cetotriosa (a)
  • 3.
    D-Glucosa, D-Fructosa, una aldohexosa una cetohexosa (b)
  • 4.
    D-Ribosa, 2-Desoxi-D-Ribosa, una aldopentosa una aldopentosa (c)
  • 5.
    Espejo CHO CHO OH H H OH CH2OH CH2OH Modelo de barra y bolas
  • 6.
    D-Gliceraldehído L-Gliceraldehído Fórmulas en proyección de Fischer D-Gliceraldehído L-Gliceraldehído Fórmulas en perspectiva
  • 7.
    Tres carbonos Cuatro carbonos Cinco carbonos D-Gliceraldehído D-Eritrosa D-Treosa D-Ribosa D-Arabinosa D-Xilosa D-Lixosa Seis carbonos D-Alosa D-Altrosa D-Glucosa D-Manosa D-Gulosa D-Idosa D-Galactosa D-Talosa D-Aldosas (a)
  • 8.
    Tres carbonos H O C H C OH CH2OH D-Gliceraldehído
  • 9.
    Cuatro carbonos H O H O C C H C OH OH C H H C OH H C OH CH2OH CH2OH D-Eritrosa D-Treosa
  • 10.
    Cinco carbonos H O H O H O H O C C C C H C OH HO C H H C OH HO C H H C OH H C OH HO C H HO C H H C OH H C OH H C OH H C OH CH2OH CH2OH CH2OH CH2OH D-Ribosa D-Arabinosa D-Xilosa D-Lixosa
  • 11.
    Seis carbonos D-Alosa D-Altrosa D-Glucosa D-Manosa D-Gulosa D-Idosa D-Galactosa D-Talosa D-Aldosas (a)
  • 12.
    Tres carbonos Cuatro carbonos Cinco carbonos Dihidroxiacetona D-Eritrulosa D-Ribulosa D-Xilulosa Seis carbonos D-Psicosa D-Fructosa D-Sorbosa D-Tagatosa D-Cetosas (b)
  • 13.
  • 14.
  • 15.
  • 16.
    Seis carbonos D-Psicosa D-Fructosa D-Sorbosa D-Tagatosa D-Cetosas (b)
  • 17.
    D-Manosa D-Glucosa D-Galactosa (epímero en C-2) (epímero en C-4)
  • 18.
  • 19.
    Aldehído Alcohol Hemiacetal Acetal Cetona Alcohol Hemicetal Cetal
  • 20.
    D-Glucosa   mutarrotación α-D-Glucopiranosa β-D-Glucopiranosa
  • 21.
    α-D-Glucopiranosa β-D-Glucopiranosa Pirano α-D-Fructofuranosa β-D-Fructofuranosa Furano
  • 22.
    Eje Eje Dos formas de silla posibles (a)
  • 23.
  • 24.
    Familia de laGlucosa Amino azúcares β-D-Glucosa β-D-Glucosamina β-D-Galactosamina β-D-Manosamina N-Acetil-β-D-Glucosamina Desoxiazúcares β-D-Glucosa-6-fosfato β-L-Fucosa α-L-Ramnosa Ácido Murámico Ácido N-Acetilmurámico Carboxi azúcares Ácido N-Acetilneuramínico β-D-Glucuronato D-Gluconato D-Glucono--lactona (ácido siálico)
  • 25.
    β-D-Glucosa  D-Glucosa D-Gluconato (forma lineal) (a)
  • 26.
    Glucosa oxidasa D-Glucosa + O2 D-Glucono--lactona + H2O2 (b)
  • 27.
    hemiacetal alcohol  condensación hidrólisis H2O H2O acetal hemiacetal Maltosa α-D-Glucopiranosil-(14)-D-glucopiranosa
  • 28.
    Tabla 9-1 Abreviaturas delos Monosacáridos más corrientes y de algunos de sus derivados Abecuosa Abe Ácido Glucurónico GlcA Arabinosa Ara Galactosamina GalN Fructosa Fru Glucosamina GlcN Fucosa Fuc N-Acetilgalactosamina GalNAc Galactosa Gal N-Acetilglucosamina GlcNAc Glucosa Glc Ácido Murámico Mur Manosa Man Ácido N-Acetilmurámico Mur2Ac Ramnosa Rha Ácido N-Acetilneuramínico Neu5Ac Ribosa Rib (ácido siálico) Xilosa Xyl
  • 29.
    Lactosa ( formaβ) β -D-Galactopiranosil-(14)- β -D-glucopiranosa Gal(β14)Glc Sacarosa β -D-Fructofuranosil α-D-glucopiranósido Fru(β21α)Glc Trealosa α -D-Glucopiranosil α-D-glucopiranósido Glc(α11α)Glc
  • 30.
    Homopolisacáridos Heteropolisacáridos Dos monómeros Múltiples Sin ramificar Ramificados Sin ramificar Monómeros ramificados
  • 31.
  • 32.
  • 33.
    Extremo Extremo no reducido reducido (a)
  • 34.
    Ramificación Rama (α1  6) Cadena principal (b)
  • 35.
    Amilosa Extremos reducidos Extremos no reducidos Amilopectina (c)
  • 36.
  • 37.
  • 38.
  • 39.
  • 41.
    Staphylococcus aureus Ácido N-Acetilmurámico (Mur2Ac) (β 14) Punto de rotura N-Acetilglucosamina de la Lisozima (GlcNAc) Extremo L-Ala reducido D-Glu L-Lys D-Ala Enlace cruzado de pentaglicina
  • 42.
    Glucosaminoglicano Disacárido repetido Número de disacáridos por cadena ~50.000 Hialuronato GlcA GlcNAc 20-60 Condroitín 4-sulfato GlcA GlcNAc4SO3 Queratán sulfato ~25 Gal GlcNAc6SO3
  • 43.
    Tabla 9-2 Estructura yfunción de algunos Polisacáridos Polímero Tipo Monómero Tamaño Función Almidón Almacenamiento de energía, en plantas Amilosa Homo- (α1 4)Glc, lineal 50-5000 Amilopectina Homo- (α1 4)Glc, con (α1 6)Glc en ramas cada 24-30 unidades Glucógeno Homo- (α1 4)Glc, con > 50.000 Almacenar energía, en bacterias y (α1 6)Glc en ramas células animales cada 8-12 unidades Celulosa Homo- (β1 4)Glc > 15.000 Estructural, en plantas, da rigidez y resistencia a la pared celular. Quitina Homo- (β1 4)GlcNAc muy larga Estructural, en insectos, arácnidos y crustáceos, da rigidez y resistencia al exoesqueleto. Peptidoglicano Hetero-, 4)Mur2Ac(β1 4) muy larga Estructural, en bacterias, da rigidez y péptidos GlcNAc(β1 resistencia a la pared celular. unidos Hialuronato (un Hetero-, 4)GlcA(β1  4) >100.000 Estructural, en vertebrados, crea la matriz Glucosamino-glicano) ácido GlcNAc(β1 de la piel y tejido conectivo, viscosidad y lubricante en articulaciones.
  • 44.
    (β 1 3) (β 1 4) (β 1 3) (β 1 3) (β 1 4) (GlcA GalNAc)n GlcA Gal Gal Xyl Ser Condroitín sulfato Núcleo de la proteína
  • 45.
    +NH 3 Heparán sulfato Condroitín sulfato Exterior Interior OOC
  • 46.
    Hialuronato (disacárido repetido másde 50.000 veces) Queratán sulfato Condroitín sulfato Proteínas de unión Núcleo protéico de Agrecano
  • 47.
    Filamentos de Actina Integrina Proteoglicano Fibronectina Fibras de Colágeno entrecruzadas Membrana plasmática
  • 48.
    (a) Enlace O (b) Enlace N GalNAc Ser GalNAc Asn Ejemplos: Ejemplos: Glc Ser/Thr Asn Asn GlcNAc Man Gal Neu5Ac Asn Fuc Ser/Thr GalNAc
  • 49.
    GlcNAc n10 Man Glc Gal AbeOAc Rha Kdo Hep
  • 50.
  • 51.
    Tabla 9-3 LigandosOligosacáridos unidos a Lectinas Lectinas y Familia Abreviatura Ligandos Plantas Concanavalina A Con A Manα1–OCH3 Griffonia simplicifolia GS4 Lewis b (Leb) tetrasacárido lectina 4 Aglutinina del gérmen de trigo WGA Neu5Ac(α 2 3) Gal (β1  4)Glc GlcNAc (β1  4)GlcNAc Ricino Gal (β1  4)Glc Animal Galectina-1 Gal (β1  4)Glc Manosa unida a proteína A MBP-A múltiples octasacáridos de manosa Virus Hemaglutinina del virus de la gripe HA Neu5Ac(α2 6) Gal (β1  4)Glc Proteína 1 del virus del Polioma VP1 Neu5Ac(α2 3) Gal (β1  4)Glc Bacterias Enterotoxina LT Gal Toxina del cólera CT GM1 pentasacárido Fuente: Weiss, W.I. & Drickamer, K. (1996) Structural basis of lectin-carbohydrate recognition. Annu. Rev. Biochem. 65, 441-473.
  • 52.
    Glicoproteína ligando Glicoproteína de integrina ligando de P-selectina Integrina P-selectina Linfocito T libre Célula endotelial Rodadura del capilar Adhesión Lugar de inflamación Extravasación Corriente sanguínea
  • 54.
    Virus Bacteria Linfocito Cadena de oligosacáridos Proteína de la Membrana Toxina Plasmática Glicolípidos P-Selectina (c) (b) (d) (a) (e)
  • 55.
    Glicoproteína o Glicolípido Liberación de oligosacáridos con endoglicosidasa Mezcla de oligosacáridos 1) Cromatografía de intercambio iónico 2) Filtración en gel 3) Cromatografía de afinidad a Lectina Polisacáridos oligosacáridos purificados separados Hidrólisis enzimática Hidrólisis con Metilación completa RMN y con glucosidasas ácido fuerte con CH3I, base fuerte espectrometría específicas de masas Carbohidratos completamente Pequeños Monosacáridos oligosacáridos metilados Resolución de framentos Hidrólisis ácida con Cromatografía en líquido en la mezcla producción de de alta resolución o monosacáridos metilados en Cada oligosacárido se derivación a cada –OH excepto los somete a metilación o cromatografía gas-líquido implicados en los enlaces análisis enzimático glucosídicos Composición de la Secuencia de Secuencia de mezcla monosacáridos; monosacáridos; Posición(es) de posición y Tipos y número de posición y enlaces glucosídicos configuración de monosacáridos configuración de enlaces glucosídicos enlaces glucosídicos