Lípidos
Lic. TM Christiam Efrain Albornos Andrade
Instituto Superior Daniel A. Carrión
Curso: Bioquímica General
Introducción
 Ruta central en el metabolismo energético
de las grasas.
 Hígado: el acetil coA puede llegar a formar
cuerpos cetonicos.
 Degradación de las grasas:
Oxidación de los ácidos grasos cada 2 C
Oxidación del acetil coA
Transferencia de electrones
Digestión, Movilización y
Transporte
 Fuentes: grasa de la dieta, las almacenadas en
las células y las que se sintetizan en un órgano
y se exportan a otro.
 Vertebrados: obtiene de la dieta, se almacena
en el tejido adiposo y el hígado convierte en
grasas los glúcidos que se encuentran en
exceso.
 TG: cubren mas de la mitad de energía en el
cuerpo.
Apolipoproteinas
 Ayudan a al transporte de TG,
fosfolípidos, colesterol y esteres de
colesterol.
 Tenemos:
 Quilomicrones
 VLDL
 LDL
 HDL
Las hormonas activan la
movilización de TG almacenados
 Hormonas encargadas de movilización son:
adrenalina y glucagón.
 Causan un aumento del AMPc
 Activa a la triacilglicerol lipasa (tejido adiposo)
 Unión a la albumina y son llevados a los tejidos
periféricos como: músculo esquelético, corazón,
corteza renal (b-oxidacion)
 Glicerol en convertido a G-3P por la glicerol
quinasa.
Los ácidos grasos son activados y
transportados al interior de las
mitocondrias
 Membrana externa: grupo de las acil-Coa
sintetasas. Adicionan un grupo CoA al
acido graso formando un acil graso-CoA
 El grupo acil graso se une a la
CARNITINA y este complejo acil-carnitina
es transportado dentro de la matriz por su
respectivo transportador
 Carnitina aciltransferasa I: cara externa
de la membrana interna. Favorece la
transesterificaicon.
 En la matriz: Carnitina aciltransferasa II
que se encuentra en la cara interna
regenera el acil graso-CoA
B-oxidación
 Lugar: Matriz mitocondrial
 Se da en 3 fases:
 Eliminación oxidativa cada 2 C formando
acetil CoA (extremo carboxilo)
 Oxidación de los acetil CoA formados en el
ciclo de Krebs
 Fase final es la transferencia de e- en la
membrana mitocondrial para la generación
final de ATPs.
La B-oxidacion de ac grasos
saturados se produce en 4 pasos
 Des hidrogenación para generar un enlace
doble. (Acil-CoA deshidrogenasa)
 Adición de agua al enlace doble (enoil CoA
hidratasa)
 Des hidrogenación por ax. de la B-
hidroxiacil-CoA deshidrogenasa
 Fragmentación por una tiolasa
 La cantidad de Acetil CoA que aporta
un ácidos graso de cadena par se
puede deducir con al siguiente formula:
n° de carbonos/2
 Ejemplo:
 Palmitoil-CoA (C16:0)
 Acetil CoA: 16/2, 8 Acetil CoA
La oxidación de ácidos grasos
insaturados necesita 2 rxns mas
 Las dos enzimas auxiliares son:
 Enoil CoA isomerasa (convierte el
doble enlace cis a trans)
 2,4 dienoil CoA reductasa
(poliinsaturados)
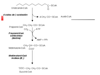
La oxidación de ácidos grasos
de cadena impar
 Este proceso necesita de 3 reacciones extras
 Propionato: encuentra en el crecimiento de
hongos en algún tipo de pan o cereal.
 Da como resultados dos moléculas al final del
proceso: acetil CoA y propionil CoA
 Para la utilizaicon del propionil CoA se necesitan
de 3 enzimas:
Propionil CoA carboxilasa (cofactor biotina)
Metilmalonil CoA epimerasa (formax
esteroisomero)
Metilmalonil CoA mutasa (reestructuracion)
Regulación de la oxidación
 Acil-CoA puede tomar dos rutas: la b-
oxidacion o la conversión a TG y fosfolípidos.
 Molécula reguladora en la oxidación: Malonil-
CoA
 Cuando del NADH+
esta elevado la b-
hidroxiacil CoA deshidrogenasa se inhibe.
 Altas concentraciones de acetil CoA inhiben
la tiolasa.
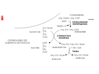
Cuerpos cetonicos
 El acetil CoA puede entrar al ciclo del acido cítrico
o pueden ser convertido en cuerpos cetonicos:
Acetoacetato, b-hidroxibutirato y acetona.
 Acetona es el único que se elimina por la
respiración.
 Acetoacetato y b-hidroxibutirato son llevados a
tejidos periféricos para su oxidación. (musculo
esquelético, musculo cardiaco, corteza renal y
cerebro)
 Al haber poca concentración de oxalacetato
estimula a la cetogenesis.
CETOGENESISCETOGENESIS
B  oxidacion

B oxidacion

  • 1.
    Lípidos Lic. TM ChristiamEfrain Albornos Andrade Instituto Superior Daniel A. Carrión Curso: Bioquímica General
  • 2.
    Introducción  Ruta centralen el metabolismo energético de las grasas.  Hígado: el acetil coA puede llegar a formar cuerpos cetonicos.  Degradación de las grasas: Oxidación de los ácidos grasos cada 2 C Oxidación del acetil coA Transferencia de electrones
  • 3.
    Digestión, Movilización y Transporte Fuentes: grasa de la dieta, las almacenadas en las células y las que se sintetizan en un órgano y se exportan a otro.  Vertebrados: obtiene de la dieta, se almacena en el tejido adiposo y el hígado convierte en grasas los glúcidos que se encuentran en exceso.  TG: cubren mas de la mitad de energía en el cuerpo.
  • 6.
    Apolipoproteinas  Ayudan aal transporte de TG, fosfolípidos, colesterol y esteres de colesterol.  Tenemos:  Quilomicrones  VLDL  LDL  HDL
  • 7.
    Las hormonas activanla movilización de TG almacenados  Hormonas encargadas de movilización son: adrenalina y glucagón.  Causan un aumento del AMPc  Activa a la triacilglicerol lipasa (tejido adiposo)  Unión a la albumina y son llevados a los tejidos periféricos como: músculo esquelético, corazón, corteza renal (b-oxidacion)  Glicerol en convertido a G-3P por la glicerol quinasa.
  • 8.
    Los ácidos grasosson activados y transportados al interior de las mitocondrias  Membrana externa: grupo de las acil-Coa sintetasas. Adicionan un grupo CoA al acido graso formando un acil graso-CoA  El grupo acil graso se une a la CARNITINA y este complejo acil-carnitina es transportado dentro de la matriz por su respectivo transportador
  • 9.
     Carnitina aciltransferasaI: cara externa de la membrana interna. Favorece la transesterificaicon.  En la matriz: Carnitina aciltransferasa II que se encuentra en la cara interna regenera el acil graso-CoA
  • 12.
    B-oxidación  Lugar: Matrizmitocondrial  Se da en 3 fases:  Eliminación oxidativa cada 2 C formando acetil CoA (extremo carboxilo)  Oxidación de los acetil CoA formados en el ciclo de Krebs  Fase final es la transferencia de e- en la membrana mitocondrial para la generación final de ATPs.
  • 13.
    La B-oxidacion deac grasos saturados se produce en 4 pasos  Des hidrogenación para generar un enlace doble. (Acil-CoA deshidrogenasa)  Adición de agua al enlace doble (enoil CoA hidratasa)  Des hidrogenación por ax. de la B- hidroxiacil-CoA deshidrogenasa  Fragmentación por una tiolasa
  • 15.
     La cantidadde Acetil CoA que aporta un ácidos graso de cadena par se puede deducir con al siguiente formula: n° de carbonos/2  Ejemplo:  Palmitoil-CoA (C16:0)  Acetil CoA: 16/2, 8 Acetil CoA
  • 16.
    La oxidación deácidos grasos insaturados necesita 2 rxns mas  Las dos enzimas auxiliares son:  Enoil CoA isomerasa (convierte el doble enlace cis a trans)  2,4 dienoil CoA reductasa (poliinsaturados)
  • 19.
    La oxidación deácidos grasos de cadena impar  Este proceso necesita de 3 reacciones extras  Propionato: encuentra en el crecimiento de hongos en algún tipo de pan o cereal.  Da como resultados dos moléculas al final del proceso: acetil CoA y propionil CoA  Para la utilizaicon del propionil CoA se necesitan de 3 enzimas: Propionil CoA carboxilasa (cofactor biotina) Metilmalonil CoA epimerasa (formax esteroisomero) Metilmalonil CoA mutasa (reestructuracion)
  • 21.
    Regulación de laoxidación  Acil-CoA puede tomar dos rutas: la b- oxidacion o la conversión a TG y fosfolípidos.  Molécula reguladora en la oxidación: Malonil- CoA  Cuando del NADH+ esta elevado la b- hidroxiacil CoA deshidrogenasa se inhibe.  Altas concentraciones de acetil CoA inhiben la tiolasa.
  • 22.
    Cuerpos cetonicos  Elacetil CoA puede entrar al ciclo del acido cítrico o pueden ser convertido en cuerpos cetonicos: Acetoacetato, b-hidroxibutirato y acetona.  Acetona es el único que se elimina por la respiración.  Acetoacetato y b-hidroxibutirato son llevados a tejidos periféricos para su oxidación. (musculo esquelético, musculo cardiaco, corteza renal y cerebro)  Al haber poca concentración de oxalacetato estimula a la cetogenesis.
  • 23.