República Bolivariana de Venezuela
Ministerio del Poder Popular Para la Educación
Instituto Universitario Antonio José de Sucre
Facultad: Tecnología de la Construcción Civil
Materia: Matemática IV
Transformada de Laplace
Ingeniero:
Rondón , Ranielina
Bachiller:
Marín, Diego
C.I: v-26346140
24/07/2016
La transformada de Laplace es un tipo de transformada integral frecuentemente usada para la resolución
de ecuaciones diferenciales ordinarias. La transformada de Laplace de una función f(t) definida
(en ecuaciones diferenciales, en análisis matemático o en análisis funcional) para todos los números
positivos t≥ 0, es la función F(s), definida por:
TRANSFORMADA DE LAPLACE
siempre y cuando la integral esté definida. Cuando f(t) no es una función, sino una distribución con una
singularidad en 0, la definición es
Cuando se habla de la transformada de Laplace, generalmente se refiere a la versión unilateral. También
existe la transformada de Laplace bilateral, que se define como sigue:
La transformada de Laplace F(s) típicamente existe para todos los números reales s > a, donde a es una
constante que depende del comportamiento de crecimiento de f(t).
es llamado el operador de la transformada de Laplace
APLICACIÓN DE TRANSFORMADA DE LAPLACE
La Transformada de Laplace es una herramienta útil para resolver ecuaciones y sistemas de
ecuaciones diferenciales lineales con coeficientes constantes. Como comentamos en la introducción
del tema, estas ecuaciones aparecen de forma natural en la teoría de circuitos eléctricos. Para ilustrar
el método, consideremos el siguiente ejemplo: la ecuación
y’’ + y = cost
junto con las condiciones iníciales
y(0) = 0; y’ (0) = 1.
Básicamente se trata de aplicar la Transformada de Laplace y sus propiedades a (2.1) de manera que
teniendo en cuenta (2.2), nuestro problema se convierte en el problema algebraico
de donde
Una vez obtenida L[y], hemos de usar la Transformada inversa para volver atrás y recuperar la solución
del problema y. En este caso, L[y] satisface las condiciones del Teorema 14, por lo que
una vez realizados los cálculos.
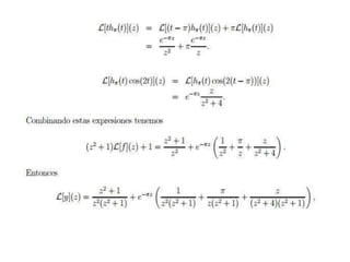
USO DE LA CONVOLUCIÓN
Otra forma de abordar el problema anterior, sin necesidad de tener que calcular la Transformada de
Laplace de la función coseno es la siguiente. Consideremos los cálculos realizados anteriormente, pero
sin obtener L[f](z) donde f(t) = cost. Nos quedará entonces la ecuación algebraica
de donde
Entonces
que era la solución obtenida anteriormente.
Así, el uso del producto de convolución presenta una vía alternativa para la resolución de estos problemas,
aunque a veces el cálculo de las integrales que aparecen en el producto de convolución pueden ser
bastante complicado.
SISTEMAS DE ECUACIONES
Supongamos que tenemos un sistema de ecuaciones lineales de la forma
y’ (t) = A · y(t)+f(t) (2.3)
donde A es una matriz cuadrada de n filas por n columnas con coeficientes reales, f = (f1, f2, ..., fn)t
donde fi son funciones dadas e y = (y1, y2, ..., yn)t es la función vectorial incógnita.
Supongamos además las condiciones iniciales y(0) = y0 (2.4)
PROBLEMAS CON FUNCIONES DISCONTINUAS
Tabla de transformada de Laplace
Ejercicio: 1
Ejercicio: 2
Transformada inversa de Laplace
Aplicación de la transformada inversa de Laplace
Ecuaciones diferenciales ordinarias con coeficientes constantes:
La transformada de Laplace presenta gran utilidad para resolver ecuaciones diferenciales
con coeficientes constantes supongamos por ejemplo que queremos resolver la ecuación
diferencial de segundo orden:
donde & son constantes sometidas a ciertas condiciones iniciales o condiciones de
frontera:
Donde A & B son constantes dadas. Tomando la transformada de Laplace a cada lado de la
ecuación diferencial y usando las condiciones de frontera obtenemos una ecuación
algebraica para determinar . La solución requerida se obtiene al calcular la transformada
inversa de Laplace de y(s) . Este método se puede extender fácilmente a ecuaciones
diferenciales de orden superior.
Uso de la transformada de Laplace en el análisis de circuitos:
Sea una función de excitación dada por:
la cual, junto con la expresión para la transformada inversa ,establece una correspondencia
uno a uno entre v(t) & V(s). Es decir, para toda v(t) para la cual V(s) existe, esta V(s) es
única.
De esta manera se establece una poderosa herramienta para la solución de circuitos
Tabla de transformada inversa de Laplace
Ejercicio: 1
Ejercicio: 2

Diego 2

  • 1.
    República Bolivariana deVenezuela Ministerio del Poder Popular Para la Educación Instituto Universitario Antonio José de Sucre Facultad: Tecnología de la Construcción Civil Materia: Matemática IV Transformada de Laplace Ingeniero: Rondón , Ranielina Bachiller: Marín, Diego C.I: v-26346140 24/07/2016
  • 2.
    La transformada deLaplace es un tipo de transformada integral frecuentemente usada para la resolución de ecuaciones diferenciales ordinarias. La transformada de Laplace de una función f(t) definida (en ecuaciones diferenciales, en análisis matemático o en análisis funcional) para todos los números positivos t≥ 0, es la función F(s), definida por: TRANSFORMADA DE LAPLACE siempre y cuando la integral esté definida. Cuando f(t) no es una función, sino una distribución con una singularidad en 0, la definición es Cuando se habla de la transformada de Laplace, generalmente se refiere a la versión unilateral. También existe la transformada de Laplace bilateral, que se define como sigue: La transformada de Laplace F(s) típicamente existe para todos los números reales s > a, donde a es una constante que depende del comportamiento de crecimiento de f(t). es llamado el operador de la transformada de Laplace
  • 3.
    APLICACIÓN DE TRANSFORMADADE LAPLACE La Transformada de Laplace es una herramienta útil para resolver ecuaciones y sistemas de ecuaciones diferenciales lineales con coeficientes constantes. Como comentamos en la introducción del tema, estas ecuaciones aparecen de forma natural en la teoría de circuitos eléctricos. Para ilustrar el método, consideremos el siguiente ejemplo: la ecuación y’’ + y = cost junto con las condiciones iníciales y(0) = 0; y’ (0) = 1. Básicamente se trata de aplicar la Transformada de Laplace y sus propiedades a (2.1) de manera que teniendo en cuenta (2.2), nuestro problema se convierte en el problema algebraico de donde Una vez obtenida L[y], hemos de usar la Transformada inversa para volver atrás y recuperar la solución del problema y. En este caso, L[y] satisface las condiciones del Teorema 14, por lo que una vez realizados los cálculos.
  • 4.
    USO DE LACONVOLUCIÓN Otra forma de abordar el problema anterior, sin necesidad de tener que calcular la Transformada de Laplace de la función coseno es la siguiente. Consideremos los cálculos realizados anteriormente, pero sin obtener L[f](z) donde f(t) = cost. Nos quedará entonces la ecuación algebraica de donde Entonces que era la solución obtenida anteriormente. Así, el uso del producto de convolución presenta una vía alternativa para la resolución de estos problemas, aunque a veces el cálculo de las integrales que aparecen en el producto de convolución pueden ser bastante complicado.
  • 5.
    SISTEMAS DE ECUACIONES Supongamosque tenemos un sistema de ecuaciones lineales de la forma y’ (t) = A · y(t)+f(t) (2.3) donde A es una matriz cuadrada de n filas por n columnas con coeficientes reales, f = (f1, f2, ..., fn)t donde fi son funciones dadas e y = (y1, y2, ..., yn)t es la función vectorial incógnita. Supongamos además las condiciones iniciales y(0) = y0 (2.4)
  • 7.
  • 10.
  • 11.
  • 12.
  • 13.
  • 14.
    Aplicación de latransformada inversa de Laplace Ecuaciones diferenciales ordinarias con coeficientes constantes: La transformada de Laplace presenta gran utilidad para resolver ecuaciones diferenciales con coeficientes constantes supongamos por ejemplo que queremos resolver la ecuación diferencial de segundo orden: donde & son constantes sometidas a ciertas condiciones iniciales o condiciones de frontera: Donde A & B son constantes dadas. Tomando la transformada de Laplace a cada lado de la ecuación diferencial y usando las condiciones de frontera obtenemos una ecuación algebraica para determinar . La solución requerida se obtiene al calcular la transformada inversa de Laplace de y(s) . Este método se puede extender fácilmente a ecuaciones diferenciales de orden superior. Uso de la transformada de Laplace en el análisis de circuitos: Sea una función de excitación dada por: la cual, junto con la expresión para la transformada inversa ,establece una correspondencia uno a uno entre v(t) & V(s). Es decir, para toda v(t) para la cual V(s) existe, esta V(s) es única. De esta manera se establece una poderosa herramienta para la solución de circuitos
  • 15.
    Tabla de transformadainversa de Laplace
  • 16.
  • 17.