DISTRIBUCIÓN
NORMAL
ESTADISTICA I
MALENY ROCIO TRIANA ORTEGA
PROCESOS INDUSTRIALES ÁREA
MANUFACTURA
COMO SER MEJOR
APLICANDO UNA
DISTRIBUCIÓN
NORMAL
“UNA COMPETENCIA ES
LA INTEGRACIÓN DE
HABILIDADES,
CONOCIMIENTOS Y
ACTITUDES EN UN
CONTEXTO ESPECÍFICO “
¿QUÉ ES UNA
DISTRIBUCIÓN?
Es un método variable
que se utiliza para medir
una aproximación de un
hecho.
DISTRIBUCIÓN NORMAL
(CONCEPTO)
CONOCIDA COMO DISTRIBUCIÓN DE GAUSS
ES UNA DE LAS DISTRIBUCIONES QUE MAS SE UTILIZA EN
LA ESTADISTICA
ES TAMBIÉN UNA DISTRIBUCIÓN CONTINUA
LA MEDIA DE UNA VARIABLE ALEATORIA
NORMAL PUEDE TENER CUALQUIER VALOR Y LA
VARIANZA CUALQUIER VALOR POSITIVO.
DENOMINADA CURVA NORMAL, ES LA CURVA CON
FORMA DE CAMPANA
LA CUAL DESCRIBE DE MANERA APROXIMADA MUCHOS
FENOMENOS
QUE OCURREN EN LA NATURALEZA, LA INDUSTRIA Y LA
INVESTIGACION
OBJETIVOS DE LA
DISTRIBUCIÓN NORMAL
• ENTENDER EL CONCEPTO DE VARIABLE ALEATORIA
CONTINUA
• CONOCER LAS CARACTERÍSTICAS DE LA DISTRIBUCIÓN
DE PROBABILIDAD NORMAL
• SABER DETERMINAR LA PROBABILIDAD DE QUE UNA
OBSERVACIÓN SE ENCUENTRE ENTRE DOS PUNTOS
UTILIZANDO LA DISTRIBUCIÓN DE PROBABILIDAD NORMAL
• SABER DETERMINAR LA PROBABILIDAD DE QUE UNA
OBSERVACIÓN ESTÉ POR ENCIMA (O POR DEBAJO) DE UN
CIERTO VALOR UTILIZANDO LA DISTRIBUCIÓN DE
PROBABILIDAD NORMAL
• APRENDER A COMPARAR OBSERVACIONES QUE SE
ENCUENTRAN EN DIFERENTES DISTRIBUCIONES DE
PROBABILIDAD
• SER CAPAZ DE UTILIZAR LA DISTRIBUCIÓN NORMAL PARA
APROXIMAR LA DISTRIBUCIÓN DE PROBABILIDAD BINOMIAL
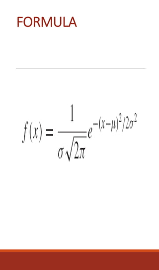
FORMULA
COMO DEBE SER UNA GRÁFICA DE
DISTRIBUCIÓN NORMAL
LA DISTRIBUCIÓN DE PROBABILIDAD NORMAL Y LA CURVA
NORMAL QUE LA REPRESENTA, TIENEN LAS SIGUIENTES
CARACTERÍSTICAS:
• LA CURVA NORMAL TIENE FORMA DE CAMPANA Y UN
SOLO PICO EN EL CENTRO DE LA DISTRIBUCIÓN. DE ESTA
MANERA, LA MEDIA ARITMÉTICA, LA MEDIANA Y LA MODA
DE LA DISTRIBUCIÓN SON IGUALES Y SE LOCALIZAN EN
EL PICO. ASÍ, LA MITAD DEL ÁREA BAJO LA CURVA SE
ENCUENTRA A LA DERECHA DE ESTE PUNTO CENTRAL Y
LA OTRA MITAD ESTÁ A LA IZQUIERDA DE DICHO PUNTO.
• LA DISTRIBUCIÓN DE PROBABILIDAD NORMAL ES
SIMÉTRICA ALREDEDOR DE SU MEDIA.
• LA CURVA NORMAL DESCIENDE SUAVEMENTE EN
AMBAS DIRECCIONES A PARTIR DEL VALOR CENTRAL. ES
ASINTÓTICA, LO QUE QUIERE DECIR QUE LA CURVA SE
ACERCA CADA VEZ MÁS AL EJE X PERO JAMÁS LLEGA A
TOCARLO. ES DECIR, LAS “COLAS” DE LA CURVA SE
EXTIENDEN DE MANERA INDEFINIDA EN AMBAS
DIRECCIONES.
GRÁFICA
INTERPRETACIÓN
GRÁFICA
REPRESENTA LAS SITUACIONES QUE
OCURREN EN DIFERENTES ASPECTOS TALES
COMO LA NATURALEZA , LA INDUSTRIA Y
TEMAS DE INVESTIGACIÓN IMPORTANTES .
NOS PRESENTA LA FUNCIONALIDAD DEL
HECHO Y LAS PROBABILIDADES ACERCADAS
AL TEMA .
NOS SIRVE PARA CONOCER LAS SITUACIONES
QUE OCURREN EN TIEMPO REAL.LA
VARIABILIDAD DE HECHOS ,TEMAS QUE
TRANSCURREN , LA TENDENCIA QUE CADA
UNA PUEDE ARROJAR DENTRO DE UNA
POBLACIÓN.
La probabilidad de que
una variable aleatoria
(v. a.) X tome un valor
determinado entre dos
números reales a y b
coincide con el área
encerrada por la
función
DEFINICIÓN DE FUNCIÓN
DE DENSIDAD DE
PROBABILIDAD
DEFINICIÓN DE VARIABLE
ALEATORIA CONTINUA
UNA VARIABLE ALEATORIA CONTINUA
ES AQUELLA QUE PUEDE ASUMIR UN
NÚMERO INFINITO DE VALORES
DENTRO DE UN DETERMINADO RANGO.
POR EJEMPLO, EL PESO DE UNA
PERSONA PODRÍA SER 80.5, 80.52,
80.525,... DEPENDIENDO DE LA
PRECISIÓN DE LA BÁSCULA.
EJEMPLO
DE ELLO
PUEDE SER
LAS MEDICIONES FÍSICAS EN ÁREAS
COMO LOS EXPERIMENTOS
METEOROLÓGICOS, ESTUDIOS DE LA
PRECIPITACIÓN
PLUVIAL Y MEDICIONES DE PARTES
FABRICADAS A MENUDO SE
EXPLICAN MAS QUE
ADECUADAMENTE
CON UNA DISTRIBUCIÓN NORMAL.
EJEMPLODE
ELLOPUEDESER
LA DISTRIBUCIÓN
NORMAL ESTÁNDAR
Se observó que no existe una
sola distribución de
probabilidad normal, sino una
“familia” de
ellas. Como sabemos, cada
una de las distribuciones
puede tener una media (μ) o
una
desviación estándar distinta
(σ).
Por tanto, el número de
distribuciones normales es
ilimitado y sería imposible
proporcionar una tabla de
probabilidades para cada
combinación de μ y σ.
EJERCICIOS
46 -18 6,092E-08
48 -15,125 1,0798E-06
50 -12,5 1,4907E-05
52 -10,125 0,00016026
54 -8 0,00134185
56 -6,125 0,00874996
58 -4,5 0,04443599
60 -3,125 0,17574773
62 -2 0,54134113
64 -1,125 1,29860987
66 -0,5 2,42612264
68 -0,125 3,52998761
70 0 4
72 -0,125 3,52998761
74 -0,5 2,42612264
76 -1,125 1,29860987
78 -2 0,54134113
80 -3,125 0,17574773
82 -4,5 0,04443599
84 -6,125 0,00874996
86 -8 0,00134185
88 -10,125 0,00016026
90 -12,5 1,4907E-05
92 -15,125 1,0798E-06
94 -18 6,092E-08
X (x-µ)²/2σ² F(x)
MEDIA µ 70
VARIANZA σ 4
varianza
1/σ?2π 0,09973557
(x-µ)²/2σ² -28952,9179
DISPERSIÓN
-1
0
1
2
3
4
5
0 20 40 60 80 100
DISPERSIÓN
PROBLEMAS EJEMPLOS
UN PRODUCTO DE UNA
EMPRESA SE DISTRIBUYE
DE MANERA NORMAL CON
UN PESO PROMEDIODE 90 g
Y UNA DESVIACIÓN
ESTÁNDAR DE 6.4 g.
CALCULAR LA
PROBABILIDAD DE QUE UN
LOTE DE PRODUCTOS
SELECCIONADOS
ALEATORIAMENTE TENGA :
A) ENTRE 80 Y 90g
B) ENTRE 80 Y 95 g
C) ENTRE 75 Y 85 g
D) MÁS DE 97.5 g
E) MENOS DE 77.5 g
Z=90-80/6.4= 1.56 =0.4406 O BIEN 44.06%
ENTRE 80 Y 90 g
ENTRE 80 Y 95 g
Z¹=80-90/6.4=1.56 =0.4406
Z²=95-90/6.4=0.78 =0.2823
0.4406+0.2823 = 72.29%
ENTRE 75 Y 85 g
Z¹=75-90/6.4=2.34 =0.4904
Z²=85-90/6.4=0.78 =0.2823
0.4904-0.2823=0.2081 0 BIEN 20.51%
MÁS DE 97.5 g
DISPERSIÓN
-1
0
1
2
3
4
5
0 20 40 60 80 100
DISPERSIÓN
Z=97.5-90/6.4= 1.17
0.5-0.3790=0.121 0 BIEN 12.1%
MENOS DE 77.5 g
Z=77.5-90/6.4= 12.5/6.4=1.92=0.4926
= 0.0274= 2.74%
EJEMPLO
LAS ALTURAS DE 1000 ESTUDIANTES
SE DISTRIBUYEN NORMALMENTE CON
UNA MEDIA DE 174.5 cm Y UNA
DESVIACIÓN ESTÁNDAR DE 6.9 cm
¿CUÁNTOS DE ESTOS ESTUDIANTES
SE ESPERARÍA QUE TUVIERAN
ALTURAS?
A) MENORES DE 160 cm
B) MAYORES 171.5 cm Y 182 cm
C) MAYORES DE 165 cm
D) ENTRE 174.5 cm Y 180 cm
E) ENTRE 180 cm Y 195 cm
F) MENORES DE 185 cm
G)¿CUÁL ES LA PROBABILIDAD DE
QUE CINCO ESTUDIANTES , AL MENOS
3 MIDAN 180 cm ?
H) ¿CUÁL ES LA PROBABILIDAD DE
QUE TRES ESTUDIANTES , NINGUNO
MIDA MENOS DE 160 cm?
A) MENORES DE 160 cm
Z=X-MEDIA /DESVIACIÓN
ESTÁNDAR
Z=100-174.5/6.9=14.5/6.9=2.10
0.4821-0.5000= 0.0179 =18
ESTUDIANTES
B) MAYORES 171.5 cm Y
182 cm
Z¹=174.5-175.1/6.9=0.4347
0.1664
BIEN 16 ESTUDIANTES
C) MAYORES DE 165 cm
Z=165-174.5/6.9=-9.5/6.9=-1.37
0.4147+0.5000=0.9147 QUE ES
IGUAL A 915 ESTUDIANTES
DENTRO DE ESTE RANGO
D) ENTRE 174.5 cm Y 180 cm
E) ENTRE 180 cm Y 195 cm
F) MENORES DE 185 cm
Z=185-174.5/6.9=10.5/6.9=1.52
1.52=0.4357
0.4357+0.5000=0.9357
935.7 BIEN 936 ESTUDIANTES
DENTRO DEL RANGO
G)¿CUÁL ES LA PROBABILIDAD DE
QUE CINCO ESTUDIANTES , AL
MENOS 3 MIDAN 180 cm ?
H) ¿CUÁL ES LA PROBABILIDAD DE
QUE TRES ESTUDIANTES ,
NINGUNO MIDA MENOS DE 160 cm?
G)5/215 3/5 = 3/215= 1.3%
H)982/1000.981/999.980/998
=974075160/997002000=
0.94
94%
EJERCICIO
UNA ESTACIÓN DE RADIO
ENCONTRÓ QUE EL TIEMPO DE
SINTONÍA QUE EMPLEAN LOS
RADIOESCUCHA SIGUE UNA
DISTRIBUCIÓN NORMAL , EL
TIEMPO PROMEDIO QUE UNA
PERSONA SINTONIZA ESA
ESTACIÓN ES DE 15 MINUTOS
CON UNA
DESVIACIÓNESTÁNDAR DE 3.5
MINUTOS ¿CUÁL ES LA
PROBABILIDAD DE QUE UN
RADIOESCUCHA SINTONICE LA
ESTACIÓN POR :
¿CUÁL ES LA PROBABILIDAD DE
QUE OCHO RADIOESCUCHA , AL
MENOS 7 RADIOESCUCHAS
SINTONICEN LA ESTACIÓN POR
MÁS DE CINCO MINUTOS?
5 -15/3.5= -2.85=(0.4978)
0.5000+0.4978
=0.9978 = BIEN O IGUAL A 99.78%
EJERCICIO
LOS FOCOS TIENEN UN PROMEDIO DE
VIDA DE 500 HRS , CON UNA
DESVIACIÓN ESTANDAR DE 100 HRS .
EL TIEMPO DE VIDA DE UN FOCO
PUEDE APROXIMARSE POR MEDIO DE
UNA CURVA NORMAL ,UN PARQUE DE
DIVERSIONES COMPRA E INSTALA
10,000 DE ESTOS . ENCUENTRA EL
NUMERO DE FOCOS QUE PUEDE
ESPERARSE QUE DUREN LAS
SIGUIENTES CANTIDADES DE TIEMPO;
A) POR LO MENOS 500 HRS
B) ENTRE 500 HRS Y 650 HRS
C) ENTRE 650 Y 780 HRS
A) POR LO MENOS 500 HRS
B) ENTRE 500 HRS Y 650 HRS
C) ENTRE 650 Y 780 HRS
CONCLUSIÓN
EL SABIO , EL TORPE Y
EL QUE DEPLANO NO
SABE NADA ES AQUEL
QUIEN INTENTA
REALIZAR LAS COSAS
AUNQUE TENGA
ERRORES.

Distribución normal

  • 1.
    DISTRIBUCIÓN NORMAL ESTADISTICA I MALENY ROCIOTRIANA ORTEGA PROCESOS INDUSTRIALES ÁREA MANUFACTURA
  • 2.
    COMO SER MEJOR APLICANDOUNA DISTRIBUCIÓN NORMAL “UNA COMPETENCIA ES LA INTEGRACIÓN DE HABILIDADES, CONOCIMIENTOS Y ACTITUDES EN UN CONTEXTO ESPECÍFICO “
  • 3.
    ¿QUÉ ES UNA DISTRIBUCIÓN? Esun método variable que se utiliza para medir una aproximación de un hecho.
  • 4.
    DISTRIBUCIÓN NORMAL (CONCEPTO) CONOCIDA COMODISTRIBUCIÓN DE GAUSS ES UNA DE LAS DISTRIBUCIONES QUE MAS SE UTILIZA EN LA ESTADISTICA ES TAMBIÉN UNA DISTRIBUCIÓN CONTINUA LA MEDIA DE UNA VARIABLE ALEATORIA NORMAL PUEDE TENER CUALQUIER VALOR Y LA VARIANZA CUALQUIER VALOR POSITIVO. DENOMINADA CURVA NORMAL, ES LA CURVA CON FORMA DE CAMPANA LA CUAL DESCRIBE DE MANERA APROXIMADA MUCHOS FENOMENOS QUE OCURREN EN LA NATURALEZA, LA INDUSTRIA Y LA INVESTIGACION
  • 5.
    OBJETIVOS DE LA DISTRIBUCIÓNNORMAL • ENTENDER EL CONCEPTO DE VARIABLE ALEATORIA CONTINUA • CONOCER LAS CARACTERÍSTICAS DE LA DISTRIBUCIÓN DE PROBABILIDAD NORMAL • SABER DETERMINAR LA PROBABILIDAD DE QUE UNA OBSERVACIÓN SE ENCUENTRE ENTRE DOS PUNTOS UTILIZANDO LA DISTRIBUCIÓN DE PROBABILIDAD NORMAL • SABER DETERMINAR LA PROBABILIDAD DE QUE UNA OBSERVACIÓN ESTÉ POR ENCIMA (O POR DEBAJO) DE UN CIERTO VALOR UTILIZANDO LA DISTRIBUCIÓN DE PROBABILIDAD NORMAL • APRENDER A COMPARAR OBSERVACIONES QUE SE ENCUENTRAN EN DIFERENTES DISTRIBUCIONES DE PROBABILIDAD • SER CAPAZ DE UTILIZAR LA DISTRIBUCIÓN NORMAL PARA APROXIMAR LA DISTRIBUCIÓN DE PROBABILIDAD BINOMIAL
  • 6.
  • 7.
    COMO DEBE SERUNA GRÁFICA DE DISTRIBUCIÓN NORMAL LA DISTRIBUCIÓN DE PROBABILIDAD NORMAL Y LA CURVA NORMAL QUE LA REPRESENTA, TIENEN LAS SIGUIENTES CARACTERÍSTICAS: • LA CURVA NORMAL TIENE FORMA DE CAMPANA Y UN SOLO PICO EN EL CENTRO DE LA DISTRIBUCIÓN. DE ESTA MANERA, LA MEDIA ARITMÉTICA, LA MEDIANA Y LA MODA DE LA DISTRIBUCIÓN SON IGUALES Y SE LOCALIZAN EN EL PICO. ASÍ, LA MITAD DEL ÁREA BAJO LA CURVA SE ENCUENTRA A LA DERECHA DE ESTE PUNTO CENTRAL Y LA OTRA MITAD ESTÁ A LA IZQUIERDA DE DICHO PUNTO. • LA DISTRIBUCIÓN DE PROBABILIDAD NORMAL ES SIMÉTRICA ALREDEDOR DE SU MEDIA. • LA CURVA NORMAL DESCIENDE SUAVEMENTE EN AMBAS DIRECCIONES A PARTIR DEL VALOR CENTRAL. ES ASINTÓTICA, LO QUE QUIERE DECIR QUE LA CURVA SE ACERCA CADA VEZ MÁS AL EJE X PERO JAMÁS LLEGA A TOCARLO. ES DECIR, LAS “COLAS” DE LA CURVA SE EXTIENDEN DE MANERA INDEFINIDA EN AMBAS DIRECCIONES.
  • 8.
  • 9.
    INTERPRETACIÓN GRÁFICA REPRESENTA LAS SITUACIONESQUE OCURREN EN DIFERENTES ASPECTOS TALES COMO LA NATURALEZA , LA INDUSTRIA Y TEMAS DE INVESTIGACIÓN IMPORTANTES . NOS PRESENTA LA FUNCIONALIDAD DEL HECHO Y LAS PROBABILIDADES ACERCADAS AL TEMA . NOS SIRVE PARA CONOCER LAS SITUACIONES QUE OCURREN EN TIEMPO REAL.LA VARIABILIDAD DE HECHOS ,TEMAS QUE TRANSCURREN , LA TENDENCIA QUE CADA UNA PUEDE ARROJAR DENTRO DE UNA POBLACIÓN.
  • 10.
    La probabilidad deque una variable aleatoria (v. a.) X tome un valor determinado entre dos números reales a y b coincide con el área encerrada por la función DEFINICIÓN DE FUNCIÓN DE DENSIDAD DE PROBABILIDAD
  • 11.
    DEFINICIÓN DE VARIABLE ALEATORIACONTINUA UNA VARIABLE ALEATORIA CONTINUA ES AQUELLA QUE PUEDE ASUMIR UN NÚMERO INFINITO DE VALORES DENTRO DE UN DETERMINADO RANGO. POR EJEMPLO, EL PESO DE UNA PERSONA PODRÍA SER 80.5, 80.52, 80.525,... DEPENDIENDO DE LA PRECISIÓN DE LA BÁSCULA.
  • 12.
    EJEMPLO DE ELLO PUEDE SER LASMEDICIONES FÍSICAS EN ÁREAS COMO LOS EXPERIMENTOS METEOROLÓGICOS, ESTUDIOS DE LA PRECIPITACIÓN PLUVIAL Y MEDICIONES DE PARTES FABRICADAS A MENUDO SE EXPLICAN MAS QUE ADECUADAMENTE CON UNA DISTRIBUCIÓN NORMAL. EJEMPLODE ELLOPUEDESER
  • 13.
    LA DISTRIBUCIÓN NORMAL ESTÁNDAR Seobservó que no existe una sola distribución de probabilidad normal, sino una “familia” de ellas. Como sabemos, cada una de las distribuciones puede tener una media (μ) o una desviación estándar distinta (σ). Por tanto, el número de distribuciones normales es ilimitado y sería imposible proporcionar una tabla de probabilidades para cada combinación de μ y σ.
  • 14.
    EJERCICIOS 46 -18 6,092E-08 48-15,125 1,0798E-06 50 -12,5 1,4907E-05 52 -10,125 0,00016026 54 -8 0,00134185 56 -6,125 0,00874996 58 -4,5 0,04443599 60 -3,125 0,17574773 62 -2 0,54134113 64 -1,125 1,29860987 66 -0,5 2,42612264 68 -0,125 3,52998761 70 0 4 72 -0,125 3,52998761 74 -0,5 2,42612264 76 -1,125 1,29860987 78 -2 0,54134113 80 -3,125 0,17574773 82 -4,5 0,04443599 84 -6,125 0,00874996 86 -8 0,00134185 88 -10,125 0,00016026 90 -12,5 1,4907E-05 92 -15,125 1,0798E-06 94 -18 6,092E-08 X (x-µ)²/2σ² F(x)
  • 15.
    MEDIA µ 70 VARIANZAσ 4 varianza 1/σ?2π 0,09973557 (x-µ)²/2σ² -28952,9179 DISPERSIÓN -1 0 1 2 3 4 5 0 20 40 60 80 100 DISPERSIÓN
  • 16.
    PROBLEMAS EJEMPLOS UN PRODUCTODE UNA EMPRESA SE DISTRIBUYE DE MANERA NORMAL CON UN PESO PROMEDIODE 90 g Y UNA DESVIACIÓN ESTÁNDAR DE 6.4 g. CALCULAR LA PROBABILIDAD DE QUE UN LOTE DE PRODUCTOS SELECCIONADOS ALEATORIAMENTE TENGA : A) ENTRE 80 Y 90g B) ENTRE 80 Y 95 g C) ENTRE 75 Y 85 g D) MÁS DE 97.5 g E) MENOS DE 77.5 g
  • 17.
    Z=90-80/6.4= 1.56 =0.4406O BIEN 44.06% ENTRE 80 Y 90 g ENTRE 80 Y 95 g Z¹=80-90/6.4=1.56 =0.4406 Z²=95-90/6.4=0.78 =0.2823 0.4406+0.2823 = 72.29%
  • 18.
    ENTRE 75 Y85 g Z¹=75-90/6.4=2.34 =0.4904 Z²=85-90/6.4=0.78 =0.2823 0.4904-0.2823=0.2081 0 BIEN 20.51% MÁS DE 97.5 g DISPERSIÓN -1 0 1 2 3 4 5 0 20 40 60 80 100 DISPERSIÓN Z=97.5-90/6.4= 1.17 0.5-0.3790=0.121 0 BIEN 12.1%
  • 19.
    MENOS DE 77.5g Z=77.5-90/6.4= 12.5/6.4=1.92=0.4926 = 0.0274= 2.74%
  • 20.
    EJEMPLO LAS ALTURAS DE1000 ESTUDIANTES SE DISTRIBUYEN NORMALMENTE CON UNA MEDIA DE 174.5 cm Y UNA DESVIACIÓN ESTÁNDAR DE 6.9 cm ¿CUÁNTOS DE ESTOS ESTUDIANTES SE ESPERARÍA QUE TUVIERAN ALTURAS? A) MENORES DE 160 cm B) MAYORES 171.5 cm Y 182 cm C) MAYORES DE 165 cm D) ENTRE 174.5 cm Y 180 cm E) ENTRE 180 cm Y 195 cm F) MENORES DE 185 cm G)¿CUÁL ES LA PROBABILIDAD DE QUE CINCO ESTUDIANTES , AL MENOS 3 MIDAN 180 cm ? H) ¿CUÁL ES LA PROBABILIDAD DE QUE TRES ESTUDIANTES , NINGUNO MIDA MENOS DE 160 cm?
  • 21.
    A) MENORES DE160 cm Z=X-MEDIA /DESVIACIÓN ESTÁNDAR Z=100-174.5/6.9=14.5/6.9=2.10 0.4821-0.5000= 0.0179 =18 ESTUDIANTES
  • 22.
    B) MAYORES 171.5cm Y 182 cm Z¹=174.5-175.1/6.9=0.4347 0.1664 BIEN 16 ESTUDIANTES
  • 23.
    C) MAYORES DE165 cm Z=165-174.5/6.9=-9.5/6.9=-1.37 0.4147+0.5000=0.9147 QUE ES IGUAL A 915 ESTUDIANTES DENTRO DE ESTE RANGO
  • 24.
    D) ENTRE 174.5cm Y 180 cm
  • 25.
    E) ENTRE 180cm Y 195 cm
  • 26.
    F) MENORES DE185 cm Z=185-174.5/6.9=10.5/6.9=1.52 1.52=0.4357 0.4357+0.5000=0.9357 935.7 BIEN 936 ESTUDIANTES DENTRO DEL RANGO
  • 27.
    G)¿CUÁL ES LAPROBABILIDAD DE QUE CINCO ESTUDIANTES , AL MENOS 3 MIDAN 180 cm ? H) ¿CUÁL ES LA PROBABILIDAD DE QUE TRES ESTUDIANTES , NINGUNO MIDA MENOS DE 160 cm? G)5/215 3/5 = 3/215= 1.3% H)982/1000.981/999.980/998 =974075160/997002000= 0.94 94%
  • 28.
    EJERCICIO UNA ESTACIÓN DERADIO ENCONTRÓ QUE EL TIEMPO DE SINTONÍA QUE EMPLEAN LOS RADIOESCUCHA SIGUE UNA DISTRIBUCIÓN NORMAL , EL TIEMPO PROMEDIO QUE UNA PERSONA SINTONIZA ESA ESTACIÓN ES DE 15 MINUTOS CON UNA DESVIACIÓNESTÁNDAR DE 3.5 MINUTOS ¿CUÁL ES LA PROBABILIDAD DE QUE UN RADIOESCUCHA SINTONICE LA ESTACIÓN POR : ¿CUÁL ES LA PROBABILIDAD DE QUE OCHO RADIOESCUCHA , AL MENOS 7 RADIOESCUCHAS SINTONICEN LA ESTACIÓN POR MÁS DE CINCO MINUTOS?
  • 29.
  • 30.
    EJERCICIO LOS FOCOS TIENENUN PROMEDIO DE VIDA DE 500 HRS , CON UNA DESVIACIÓN ESTANDAR DE 100 HRS . EL TIEMPO DE VIDA DE UN FOCO PUEDE APROXIMARSE POR MEDIO DE UNA CURVA NORMAL ,UN PARQUE DE DIVERSIONES COMPRA E INSTALA 10,000 DE ESTOS . ENCUENTRA EL NUMERO DE FOCOS QUE PUEDE ESPERARSE QUE DUREN LAS SIGUIENTES CANTIDADES DE TIEMPO; A) POR LO MENOS 500 HRS B) ENTRE 500 HRS Y 650 HRS C) ENTRE 650 Y 780 HRS
  • 31.
    A) POR LOMENOS 500 HRS
  • 32.
    B) ENTRE 500HRS Y 650 HRS
  • 33.
    C) ENTRE 650Y 780 HRS
  • 34.
    CONCLUSIÓN EL SABIO ,EL TORPE Y EL QUE DEPLANO NO SABE NADA ES AQUEL QUIEN INTENTA REALIZAR LAS COSAS AUNQUE TENGA ERRORES.