FIBROMIALGIAS
DEFINICION
La fibromialgia está considerada como enfermedad por la Organización Mundial
de la Salud (OMS). Su etiología (causa) es desconocida y se caracteriza por dolor
crónico generalizado que se prolonga más de tres meses y que el paciente
localiza en el aparato locomotor.
Además, cuenta con áreas de hiperalgesia, es decir, puntos con dolor excesivo
para la maniobra de exploración efectuada. La fibromialgia pertenece a los
trastornos de sensibilización central, por lo que presenta alteraciones sensitivas y
emocionales en áreas cerebrales que deberían regular estas sensaciones.
Además del dolor, otros síntomas como fatiga intensa, alteraciones del sueño,
parestesias en extremidades, depresión, ansiedad, rigidez articular, cefaleas y
sensación de tumefacción en manos se encuentran entre las manifestaciones
clínicas más comunes. Aunque no se conoce la etiología de la fibromialgia, se
sabe que existe una serie de factores desencadenantes que cuando actúa sobre
un sujeto predispuesto genéticamente, incrementa la probabilidad de desarrollar
esta enfermedad
Este desconocimiento provoca que el diagnóstico de la
enfermedad se realice en base a la presencia de
manifestaciones clínicas y siempre tras descartar otras posibles
causas de esos síntomas. Además, la fibromialgia puede
acompañar a otras enfermedades, por lo que es importante
detectar éstas para tratar correctamente ambos procesos. Los
criterios de clasificación más utilizados para definir a los
pacientes en los ensayos clínicos, y que también se suelen usar
en las consultas para apoyar el diagnóstico, son los criterios
ACR. En la actualidad, los especialistas están llevando a cabo
diversos estudios para conseguir unos criterios que resulten
más útiles en la práctica clínica. La fibromialgia está incluida en
el grupo de reumatismos extra articulares.
HISTORIA
El término fibromialgia (del latín fibra, fibra, que se refiere al tejido conjuntivo,
del griego mio, músculo y algia, dolor) es relativamente reciente en la historia de la
descripción de esta enfermedad.
En 1750, el médico británico SIR RICHARD MANNINGHAM en su
publicación "Síntomas, naturaleza, causas y cura de la febrícula o fiebre pequeña:
comúnmente llamada fiebre nerviosa o histérica; la fiebre de los espíritus; vapores, hipo
o bazo", cita descripciones similares a las hechas por Hipócrates que podrían
corresponder a fibromialgia.
En 1843, el anatomista ALEMÁN ROBERT R. FLORIEP describe "puntos sensibles", en
su tratado de patología y terapia de los reumatismos donde propone una asociación
entre reumatismo y puntos dolorosos de músculos rígidos.
En 1881 el médico estadounidense GEORGE M. BEARD escribió un libro llamado
«American Nervousness» donde describe a pacientes con neurastenia que presentaban
pérdida de fortaleza, fatiga o cansancio de manera crónica, y en quienes se constata la
presencia de múltiples puntos dolorosos e hiperalgia.
En 1904, SIR WILLIAM R. GOWERS se refiere como "fibrositis" a una condición en que
asociaba el lumbago con dolores en los brazos y que él atribuía a "inflamación del tejido
fibroso del músculo". En ese mismo año, STOCKMAN, en Escocia, estudia un grupo de
pacientes con rigidez y "un movimiento muscular doloroso" en los cuales describe biopsias
musculares con "nódulos fibrosíticos".
En 1915, LLEWELLYN Y JONES, definen fibrositis como "un cambio inflamatorio del tejido
fibroso intersticial del músculo estriado".
En 1936, HENCH niega el origen inflamatorio de la fibrositis, y da comienzo al desarrollo
de las teorías acerca del origen psicológico de la enfermedad. HALLYDAY, en 1937,
también propone un origen psicológico de la fibrositis.
En 1946, el médico australiano MICHAEL KELLY publicó una serie de estudios de la
fibrositis basado en su propia experiencia de sufrir la enfermedad. En dichos trabajos,
refuerza el concepto de puntos sensibles como eje central del diagnóstico, y propone una
teoría ecléctica entre el origen psicológico y orgánico.
En 1947, BOLAND Y CORR, oficiales médicos del ejército estadounidense propusieron que la
fibrositis no era más que un "reumatismo psicógeno". PHILLIP ELLMAN, en 1950, junto con
DAVID SHAW, respaldan esta teoría. A partir del año 1963, se establece una escuela psico-
reumática donde se hace referencia al dolor por autoalimentación, en donde una personalidad
especial provoca una tensión mantenida que genera espasmo muscular y éste, a su vez, genera
dolor, completándose de esta manera el círculo estrés-espasmo-dolor.
En 1968, KRAFT, JOHNSON Y KABAM, establecen criterios diagnósticos basados en los puntos
sensibles, la dermatografía y el alivio con el enfriamiento a base de cloruro de etilo.
En 1972, HUGH SMYTHE describe la enfermedad en los términos modernos, "dolor
generalizado y puntos de sensibilidad".
En 1975, HARVEY MOLDOFSKY y el mismo SMYTHE, realizaron el primer estudio
con electroencefalogramas, donde descubrieron que los pacientes con fibrositis mostraban un
patrón de inclusión de ondas alfa, propias del sueño superficial, en el registro de ondas delta del
sueño profundo, dando la impresión de un sueño no reparador.
En 1976, HENCH propone el término de "fibromialgia", y lo define como una forma
de reumatismo no articular.
En 1992, la fibromialgia es reconocida como una enfermedad por la OMS y es
clasificada con el CÓDIGO M79.7 de la Clasificación Internacional de
Enfermedades, en cuya revisión CIE-10 la clasifica dentro de los reumatismos.
Afecta a las mujeres 10 veces más que los hombres.
Se observa mayoritariamente entre los 20 y los 50 años de edad,
aunque existen casos de niños y ancianos aquejados de esta
enfermedad.
Entre 10 y 20% de los ingresos a clínicas especializadas en
reumatología reciben el diagnóstico de fibromialgia, sin embargo
se estima que alrededor del 90% de quienes deberían
enmarcarse en un cuadro de fibromialgia permanecen sin
diagnóstico, ya sea por desconocimiento del personal sanitario
acerca de la misma o porque muchos profesionales de éstos no
la reconocen como enfermedad. Las personas con artritis
reumatoide y otras enfermedades autoinmunes tienden
particularmente a desarrollar fibromialgia.
FIBROMIALGIA CONCOMITANTE: Asociada en ocasiones a
otro trastorno.
FIBROMIALGIA REGIONAL O LOCALIZADA: El dolor se
encuentra circunscrito a una zona anatómica y, por tanto,
limitado a puntos continuos(es el caso del síndrome
miofascial)
FIBROMIALGIA PRIMARIA: Se caracteriza por dolor difuso y
puntos dolorosos a la presión en múltiples localizaciones, con
ausencia de una condición concomitante o subyacente que
pudiera explicar los signos y síntomas musculo esqueléticos.
FIBROMIALGIA SECUNDARIA: Esta ocasionada por una
enfermedad definida. Como por ejemplo la artritis reumatoide
o el hipotiroidismo, cuyo tratamiento mejora el proceso
fibromialgico.
SEGÚN INVESTIGADORES: ES UN PROBLEMA DE ORIGEN
CEREBRAL
SUELE “DESPERTAR”: FACTOR GATILLO O PROCESO
PUNTUAL COMO UNA:
 INFECCION BACTERIANA O VIRICA
 TX LEVE
 SITUACION DE ESTRES
ETIOPATOGENIA
ALTERACIONES NEUROENDOCRINAS
 SOBREPRODUCCION (ACTH) Y CORTISOL= DOLOR
 (TRH) Y (T3) EN EL N.T= CAMBIOS FASE SUEÑO P.=
FABRICA (HG):
• PROCESOS DE REPARACION MUSCULAR
• FALTA: MUSCULAR.
 CALCIO, CALCITONINA Y MAGNESIO
 PTH
 SUTANCIA P: TRANSM. DOLOR X N.T 5-HT (PERCEPCION ESTIMULOS
DOLOROSOS LOS INOCUOS)
ALTERACIONES INMUNOLOGICAS
SE PENSABA EN EL PRINCIPAL DESENCADENANTE:
 VEB, PARVOVIRUS, HV-6, COXACKIE B.
1990: ESTUDIO:
 29% PCTES CON VIH PRESENTABAN FIBROMIALGIA
 25% PCTES CON LYME PRESENTABAN FIBROMIALGIA
ACTUALMENTE: EL MODELO VIRICO DE FIBROMIALGIA ESTA
DESESTIMADO, NO HAY RELACIONADO DIRECTAMENTE ENTRE INFECCION
Y FIBROMIALGIA
ALTERACIONES MORFOLOGICAS
 CONTENIDO DE COLAGENO I.M QUE FAVORECEN MICROROTURAS
DEL MUSCULO
MUSCULOS 2 TIPOS NOCICEPTORES:
1. FIBRAS AMIELINICAS, RESP. ESTIM. QUIMICOS (K+,5-HT, CC DEL
MUSCULO)
2. FIBRAS MIELINICAS, RESP. PRESIONES Y DISTENCIONES FUERTES.
PCTES CON FIBROMIALGIA: TIENEN EXCESIVA SENSIBILIZACION DE
LOS NOCICEPTORES.
FACTORES GENETICOS
ASOCIACION FLAR IMPORTANTE:
 RIESGO 8,5 VECES >
FENOTIPOS GENETICOS MAS FRECUENTES EN EL ENFERMO:
 GEN REGULA LA EXPRESION ENZIMA CATECOL O METIL
TRANSFERASA EL GRAN REG. DE LA PROTEINA TRANSPORTADORA
DE 5-HT
FACTORES PSICOLOGICOS Y PSIQUIATRICOS
INFLUENCIADA POR FACTORES:
 BIOLOGICOS,PSICOLOGICOS,SOCIOLOGICOS
LOS PCTES PRESENTAN:
• TRASTORNOS PSIQUIATRICOS: (DEPRESION, ANSIEDAD, INSOMNIO,
FALTA DE [ ] Y MEMORIA, CEFALEAS)
• TODO ELLO ASOCIADO A TRAST. PERSONALIDAD
• COMORBILIDAD PSIQUIATRICA MAS ALTA QUE OTRAS ENF.
REUMATOLOGICAS
ASPECTOS CLAVE
LA ETIOLOGIA Y MECANISMOS EN LA FBM:
• POSIBLE ORIGEN CEREBRAL
• ALT.NEUROENDOCRINAS SP (ACTH Y CORTISOL)
• ALT. INMUNOLOGICAS: ACTUALMENTE EL MODELO VIRICO ESTATA
DESESTIMADO.
• ALT. MORFOLOGICAS: CONTENIDO DE COLAGENO IM.
• FACTORES GENETICOS: ALGUNOS FENOTIPOS GENETICOS SON +
FRECUENTES EN LOS ENFERMOS DE FBM
• ASPECTOS PSICOLOGICOS Y PSIQUIATRICOS: ESTADOS EMOCIONALES
DISPLACENTEROS, EN FORMA DE SINTOMATOLOGIA DEPRESIVA, Y
TRASTORNOS DE ANSIEDAD SON MAS FRECUENTES EN LOS ENFERMOS
CON FBM
CUADRO CLINICO
El síndrome puede ser desencadenado por cambios ocupacionales o de temperatura, infecciones, tensión
emocional y se presenta en personas con mala condición física.
FIBROMIALGIA REACTIVA: Es aquella que es seguida al trauma, cirugía o enfermedad medica.
TRIADA DE FIBROMIALGIA
CARACTERISTICAS CLINICAS
CARACTERISTICAS CLINICAS
El paciente puntúa sus síntomas específicos en una escala de 0-3. Estos síntomas
incluyen: Fatiga, sueño no reparador, síntomas somáticos, cognitivos, síntomas
generales (por ejemplo, dolor de cabeza, debilidad, problemas intestinales, náuseas,
mareos, entumecimiento/hormigueo, pérdida de cabello). Los números asignados a
cada uno se suman, para un total de 0-12. El diagnóstico se basa en la puntuación WPI
y la puntuación SS ya sea: WPI de al menos 7 y puntuación SS de al menos 5, o WPI de
3-6 y la puntuación SS de al menos 9.
SIGNOS Y SINTOMAS
ANAMNESIS FIBROMIALGIA
• Aparición, Inicio, localización,
irradiación, ritmo, intensidad.
• Antecedentes traumáticos, físicos
o psicológicos
• Respuesta a los analgésicos, a fin
de conocer tiempo de evolución y
causas desencadenantes.
• Nivel de apoyo social, incluyendo
las relaciones familiares y la
repercusión y/o condiciones en la
esfera socio-laboral.
• El síntoma clave es: dolor generalizado.
• El dolor se acompaña frecuentemente de: rigidez
articular matutina, parestesias en manos y pies,
fatigabilidad-astenia y alteraciones del sueño.
• Otros síntomas que con frecuencia acompañan a la FM
son: cefaleas, acúfenos, inestabilidad, alteraciones de la
concentración o de la memoria, disfunción temporo-
mandibular, dolor miofascial y clínica compatible con colon
irritable.
• Presentan: intolerancia a estímulos, olfativos y auditivos,
por lo que se deben recoger las condiciones del entorno
que puedan ser perjudiciales.
ANAMNESIS FIBROMIALGIA
DIAGNÓSTICO DIFERENCIAL
• El diagnóstico de FM es clínico, no apoyándose en ninguna prueba de
laboratorio ni hallazgo radiológico específico.
• Actualmente los hallazgos realizados con las nuevas tecnologías de neuro-
imagen, en muestras pequeñas de pacientes, están siendo utilizados en el
ámbito de los procesos de investigación de esta enfermedad.
• La valoración de pacientes con FM debe incluir el hemograma, la bioquímica
básica y los reactantes de fase aguda. La petición de otras pruebas
complementarias debe ser individualizada, en función del cuadro clínico, la
exploración física y la sospecha de una enfermedad asociada.
Laboratorio
• Hemograma
• Velocidad de sedimentación globular (VSG)
• Glucemia
• Creatinina
• Enzimas hepáticas: Transaminasas (AST/ALT), gamma-glutamiltranspeptidasa (GGT),
fosfatasa alcalina (FA)
• Creatincinasa (CK)
• Proteína C reactiva (PCR)
• Hormona estimuladora del tiroides (TSH)
Radiología
• Radiografía convencional de raquis y zonas dolorosas
PRUEBAS COMPLEMENTARIAS PARA DESCARTAR O CONFIRMAR
PATOLOGÍAS ASOCIADAS
ENFERMEDADES MÁS FRECUENTES QUE PUEDEN COMPARTIR MANIFESTACIONES CLÍNICAS CON
LA FIBROMIALGIA:
LUPUS ERITEMATOSO SISTÉMICO
MIOPATÍA (METABÓLICA O INFLAMATORIA)
ARTRITIS REUMATOIDE
ESPONDILOARTROPATÍAS
TRASTORNO DEPRESIVO MAYOR
ESCLEROSIS MÚLTIPLE
POLIARTROSIS
AFECTACIONES MUSCULARES POR FÁRMACOS
NEUROPATÍAS PERIFÉRICAS
HIPERPARATIROIDISMO
HIPOTIROIDISMO
ALTERACIONES ESTRUCTURALES MECÁNICAS O DEGENERATIVAS DEL RAQUIS
ENFERMEDADES MÁS FRECUENTES QUE PUEDEN COMPARTIR MANIFESTACIONES CLÍNICAS CON
LA FIBROMIALGIA:
EXAMEN FÍSICO
Lo característico de la FBM es la presencia de
numerosos puntos dolorosos , generalmente el
paciente va a retirarse bruscamente al realizar
presión sobre alguno de estos puntos.
Con frecuencia los pacientes presentan:
 entumecimiento de manos y pies.
 Dolor lumbar irradiado a la cara posterior de
los muslos.
 Dolor y rigidez del cuello
DIAGNÓSTICO
• 3 meses consecutivos de dolor generalizado.
• Exploración física: presencia de hipersensibilidad en al menos 11
de los 18 puntos hipersensibles.
• Investigar otros síntomas asociados al dolor:
1. Neurológicas: hipo e hipertonía muscular, fasiculaciones, cefalea,
disfunción temporomandibular, inestabilidad espacial y debilidad
generalizada.
2. Manifestaciones neuro-cognitivas: disminución en la
concentración, afectación de la memoria a corto plazo, distracción y
bradipsiquia.
3. Alteraciones del sueño: insomnio, sueño no reparador, despertar
nocturno, mioclonos nocturnos, síndrome de piernas inquietas.
4. Alteraciones autonómicas y neuroendocrinas: arritmias,
hipotensión mediada neurológicamente, vértigo, inestabilidad
neuromotora, alteraciones respiratorias, colón irritable, pobre
respuesta al estrés, labilidad emocional.
5. Sensación de tumefacción matutina que puede ser generalizada o
regional que dura horas y con periodos de disminución durante el día
e incremento por las tardes noches.
• Estudios de laboratorio: Por el momento no existen pruebas de laboratorio
especificas para el paciente con fibromialgia primaria.
• Solo se realizan cuando hay sospecha de diagnósticos diferenciales.
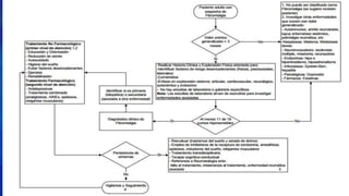
TRATAMIENTO
• Existen 2 tipos de tratamientos: no farmacológicos y
farmacológicos. OBJETIVO: mejorar el sueño, suprimir o
disminuir la fatiga y quitar o modular el dolor.
NO FARMACOLÓGICOS
• Terapia cognitivo- conductual con el fin de mejorar la función y trastornos del
sueño.
• Educar al paciente y a la familia frente a la enfermedad, las opciones de
tratamiento, programas de autoayuda con el propósito de mejorar las
habilidades de auto eficacia y la comprensión de la relación que existe entre
dolor, estado de ánimo, ejercicio y estrés.
• Realizar 30 minutos de ejercicio aeróbico moderadamente intenso (60-75%
de la frecuencia cardiaca máxima para la edad(210-edad de la persona)) 2-3
veces por semana.
• Hidroterapia con o sin ejercicio.
• Acupuntura, masajes con el fin de disminuir el dolor.
FARMACOLÓGICO
• Administración de antidepresivos tricíclicos (inhibidores de la captación de
serotonina y NE) con el fin de mejorar el sueño, disminución del dolor y
fatiga.
• Uso de antidepresivos benzodiazepinicos como segunda alternativa para el
manejo del trastorno del sueño.
• Uso de benzodiazepinas (clonazepam) para el tratamiento de espasmo
muscular.
• La administración de AINEs conjunto a otros fármacos para mejorar el dolor.
VIGILANCIA
• Consultar al medico en caso de presentar alteración del sueño,
hipersensibilidad, cefalea, fatiga.
BIBLIOGRAFIA
1. Goldenber DL: Fibromyalgia a decade later. What we have learned. Arch Intern Med
1999;159:777–785.
2. Wolfe F, Smythe HA, Yunus MB, Bennett RM, Bombardier C et al.: The American College
of Rheumatology 1990 criteria for the classification of fibromyalgia. Arthritis Rheum
1990;33:160–172
3. Wolfe F, Clauw DJ, Fitzcharles MA, Goldenberg DL, Katz RS et al.: The American College
of Rheumatology preliminary criteria for fibromyalgia and measurement of symptom
severity. Arthritis Care Res 2010;62:600–610.
4. Martínez LM, Infante O, Lerma C: Hypothesis: the chaos and complexity theory may
help our understanding of fibromyalgia and similar maladies. Semin Arthritis Rheum 2008;
37:260–264.
5. Pillemer SR, Bradley LA, Crofford LJ, Moldofsky H, Chrousos GP: The neuroscience
and endocrinology of fibromyalgia. Arthritis Rheum 1997;40:1928–1939.
6. Gracely RH, Petzke F, Wolf JM, Clauw DJ: Functional magnetic resonance imaging evidence
of augmented pain precessing in fibromyalgia. Arthritis Rheum 2002;46:1333–1343.
7. Martínez LM, Hermosillo AG, Rosas M, Soto MA: Circadian studies of autonomic nervous
balance in patients with fibromyalgia. Arthritis Rheum 1998;41:1966–1971.
8. Martínez LM, Hermosillo AG, Mendoza C, Ortiz R, Cajigas JC et al.: Orthostatic sympathetic
derangement in subjects with fibromyalgia. J Rheumatol 1997;24:714–718.

FIBROMIALGIA

  • 1.
  • 2.
    DEFINICION La fibromialgia estáconsiderada como enfermedad por la Organización Mundial de la Salud (OMS). Su etiología (causa) es desconocida y se caracteriza por dolor crónico generalizado que se prolonga más de tres meses y que el paciente localiza en el aparato locomotor. Además, cuenta con áreas de hiperalgesia, es decir, puntos con dolor excesivo para la maniobra de exploración efectuada. La fibromialgia pertenece a los trastornos de sensibilización central, por lo que presenta alteraciones sensitivas y emocionales en áreas cerebrales que deberían regular estas sensaciones. Además del dolor, otros síntomas como fatiga intensa, alteraciones del sueño, parestesias en extremidades, depresión, ansiedad, rigidez articular, cefaleas y sensación de tumefacción en manos se encuentran entre las manifestaciones clínicas más comunes. Aunque no se conoce la etiología de la fibromialgia, se sabe que existe una serie de factores desencadenantes que cuando actúa sobre un sujeto predispuesto genéticamente, incrementa la probabilidad de desarrollar esta enfermedad
  • 3.
    Este desconocimiento provocaque el diagnóstico de la enfermedad se realice en base a la presencia de manifestaciones clínicas y siempre tras descartar otras posibles causas de esos síntomas. Además, la fibromialgia puede acompañar a otras enfermedades, por lo que es importante detectar éstas para tratar correctamente ambos procesos. Los criterios de clasificación más utilizados para definir a los pacientes en los ensayos clínicos, y que también se suelen usar en las consultas para apoyar el diagnóstico, son los criterios ACR. En la actualidad, los especialistas están llevando a cabo diversos estudios para conseguir unos criterios que resulten más útiles en la práctica clínica. La fibromialgia está incluida en el grupo de reumatismos extra articulares.
  • 4.
    HISTORIA El término fibromialgia(del latín fibra, fibra, que se refiere al tejido conjuntivo, del griego mio, músculo y algia, dolor) es relativamente reciente en la historia de la descripción de esta enfermedad. En 1750, el médico británico SIR RICHARD MANNINGHAM en su publicación "Síntomas, naturaleza, causas y cura de la febrícula o fiebre pequeña: comúnmente llamada fiebre nerviosa o histérica; la fiebre de los espíritus; vapores, hipo o bazo", cita descripciones similares a las hechas por Hipócrates que podrían corresponder a fibromialgia. En 1843, el anatomista ALEMÁN ROBERT R. FLORIEP describe "puntos sensibles", en su tratado de patología y terapia de los reumatismos donde propone una asociación entre reumatismo y puntos dolorosos de músculos rígidos. En 1881 el médico estadounidense GEORGE M. BEARD escribió un libro llamado «American Nervousness» donde describe a pacientes con neurastenia que presentaban pérdida de fortaleza, fatiga o cansancio de manera crónica, y en quienes se constata la presencia de múltiples puntos dolorosos e hiperalgia.
  • 5.
    En 1904, SIRWILLIAM R. GOWERS se refiere como "fibrositis" a una condición en que asociaba el lumbago con dolores en los brazos y que él atribuía a "inflamación del tejido fibroso del músculo". En ese mismo año, STOCKMAN, en Escocia, estudia un grupo de pacientes con rigidez y "un movimiento muscular doloroso" en los cuales describe biopsias musculares con "nódulos fibrosíticos". En 1915, LLEWELLYN Y JONES, definen fibrositis como "un cambio inflamatorio del tejido fibroso intersticial del músculo estriado". En 1936, HENCH niega el origen inflamatorio de la fibrositis, y da comienzo al desarrollo de las teorías acerca del origen psicológico de la enfermedad. HALLYDAY, en 1937, también propone un origen psicológico de la fibrositis. En 1946, el médico australiano MICHAEL KELLY publicó una serie de estudios de la fibrositis basado en su propia experiencia de sufrir la enfermedad. En dichos trabajos, refuerza el concepto de puntos sensibles como eje central del diagnóstico, y propone una teoría ecléctica entre el origen psicológico y orgánico.
  • 6.
    En 1947, BOLANDY CORR, oficiales médicos del ejército estadounidense propusieron que la fibrositis no era más que un "reumatismo psicógeno". PHILLIP ELLMAN, en 1950, junto con DAVID SHAW, respaldan esta teoría. A partir del año 1963, se establece una escuela psico- reumática donde se hace referencia al dolor por autoalimentación, en donde una personalidad especial provoca una tensión mantenida que genera espasmo muscular y éste, a su vez, genera dolor, completándose de esta manera el círculo estrés-espasmo-dolor. En 1968, KRAFT, JOHNSON Y KABAM, establecen criterios diagnósticos basados en los puntos sensibles, la dermatografía y el alivio con el enfriamiento a base de cloruro de etilo. En 1972, HUGH SMYTHE describe la enfermedad en los términos modernos, "dolor generalizado y puntos de sensibilidad". En 1975, HARVEY MOLDOFSKY y el mismo SMYTHE, realizaron el primer estudio con electroencefalogramas, donde descubrieron que los pacientes con fibrositis mostraban un patrón de inclusión de ondas alfa, propias del sueño superficial, en el registro de ondas delta del sueño profundo, dando la impresión de un sueño no reparador.
  • 7.
    En 1976, HENCHpropone el término de "fibromialgia", y lo define como una forma de reumatismo no articular. En 1992, la fibromialgia es reconocida como una enfermedad por la OMS y es clasificada con el CÓDIGO M79.7 de la Clasificación Internacional de Enfermedades, en cuya revisión CIE-10 la clasifica dentro de los reumatismos.
  • 8.
    Afecta a lasmujeres 10 veces más que los hombres. Se observa mayoritariamente entre los 20 y los 50 años de edad, aunque existen casos de niños y ancianos aquejados de esta enfermedad. Entre 10 y 20% de los ingresos a clínicas especializadas en reumatología reciben el diagnóstico de fibromialgia, sin embargo se estima que alrededor del 90% de quienes deberían enmarcarse en un cuadro de fibromialgia permanecen sin diagnóstico, ya sea por desconocimiento del personal sanitario acerca de la misma o porque muchos profesionales de éstos no la reconocen como enfermedad. Las personas con artritis reumatoide y otras enfermedades autoinmunes tienden particularmente a desarrollar fibromialgia.
  • 9.
    FIBROMIALGIA CONCOMITANTE: Asociadaen ocasiones a otro trastorno. FIBROMIALGIA REGIONAL O LOCALIZADA: El dolor se encuentra circunscrito a una zona anatómica y, por tanto, limitado a puntos continuos(es el caso del síndrome miofascial) FIBROMIALGIA PRIMARIA: Se caracteriza por dolor difuso y puntos dolorosos a la presión en múltiples localizaciones, con ausencia de una condición concomitante o subyacente que pudiera explicar los signos y síntomas musculo esqueléticos. FIBROMIALGIA SECUNDARIA: Esta ocasionada por una enfermedad definida. Como por ejemplo la artritis reumatoide o el hipotiroidismo, cuyo tratamiento mejora el proceso fibromialgico.
  • 10.
    SEGÚN INVESTIGADORES: ESUN PROBLEMA DE ORIGEN CEREBRAL SUELE “DESPERTAR”: FACTOR GATILLO O PROCESO PUNTUAL COMO UNA:  INFECCION BACTERIANA O VIRICA  TX LEVE  SITUACION DE ESTRES ETIOPATOGENIA
  • 11.
    ALTERACIONES NEUROENDOCRINAS  SOBREPRODUCCION(ACTH) Y CORTISOL= DOLOR  (TRH) Y (T3) EN EL N.T= CAMBIOS FASE SUEÑO P.= FABRICA (HG): • PROCESOS DE REPARACION MUSCULAR • FALTA: MUSCULAR.  CALCIO, CALCITONINA Y MAGNESIO  PTH  SUTANCIA P: TRANSM. DOLOR X N.T 5-HT (PERCEPCION ESTIMULOS DOLOROSOS LOS INOCUOS)
  • 12.
    ALTERACIONES INMUNOLOGICAS SE PENSABAEN EL PRINCIPAL DESENCADENANTE:  VEB, PARVOVIRUS, HV-6, COXACKIE B. 1990: ESTUDIO:  29% PCTES CON VIH PRESENTABAN FIBROMIALGIA  25% PCTES CON LYME PRESENTABAN FIBROMIALGIA ACTUALMENTE: EL MODELO VIRICO DE FIBROMIALGIA ESTA DESESTIMADO, NO HAY RELACIONADO DIRECTAMENTE ENTRE INFECCION Y FIBROMIALGIA
  • 13.
    ALTERACIONES MORFOLOGICAS  CONTENIDODE COLAGENO I.M QUE FAVORECEN MICROROTURAS DEL MUSCULO MUSCULOS 2 TIPOS NOCICEPTORES: 1. FIBRAS AMIELINICAS, RESP. ESTIM. QUIMICOS (K+,5-HT, CC DEL MUSCULO) 2. FIBRAS MIELINICAS, RESP. PRESIONES Y DISTENCIONES FUERTES. PCTES CON FIBROMIALGIA: TIENEN EXCESIVA SENSIBILIZACION DE LOS NOCICEPTORES.
  • 14.
    FACTORES GENETICOS ASOCIACION FLARIMPORTANTE:  RIESGO 8,5 VECES > FENOTIPOS GENETICOS MAS FRECUENTES EN EL ENFERMO:  GEN REGULA LA EXPRESION ENZIMA CATECOL O METIL TRANSFERASA EL GRAN REG. DE LA PROTEINA TRANSPORTADORA DE 5-HT
  • 15.
    FACTORES PSICOLOGICOS YPSIQUIATRICOS INFLUENCIADA POR FACTORES:  BIOLOGICOS,PSICOLOGICOS,SOCIOLOGICOS LOS PCTES PRESENTAN: • TRASTORNOS PSIQUIATRICOS: (DEPRESION, ANSIEDAD, INSOMNIO, FALTA DE [ ] Y MEMORIA, CEFALEAS) • TODO ELLO ASOCIADO A TRAST. PERSONALIDAD • COMORBILIDAD PSIQUIATRICA MAS ALTA QUE OTRAS ENF. REUMATOLOGICAS
  • 16.
    ASPECTOS CLAVE LA ETIOLOGIAY MECANISMOS EN LA FBM: • POSIBLE ORIGEN CEREBRAL • ALT.NEUROENDOCRINAS SP (ACTH Y CORTISOL) • ALT. INMUNOLOGICAS: ACTUALMENTE EL MODELO VIRICO ESTATA DESESTIMADO. • ALT. MORFOLOGICAS: CONTENIDO DE COLAGENO IM. • FACTORES GENETICOS: ALGUNOS FENOTIPOS GENETICOS SON + FRECUENTES EN LOS ENFERMOS DE FBM • ASPECTOS PSICOLOGICOS Y PSIQUIATRICOS: ESTADOS EMOCIONALES DISPLACENTEROS, EN FORMA DE SINTOMATOLOGIA DEPRESIVA, Y TRASTORNOS DE ANSIEDAD SON MAS FRECUENTES EN LOS ENFERMOS CON FBM
  • 17.
    CUADRO CLINICO El síndromepuede ser desencadenado por cambios ocupacionales o de temperatura, infecciones, tensión emocional y se presenta en personas con mala condición física. FIBROMIALGIA REACTIVA: Es aquella que es seguida al trauma, cirugía o enfermedad medica.
  • 18.
  • 19.
  • 20.
    CARACTERISTICAS CLINICAS El pacientepuntúa sus síntomas específicos en una escala de 0-3. Estos síntomas incluyen: Fatiga, sueño no reparador, síntomas somáticos, cognitivos, síntomas generales (por ejemplo, dolor de cabeza, debilidad, problemas intestinales, náuseas, mareos, entumecimiento/hormigueo, pérdida de cabello). Los números asignados a cada uno se suman, para un total de 0-12. El diagnóstico se basa en la puntuación WPI y la puntuación SS ya sea: WPI de al menos 7 y puntuación SS de al menos 5, o WPI de 3-6 y la puntuación SS de al menos 9.
  • 21.
  • 22.
    ANAMNESIS FIBROMIALGIA • Aparición,Inicio, localización, irradiación, ritmo, intensidad. • Antecedentes traumáticos, físicos o psicológicos • Respuesta a los analgésicos, a fin de conocer tiempo de evolución y causas desencadenantes. • Nivel de apoyo social, incluyendo las relaciones familiares y la repercusión y/o condiciones en la esfera socio-laboral.
  • 23.
    • El síntomaclave es: dolor generalizado. • El dolor se acompaña frecuentemente de: rigidez articular matutina, parestesias en manos y pies, fatigabilidad-astenia y alteraciones del sueño. • Otros síntomas que con frecuencia acompañan a la FM son: cefaleas, acúfenos, inestabilidad, alteraciones de la concentración o de la memoria, disfunción temporo- mandibular, dolor miofascial y clínica compatible con colon irritable. • Presentan: intolerancia a estímulos, olfativos y auditivos, por lo que se deben recoger las condiciones del entorno que puedan ser perjudiciales. ANAMNESIS FIBROMIALGIA
  • 25.
    DIAGNÓSTICO DIFERENCIAL • Eldiagnóstico de FM es clínico, no apoyándose en ninguna prueba de laboratorio ni hallazgo radiológico específico. • Actualmente los hallazgos realizados con las nuevas tecnologías de neuro- imagen, en muestras pequeñas de pacientes, están siendo utilizados en el ámbito de los procesos de investigación de esta enfermedad. • La valoración de pacientes con FM debe incluir el hemograma, la bioquímica básica y los reactantes de fase aguda. La petición de otras pruebas complementarias debe ser individualizada, en función del cuadro clínico, la exploración física y la sospecha de una enfermedad asociada.
  • 26.
    Laboratorio • Hemograma • Velocidadde sedimentación globular (VSG) • Glucemia • Creatinina • Enzimas hepáticas: Transaminasas (AST/ALT), gamma-glutamiltranspeptidasa (GGT), fosfatasa alcalina (FA) • Creatincinasa (CK) • Proteína C reactiva (PCR) • Hormona estimuladora del tiroides (TSH) Radiología • Radiografía convencional de raquis y zonas dolorosas PRUEBAS COMPLEMENTARIAS PARA DESCARTAR O CONFIRMAR PATOLOGÍAS ASOCIADAS
  • 27.
    ENFERMEDADES MÁS FRECUENTESQUE PUEDEN COMPARTIR MANIFESTACIONES CLÍNICAS CON LA FIBROMIALGIA: LUPUS ERITEMATOSO SISTÉMICO MIOPATÍA (METABÓLICA O INFLAMATORIA) ARTRITIS REUMATOIDE ESPONDILOARTROPATÍAS TRASTORNO DEPRESIVO MAYOR ESCLEROSIS MÚLTIPLE POLIARTROSIS AFECTACIONES MUSCULARES POR FÁRMACOS NEUROPATÍAS PERIFÉRICAS HIPERPARATIROIDISMO HIPOTIROIDISMO ALTERACIONES ESTRUCTURALES MECÁNICAS O DEGENERATIVAS DEL RAQUIS
  • 28.
    ENFERMEDADES MÁS FRECUENTESQUE PUEDEN COMPARTIR MANIFESTACIONES CLÍNICAS CON LA FIBROMIALGIA:
  • 29.
    EXAMEN FÍSICO Lo característicode la FBM es la presencia de numerosos puntos dolorosos , generalmente el paciente va a retirarse bruscamente al realizar presión sobre alguno de estos puntos.
  • 31.
    Con frecuencia lospacientes presentan:  entumecimiento de manos y pies.  Dolor lumbar irradiado a la cara posterior de los muslos.  Dolor y rigidez del cuello
  • 33.
    DIAGNÓSTICO • 3 mesesconsecutivos de dolor generalizado. • Exploración física: presencia de hipersensibilidad en al menos 11 de los 18 puntos hipersensibles.
  • 34.
    • Investigar otrossíntomas asociados al dolor: 1. Neurológicas: hipo e hipertonía muscular, fasiculaciones, cefalea, disfunción temporomandibular, inestabilidad espacial y debilidad generalizada. 2. Manifestaciones neuro-cognitivas: disminución en la concentración, afectación de la memoria a corto plazo, distracción y bradipsiquia. 3. Alteraciones del sueño: insomnio, sueño no reparador, despertar nocturno, mioclonos nocturnos, síndrome de piernas inquietas. 4. Alteraciones autonómicas y neuroendocrinas: arritmias, hipotensión mediada neurológicamente, vértigo, inestabilidad neuromotora, alteraciones respiratorias, colón irritable, pobre respuesta al estrés, labilidad emocional. 5. Sensación de tumefacción matutina que puede ser generalizada o regional que dura horas y con periodos de disminución durante el día e incremento por las tardes noches.
  • 35.
    • Estudios delaboratorio: Por el momento no existen pruebas de laboratorio especificas para el paciente con fibromialgia primaria. • Solo se realizan cuando hay sospecha de diagnósticos diferenciales.
  • 36.
    TRATAMIENTO • Existen 2tipos de tratamientos: no farmacológicos y farmacológicos. OBJETIVO: mejorar el sueño, suprimir o disminuir la fatiga y quitar o modular el dolor.
  • 37.
    NO FARMACOLÓGICOS • Terapiacognitivo- conductual con el fin de mejorar la función y trastornos del sueño. • Educar al paciente y a la familia frente a la enfermedad, las opciones de tratamiento, programas de autoayuda con el propósito de mejorar las habilidades de auto eficacia y la comprensión de la relación que existe entre dolor, estado de ánimo, ejercicio y estrés. • Realizar 30 minutos de ejercicio aeróbico moderadamente intenso (60-75% de la frecuencia cardiaca máxima para la edad(210-edad de la persona)) 2-3 veces por semana. • Hidroterapia con o sin ejercicio. • Acupuntura, masajes con el fin de disminuir el dolor.
  • 38.
    FARMACOLÓGICO • Administración deantidepresivos tricíclicos (inhibidores de la captación de serotonina y NE) con el fin de mejorar el sueño, disminución del dolor y fatiga. • Uso de antidepresivos benzodiazepinicos como segunda alternativa para el manejo del trastorno del sueño. • Uso de benzodiazepinas (clonazepam) para el tratamiento de espasmo muscular. • La administración de AINEs conjunto a otros fármacos para mejorar el dolor.
  • 39.
    VIGILANCIA • Consultar almedico en caso de presentar alteración del sueño, hipersensibilidad, cefalea, fatiga.
  • 41.
    BIBLIOGRAFIA 1. Goldenber DL:Fibromyalgia a decade later. What we have learned. Arch Intern Med 1999;159:777–785. 2. Wolfe F, Smythe HA, Yunus MB, Bennett RM, Bombardier C et al.: The American College of Rheumatology 1990 criteria for the classification of fibromyalgia. Arthritis Rheum 1990;33:160–172 3. Wolfe F, Clauw DJ, Fitzcharles MA, Goldenberg DL, Katz RS et al.: The American College of Rheumatology preliminary criteria for fibromyalgia and measurement of symptom severity. Arthritis Care Res 2010;62:600–610. 4. Martínez LM, Infante O, Lerma C: Hypothesis: the chaos and complexity theory may help our understanding of fibromyalgia and similar maladies. Semin Arthritis Rheum 2008; 37:260–264. 5. Pillemer SR, Bradley LA, Crofford LJ, Moldofsky H, Chrousos GP: The neuroscience and endocrinology of fibromyalgia. Arthritis Rheum 1997;40:1928–1939. 6. Gracely RH, Petzke F, Wolf JM, Clauw DJ: Functional magnetic resonance imaging evidence of augmented pain precessing in fibromyalgia. Arthritis Rheum 2002;46:1333–1343. 7. Martínez LM, Hermosillo AG, Rosas M, Soto MA: Circadian studies of autonomic nervous balance in patients with fibromyalgia. Arthritis Rheum 1998;41:1966–1971. 8. Martínez LM, Hermosillo AG, Mendoza C, Ortiz R, Cajigas JC et al.: Orthostatic sympathetic derangement in subjects with fibromyalgia. J Rheumatol 1997;24:714–718.