República Bolivariana de Venezuela
Instituto Universitario Politécnico
“Santiago Mariño”
Sede Barcelona
Integral definida
Bachiller:
Rafael Aponte
C.I.: 27.226.785
Fecha, Marzo de 2019
Introducción
En este tema estudiaremos la Integral Definida o Integral de Riemann, un
concepto matemático que esencialmente puede describirse como el lımite de
una suma cuando el número de sumandos tiende a infinito y cada uno de ellos
tiende a cero. Desde el punto de vista histórico la construcción del concepto
riguroso de integral está asociada al cálculo de áreas.
El concepto de integral definida surge íntimamente ligado al de área. Riemann
introduce la integral definida de una función continua en un intervalo a partir del
límite de una suma de áreas de rectángulos. Por ello, una de las aplicaciones
más inmediatas de la integral definida es el cálculo de áreas de recintos planos
acotados y definidos por curvas o gráficas de funciones.
El cálculo de áreas sencillas limitadas por curvas puede contribuir a ayudar al
alumno a comprender la potencia del cálculo integral y a familiarizarse con
aspectos prácticos del mismo. Ha de servir como introducción para otras
aplicaciones de las integrales en los diferentes campos de la ciencia: Física,
Biología, Ingeniería o Economía. En ellas, la integral definida permitirá medir
magnitudes a través de la medida de áreas.
Para realizar las actividades de esta unidad, el alumno deberá estar
familiarizado con la definición de integral definida y la Regla de Barrow.
El cálculo de áreas de figuras como el cuadrado, el rectángulo, etc, además de
sencillo, tiene un significado: el área de una figura es un número que
coincide con el de cuadrados de lado unidad que recubren exactamente la
figura. Podemos cuestionar si cualquier figura tiene área y como se calcula.
Podemos empezar tomando una función muy sencilla, por ejemplo, f(x) = x.
Dibujarla en un sistema de ejes cartesianos y tratar de calcular el área de la
superficie limitada por la función, el eje de abcisas y la ordenada
correspondiente a la abscisa x = 1.
Si lo intentáis hacer, la superficie es un triángulo rectángulo de base 1, y altura
también la unidad, por tanto su área es 1/2.
Podemos aprovechar esta simplicidad en casos menos sencillos.
Si se divide el intervalo [0, 1] en, por ejemplo, cuatro intervalos de igual
longitud: [0, 1/4], [1/4, 2/4], [2/4, 3/4], [3/4, 1], y se trazan rectángulos, podemos
observar que la suma de las áreas de los rectángulos rayados es menor que el
área del triángulo; mientras que la suma de las áreas de los rectángulos
punteados exceden al área del triángulo.
Si calculamos esas áreas, obtenemos:
6/16 < S < 10/16; es decir, 0,375 < 0,5 < 0,625
Al área por defecto, 0,375, le falta mucho para llegar a 0,5; y el área por
exceso, 0,625, se encuentra lejos de 0,5.
Ahora bien, si dividimos en muchas más partes el intervalo [0, 1], parece lógico
que las diferencias que han resultado del caso anterior, tenderán a disminuir. Si
se divide ahora el intervalo [0, 1] en n intervalos de igual longitud 1/n, la
superficie que se derrocha es menor, si n > 4.
Si dividimos el intervalo [0, 1] en un número infinitamente grande de intervalos
iguales, el área por defecto coincide con el área por exceso y ambas con el
recinto que se está calculando.
Integral definida
La integral definida es un concepto utilizado para determinar el valor de las
áreas limitadas por curvas y rectas. Dado el intervalo [a, b] en el que, para cada
uno de sus puntos x, se define una función f (x) que es mayor o igual que 0 en
[a, b], se llama integral definida de la función entre los puntos a y b al área de la
porción del plano que está limitada por la función, el eje horizontal OX y las
rectas verticales de ecuaciones x = a y x = b.
La integral definida de la función entre los extremos del intervalo [a, b] se
denota como:
Propiedades de la integral definida
La integral definida cumple las siguientes propiedades:
 Toda integral extendida a un intervalo de un solo punto, [a, a], es igual a
cero.
 Cuando la función f (x) es mayor que cero, su integral es positiva; si la
función es menor que cero, su integral es negativa.
 La integral de una suma de funciones es igual a la suma de sus
integrales tomadas por separado.
 La integral del producto de una constante por una función es igual a la
constante por la integral de la función (es decir, se puede «sacar» la
constante de la integral).
 Al permutar los límites de una integral, ésta cambia de signo.
 Dados tres puntos tales que a < b < c, entonces se cumple que
(integración a trozos):
 Para todo punto x del intervalo [a,b] al que se aplican dos funciones f (x)
y g (x) tales que f (x) £ g (x), se verifica que:
Ilustración gráfica del concepto de integral definida.
Función integral
Considerando una función f continua en [a, b] y un valor x Î [a, b], es posible
definir una función matemática de la forma:
donde, para no inducir a confusión, se ha modificado la notación de la variable
independiente de x a t. Esta función, simbolizada habitualmente por F (x),
recibe el nombre de función integral o, también, función área pues cuando f es
mayor o igual que cero en [a, b], F (x) nos da el área.
Interpretación geométrica de la función integral o función área.
Teorema fundamental del cálculo integral
La relación entre derivada e integral definida queda establecida definitivamente
por medio del denominado teorema fundamental del cálculo integral, que
establece que, dada una función f (x), su función integral asociada F (x) cumple
necesariamente que:
A partir del teorema fundamental del cálculo integral es posible definir un
método para calcular la integral definida de una función f (x) en un intervalo [a,
b], denominado regla de Barrow:
 Se busca primero una función F (x) que verifique que F¿ (x) = f (x).
 Se calcula el valor de esta función en los extremos del intervalo: F (a) y
F (b).
 El valor de la integral definida entre estos dos puntos vendrá entonces
dado por:
Propiedades
La integral de la suma de dos funciones es igual a la suma de las integrales de
dichas funciones:
La integral del producto de un número real por una función es igual al
producto de por la integral de dicha función:
En una integral definida el limite superior de integración puede ser menor que
el limite inferior de integración y
Si hacemos en la igualdad anterior se tiene que
como el único número que coincide con su opuesto es el cero, llegamos a la
conclusión de que
para cualquier número real .
Dados tres números reales cualesquiera, se tiene que:
Si en el intervalo la función es mayor o igual que la
función entonces
En particular, si , entonces
Analogamente, si , entonces
Si en el intervalo la función es mayor que la función entonces
En particular, si , entonces
Analogamente, si , entonces
Ejemplo 1
Ejemplo 2
Ejemplo 3
Ejemplo 4
Ejemplo 5
Como , se cumple que
Ejemplo 6
Como , se cumple que
Métodos de trapecio y Simpson
El método de Simpson
Algunas páginas del Curso Interactivo de Física describen situaciones físicas
en las que es necesario calcular numéricamente una integral definida por el
procedimiento de Simpson.
Descripción
En este procedimiento, se toma el intervalo de anchura 2h, comprendido
entre xi y xi+2, y se sustituye la función f(x) por la parábola que pasa por tres
puntos (xi, yi), (xi+1, yi+1), y (xi+2, yi+2).
Calculamos la contribución a la integral del primer intervalo (x0, x0+2h) y
generalizaremos al resto de los intervalos.
La ecuación de la parábola y=ax2
+bx+c que pasa por los puntos (x0, y0), (x0+h,
y1), (x0+2h, y2) es
y0=ax20+bx0+cy1=a(x0+h)2+b(x0+h)+cy2=a(x0+2h)2+b(x0+2h)+cy0=ax02+bx
0+cy1=a(x0+h)2+b(x0+h)+cy2=a(x0+2h)2+b(x0+2h)+c
Este sistema de tres ecuaciones con tres incógnitas, se reduce a
y1=y0+2ax0h+ah2+bhy2=y0+4ax0h+4ah2+2bhy1=y0+2ax0h+ah2+bhy2=y0+4a
x0h+4ah2+2bh
Despejamos el coeficiente a, y 2ax0+b
a=y2−2y1+y02h2 2ax0+b=4y1−3y0−y22ha=y2−2y1+y02h2
2ax0+b=4y1−3y0−y22h
Sustituimos la curva por la porción de parábola en el intervalo (x0, x0+2h). La
integral aproximada vale
I=∫x0x0+2h(ax2+bx+c)dx=a3(6x20+12x0h2+8h3)+b2(4x0h+4h2)+c(2h)=2h(ax2
0+bx0+c)+2(2ax0+b)h2+83ah3=h3(y0+4y1+y2)I=∫x0x0+2h(ax2+bx+c)dx=a3(6x
02+12x0h2+8h3)+b2(4x0h+4h2)+c(2h)=2h(ax02+bx0+c)+2(2ax0+b)h2+83ah3=
h3(y0+4y1+y2)
En general, el valor del área aproximada, en el intervalo (xi, xi+2h) sombreada
en la figura, es
h3(yi+4yi+1+yi+2)h3(yi+4yi+1+yi+2)
El área aproximada en el intervalo [a, b] es
∫abf(x)⋅dx≈h3(y0+4y1+y2)+h3(y2+4y3+y4)+....+h3(yn−2+4yn−1+yn)∫abf(x)·dx≈h
3(y0+4y1+y2)+h3(y2+4y3+y4)+....+h3(yn−2+4yn−1+yn)
o bien, agrupando términos
∫abf(x)⋅dx≈h3((y0+yn)+4(y1+y3+....yn−1)+2(y2+y4+....yn−2))∫abf(x)·dx≈h3((y0+y
n)+4(y1+y3+....yn−1)+2(y2+y4+....yn−2))
El primer paréntesis, contiene la suma de los extremos, el segundo, la suma de
los términos de índice impar, y el tercero la suma de los términos de índice par.
En el método de Simpson, el número de divisiones n debe de ser par. En el
caso de que el usuario introduzca un número impar el programa lo convierte en
el número par siguiente.
Aproximación de integrales
Polinomio interpolante
Para un conjunto de números diferentes x0,x1,...,xn,(n+1,n⩾0) y una
función f cuyos valores están dados en estos puntos, existe un único
polinomio Pn(x) de grado menor o igual que n , tal que f(xk)=P(xk),
parak=0,1,...,n. El polinomio P(x) se llama polinomio interpolante.
Regla del trapecio
Método de integración para calcular integrales definidas donde el polinomio
interpolante es de grado uno. Se utiliza la fórmula A=∫baf(x)dx≈(b−a)[f(a)+f(b)2].
Regla del trapecio compuesta
Es una generalización de la regla de trapecio para obtener una mejor
aproximación de la integral y consiste en subdividir el
intervalo [a,b] en n subintervalos, todos de la misma longitud h=b−an. Se aplica
la fórmula ∫baf(x)dx≈h2[f(a)+2∑n−1k=1f(xk)+f(b)].
Error regla del trapecio
Cuando la función a integrar sea de grado mayor o igual a dos, la regla del
trapecio genera un error de truncamiento local. La fórmula del error de
truncamiento local en una sola aplicación viene dada
por Ex= −112f(2)(ξ )(b−a)3.
Regla de Simpson 1/3
Método de integración para calcular integrales definidas donde se conectan
grupos sucesivos de tres puntos sobre la curva mediante parábolas de
segundo grado. A las fórmulas que resultan de calcular la integral bajo estos
polinomios se les llama Reglas de Simpson. Se utiliza la
fórmula ∫baf(x)dx≈h3[f(a)+4f(xm)+f(b)] con h=b−a2.
Error Regla de Simpson 1/3
Error de truncamiento que se genera al aplicar la regla. La fórmula del error de
truncamiento local en una sola aplicación viene dada Ex= −h590f(4)(ξ ).
Regla de Simpson 3/8
Es una generalización de la regla de trapecio para obtener una mejor
aproximación de la integral y consiste en subdividir el
intervalo [a,b] en n subintervalos, todos de la misma longitud h=b−an. Cuando
el número de subdivisiones que se haga sea igual a tres, entonces el método
recibe el nombre de la regla de Simpson 3/8.
Se utiliza la fórmula ∫baf(x)dx≈38h[f(a)+3f(xm)+3f(xn)+f(b)] con h=b−a3. En la
Regla de Simpson 3/8 compuesta, el número de subintervalos solo puede ser
un múltiplo de 3, en caso contrario no es posible aplicar la regla.
Ejemplos:
Integral definida en el cálculo de área plana.
Una de las aplicaciones de las integrales es el cálculo directo de áreas.
Recordamos que si f es una primitiva de F, esto es, si
∫F(x)dx=f(x)+C⇔f′(x)=F(x)∫F(x)dx=f(x)+C⇔f′(x)=F(x)
Entonces, la integral definida de F entre los extremos a < b es, por la Regla
de Barrow,
∫baF(x)dx=f(b)−f(a)∫abF(x)dx=f(b)−f(a)
Se cumple que este resultado coincide, bajo ciertas restricciones, con el área
de la región encerrada entre la gráfica de F y el eje de las abscisas (eje OX) en
el intervalo [a, b]:
El área de la región A viene dada por la integral definida
A=∫baF(x)dxA=∫abF(x)dx
Importante: región negativa
Si la gráfica de la función está por debajo del eje, entonces el resultado de la
integral es negativo:
Por tanto, el área es el valor absoluto de la integral:
A=∣∣∣∫baF(x)dx∣∣∣A=|∫abF(x)dx|
Consecuencia: región positiva y negativa
Si la región se encuentra dividida por el eje de las abscisas, para calcular el
área se deben calcular dos (o más) integrales: una para la región positiva y otra
para la negativa (en valor absoluto).
El área de la región encerrada entre la gráfica de F y el eje de las abscisas en
el intervalo [a, c] es la suma:
A+B=∫baF(x)dx+∣∣∣∫cbF(x)dx∣∣∣A+B=∫abF(x)dx+|∫bcF(x)dx|
Si no se calculan por separado, el resultado de la integral es el resultado de un
área negativa y una positiva y, por tanto, el resultado obtenido es menor que el
área real.
Área entre dos gráficas:
El área encerrada entre las gráficas de las funciones f y g en el intervalo [a,
b] viene dada por la integral de la resta de las funciones:
El área es
A=∫ba(f(x)−g(x))dxA=∫ab(f(x)−g(x))dx
Nota 1: el integrando debe ser la función cuya gráfica es mayor menos la
función cuya gráfica es menor.
Nota 2: la integral dada representa el área de la región puesto que
∫ba(f(x)−g(x))dx=∫ab(f(x)−g(x))dx=
=∫baf(x)dx−∫bag(x)dx=∫abf(x)dx−∫abg(x)dx
(El área A es el área que hay bajo la gráfica de f menos el área que hay bajo la
gráfica de g).
Nota 3: si la región se encuentra dividida por el eje de las abscisas o bajo dicho
eje, hay que proceder según se explicó anteriormente.
Nota 4: nótese que el intervalo sobre el que se define la integral coincide con
los puntos donde las gráficas se cortan (intersectan).
Integral definida en el cálculo de las áreas plana.
Cálculo de áreas – Integral Definida
La Integral Definida de una función se usa para calcular las áreas de
recintos planos, los cuales están delimitados por curvas y rectas.
Áreas de recintos planos:
Áreas limitadas por varias funciones:
Esta área se calcula de la siguiente forma:
–
Funciones cuyas gráficas son en forma de onda:
Ejemplos:
Área delimitada por la parábola y=x² y la recta y=1
Intervalo de integración:
Por tanto:
Área delimitada por la parábola y=x², la recta y=-x+2 y el eje ox
Puntos de corte:
Se aplica la fórmula:
Intervalo de integración:
x=1
x=-2
Por tanto:
Área delimitada por la parábola y=-x², las rectas x=-1, x=2 y el eje ox
Área delimitada por la función y=x³, las rectas x=-1, x=2 y el eje ox
Se resuelve:
Área delimitada por las funciones y=e^x, y=e^-x , las rectas x=-1, x=1 y el
eje ox
Conclusión
Como conclusión podemos decir que la finalidad de esta herramienta
tecnológica, que es la Webquest nos permite conocer y trabajar de manera
interactiva, donde podrás analizar y calcular área entre curvas correctamente,
volumen de un sólido de revolución (mediante los diferentes métodos: Método
del Disco, Método de los Cascarones Cilíndricos), el uso de las Tic, estarás
preparado para resolver diferentes tipos de ejercicios y situaciones
problemáticas.
También descubrirás la importancia que tienen los recursos tecnológicos en el
estudio de ciertos temas matemáticos y la
Ventaja de usar Internet para encontrar información con respecto a al tema.
Consideramos a la Webquest como una estrategia de aprendizaje por
descubrimiento basada en Internet, la cual hemos notado que es un impulso de
motivación para los jóvenes hacia esta ciencia tan abstracta como es la
matemática.
En conclusión vemos como el calculo nos enseña muchas cosas pero no solo
en números si no también en la vida diaria los integrales o derivabas es un
tema muy extenso que nos ayuda a resolver problemas que involucran
magnitudes cuyos valores medios se suelen definir indirectamente como
razones entre valores de otras magnitudes, como la velocidad media, la
aceleración media.
Las aplicaciones de las integrales dobles están estrechamente relacionadas
con estas dos ciencias exactas que son la física y la geometría ya que se
pueden analizar figuras y cuerpos simultáneamente en los ejes “x” y “y”.
Con pocas modificaciones podemos extender la aplicación de las integrales
definidas para el cálculo de una región situada por debajo de una curva, al área
comprendida de una región entre dos curvas.
Mediante el uso de integrales dobles es posible analizar tanto áreas y
volúmenes en sistemas homogéneos como no homogéneos.
En general el término cálculo (del latín calculus = piedra)[1] hace referencia,
indistintamente, a la acción o el resultado correspondiente a la acción de
calcular. Calcular, por su parte, consiste en realizar las operaciones necesarias
para prever el resultado de una acción previamente concebida, o conocer las
consecuencias que se pueden derivar de unos datos previamente conocidos.
No obstante, el uso más común del término cálculo es el lógico-matemático.
Desde esta perspectiva, el cálculo consiste en un procedimiento mecánico,
o algoritmo, mediante el cual podemos conocer las consecuencias que se
derivan de unos datos previamente conocidos
debidamente formalizados y simbolizados.

Integrales definidas

  • 1.
    República Bolivariana deVenezuela Instituto Universitario Politécnico “Santiago Mariño” Sede Barcelona Integral definida Bachiller: Rafael Aponte C.I.: 27.226.785 Fecha, Marzo de 2019
  • 2.
    Introducción En este temaestudiaremos la Integral Definida o Integral de Riemann, un concepto matemático que esencialmente puede describirse como el lımite de una suma cuando el número de sumandos tiende a infinito y cada uno de ellos tiende a cero. Desde el punto de vista histórico la construcción del concepto riguroso de integral está asociada al cálculo de áreas. El concepto de integral definida surge íntimamente ligado al de área. Riemann introduce la integral definida de una función continua en un intervalo a partir del límite de una suma de áreas de rectángulos. Por ello, una de las aplicaciones más inmediatas de la integral definida es el cálculo de áreas de recintos planos acotados y definidos por curvas o gráficas de funciones. El cálculo de áreas sencillas limitadas por curvas puede contribuir a ayudar al alumno a comprender la potencia del cálculo integral y a familiarizarse con aspectos prácticos del mismo. Ha de servir como introducción para otras aplicaciones de las integrales en los diferentes campos de la ciencia: Física, Biología, Ingeniería o Economía. En ellas, la integral definida permitirá medir magnitudes a través de la medida de áreas. Para realizar las actividades de esta unidad, el alumno deberá estar familiarizado con la definición de integral definida y la Regla de Barrow. El cálculo de áreas de figuras como el cuadrado, el rectángulo, etc, además de sencillo, tiene un significado: el área de una figura es un número que coincide con el de cuadrados de lado unidad que recubren exactamente la figura. Podemos cuestionar si cualquier figura tiene área y como se calcula. Podemos empezar tomando una función muy sencilla, por ejemplo, f(x) = x. Dibujarla en un sistema de ejes cartesianos y tratar de calcular el área de la superficie limitada por la función, el eje de abcisas y la ordenada correspondiente a la abscisa x = 1. Si lo intentáis hacer, la superficie es un triángulo rectángulo de base 1, y altura también la unidad, por tanto su área es 1/2. Podemos aprovechar esta simplicidad en casos menos sencillos. Si se divide el intervalo [0, 1] en, por ejemplo, cuatro intervalos de igual longitud: [0, 1/4], [1/4, 2/4], [2/4, 3/4], [3/4, 1], y se trazan rectángulos, podemos observar que la suma de las áreas de los rectángulos rayados es menor que el área del triángulo; mientras que la suma de las áreas de los rectángulos punteados exceden al área del triángulo. Si calculamos esas áreas, obtenemos: 6/16 < S < 10/16; es decir, 0,375 < 0,5 < 0,625
  • 3.
    Al área pordefecto, 0,375, le falta mucho para llegar a 0,5; y el área por exceso, 0,625, se encuentra lejos de 0,5. Ahora bien, si dividimos en muchas más partes el intervalo [0, 1], parece lógico que las diferencias que han resultado del caso anterior, tenderán a disminuir. Si se divide ahora el intervalo [0, 1] en n intervalos de igual longitud 1/n, la superficie que se derrocha es menor, si n > 4. Si dividimos el intervalo [0, 1] en un número infinitamente grande de intervalos iguales, el área por defecto coincide con el área por exceso y ambas con el recinto que se está calculando.
  • 4.
    Integral definida La integraldefinida es un concepto utilizado para determinar el valor de las áreas limitadas por curvas y rectas. Dado el intervalo [a, b] en el que, para cada uno de sus puntos x, se define una función f (x) que es mayor o igual que 0 en [a, b], se llama integral definida de la función entre los puntos a y b al área de la porción del plano que está limitada por la función, el eje horizontal OX y las rectas verticales de ecuaciones x = a y x = b. La integral definida de la función entre los extremos del intervalo [a, b] se denota como: Propiedades de la integral definida La integral definida cumple las siguientes propiedades:  Toda integral extendida a un intervalo de un solo punto, [a, a], es igual a cero.  Cuando la función f (x) es mayor que cero, su integral es positiva; si la función es menor que cero, su integral es negativa.  La integral de una suma de funciones es igual a la suma de sus integrales tomadas por separado.  La integral del producto de una constante por una función es igual a la constante por la integral de la función (es decir, se puede «sacar» la constante de la integral).  Al permutar los límites de una integral, ésta cambia de signo.  Dados tres puntos tales que a < b < c, entonces se cumple que (integración a trozos):  Para todo punto x del intervalo [a,b] al que se aplican dos funciones f (x) y g (x) tales que f (x) £ g (x), se verifica que:
  • 5.
    Ilustración gráfica delconcepto de integral definida. Función integral Considerando una función f continua en [a, b] y un valor x Î [a, b], es posible definir una función matemática de la forma: donde, para no inducir a confusión, se ha modificado la notación de la variable independiente de x a t. Esta función, simbolizada habitualmente por F (x), recibe el nombre de función integral o, también, función área pues cuando f es mayor o igual que cero en [a, b], F (x) nos da el área. Interpretación geométrica de la función integral o función área. Teorema fundamental del cálculo integral La relación entre derivada e integral definida queda establecida definitivamente por medio del denominado teorema fundamental del cálculo integral, que establece que, dada una función f (x), su función integral asociada F (x) cumple necesariamente que: A partir del teorema fundamental del cálculo integral es posible definir un método para calcular la integral definida de una función f (x) en un intervalo [a, b], denominado regla de Barrow:  Se busca primero una función F (x) que verifique que F¿ (x) = f (x).
  • 6.
     Se calculael valor de esta función en los extremos del intervalo: F (a) y F (b).  El valor de la integral definida entre estos dos puntos vendrá entonces dado por: Propiedades La integral de la suma de dos funciones es igual a la suma de las integrales de dichas funciones: La integral del producto de un número real por una función es igual al producto de por la integral de dicha función: En una integral definida el limite superior de integración puede ser menor que el limite inferior de integración y Si hacemos en la igualdad anterior se tiene que como el único número que coincide con su opuesto es el cero, llegamos a la conclusión de que para cualquier número real .
  • 7.
    Dados tres númerosreales cualesquiera, se tiene que: Si en el intervalo la función es mayor o igual que la función entonces En particular, si , entonces Analogamente, si , entonces Si en el intervalo la función es mayor que la función entonces En particular, si , entonces Analogamente, si , entonces
  • 8.
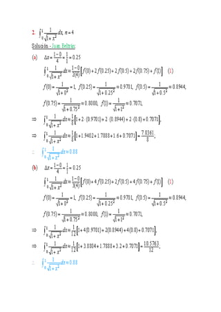
    Ejemplo 1 Ejemplo 2 Ejemplo3 Ejemplo 4 Ejemplo 5 Como , se cumple que
  • 9.
    Ejemplo 6 Como ,se cumple que Métodos de trapecio y Simpson El método de Simpson Algunas páginas del Curso Interactivo de Física describen situaciones físicas en las que es necesario calcular numéricamente una integral definida por el procedimiento de Simpson. Descripción En este procedimiento, se toma el intervalo de anchura 2h, comprendido entre xi y xi+2, y se sustituye la función f(x) por la parábola que pasa por tres puntos (xi, yi), (xi+1, yi+1), y (xi+2, yi+2). Calculamos la contribución a la integral del primer intervalo (x0, x0+2h) y generalizaremos al resto de los intervalos. La ecuación de la parábola y=ax2 +bx+c que pasa por los puntos (x0, y0), (x0+h, y1), (x0+2h, y2) es y0=ax20+bx0+cy1=a(x0+h)2+b(x0+h)+cy2=a(x0+2h)2+b(x0+2h)+cy0=ax02+bx 0+cy1=a(x0+h)2+b(x0+h)+cy2=a(x0+2h)2+b(x0+2h)+c Este sistema de tres ecuaciones con tres incógnitas, se reduce a y1=y0+2ax0h+ah2+bhy2=y0+4ax0h+4ah2+2bhy1=y0+2ax0h+ah2+bhy2=y0+4a x0h+4ah2+2bh
  • 10.
    Despejamos el coeficientea, y 2ax0+b a=y2−2y1+y02h2 2ax0+b=4y1−3y0−y22ha=y2−2y1+y02h2 2ax0+b=4y1−3y0−y22h Sustituimos la curva por la porción de parábola en el intervalo (x0, x0+2h). La integral aproximada vale I=∫x0x0+2h(ax2+bx+c)dx=a3(6x20+12x0h2+8h3)+b2(4x0h+4h2)+c(2h)=2h(ax2 0+bx0+c)+2(2ax0+b)h2+83ah3=h3(y0+4y1+y2)I=∫x0x0+2h(ax2+bx+c)dx=a3(6x 02+12x0h2+8h3)+b2(4x0h+4h2)+c(2h)=2h(ax02+bx0+c)+2(2ax0+b)h2+83ah3= h3(y0+4y1+y2) En general, el valor del área aproximada, en el intervalo (xi, xi+2h) sombreada en la figura, es h3(yi+4yi+1+yi+2)h3(yi+4yi+1+yi+2) El área aproximada en el intervalo [a, b] es ∫abf(x)⋅dx≈h3(y0+4y1+y2)+h3(y2+4y3+y4)+....+h3(yn−2+4yn−1+yn)∫abf(x)·dx≈h 3(y0+4y1+y2)+h3(y2+4y3+y4)+....+h3(yn−2+4yn−1+yn) o bien, agrupando términos ∫abf(x)⋅dx≈h3((y0+yn)+4(y1+y3+....yn−1)+2(y2+y4+....yn−2))∫abf(x)·dx≈h3((y0+y n)+4(y1+y3+....yn−1)+2(y2+y4+....yn−2)) El primer paréntesis, contiene la suma de los extremos, el segundo, la suma de los términos de índice impar, y el tercero la suma de los términos de índice par. En el método de Simpson, el número de divisiones n debe de ser par. En el caso de que el usuario introduzca un número impar el programa lo convierte en el número par siguiente. Aproximación de integrales Polinomio interpolante Para un conjunto de números diferentes x0,x1,...,xn,(n+1,n⩾0) y una función f cuyos valores están dados en estos puntos, existe un único polinomio Pn(x) de grado menor o igual que n , tal que f(xk)=P(xk), parak=0,1,...,n. El polinomio P(x) se llama polinomio interpolante. Regla del trapecio Método de integración para calcular integrales definidas donde el polinomio interpolante es de grado uno. Se utiliza la fórmula A=∫baf(x)dx≈(b−a)[f(a)+f(b)2].
  • 11.
    Regla del trapeciocompuesta Es una generalización de la regla de trapecio para obtener una mejor aproximación de la integral y consiste en subdividir el intervalo [a,b] en n subintervalos, todos de la misma longitud h=b−an. Se aplica la fórmula ∫baf(x)dx≈h2[f(a)+2∑n−1k=1f(xk)+f(b)].
  • 12.
    Error regla deltrapecio Cuando la función a integrar sea de grado mayor o igual a dos, la regla del trapecio genera un error de truncamiento local. La fórmula del error de truncamiento local en una sola aplicación viene dada por Ex= −112f(2)(ξ )(b−a)3. Regla de Simpson 1/3 Método de integración para calcular integrales definidas donde se conectan grupos sucesivos de tres puntos sobre la curva mediante parábolas de segundo grado. A las fórmulas que resultan de calcular la integral bajo estos polinomios se les llama Reglas de Simpson. Se utiliza la fórmula ∫baf(x)dx≈h3[f(a)+4f(xm)+f(b)] con h=b−a2. Error Regla de Simpson 1/3 Error de truncamiento que se genera al aplicar la regla. La fórmula del error de truncamiento local en una sola aplicación viene dada Ex= −h590f(4)(ξ ).
  • 13.
    Regla de Simpson3/8 Es una generalización de la regla de trapecio para obtener una mejor aproximación de la integral y consiste en subdividir el intervalo [a,b] en n subintervalos, todos de la misma longitud h=b−an. Cuando el número de subdivisiones que se haga sea igual a tres, entonces el método recibe el nombre de la regla de Simpson 3/8. Se utiliza la fórmula ∫baf(x)dx≈38h[f(a)+3f(xm)+3f(xn)+f(b)] con h=b−a3. En la Regla de Simpson 3/8 compuesta, el número de subintervalos solo puede ser un múltiplo de 3, en caso contrario no es posible aplicar la regla.
  • 14.
  • 17.
    Integral definida enel cálculo de área plana. Una de las aplicaciones de las integrales es el cálculo directo de áreas. Recordamos que si f es una primitiva de F, esto es, si ∫F(x)dx=f(x)+C⇔f′(x)=F(x)∫F(x)dx=f(x)+C⇔f′(x)=F(x) Entonces, la integral definida de F entre los extremos a < b es, por la Regla de Barrow, ∫baF(x)dx=f(b)−f(a)∫abF(x)dx=f(b)−f(a) Se cumple que este resultado coincide, bajo ciertas restricciones, con el área de la región encerrada entre la gráfica de F y el eje de las abscisas (eje OX) en el intervalo [a, b]: El área de la región A viene dada por la integral definida A=∫baF(x)dxA=∫abF(x)dx Importante: región negativa Si la gráfica de la función está por debajo del eje, entonces el resultado de la integral es negativo:
  • 18.
    Por tanto, elárea es el valor absoluto de la integral: A=∣∣∣∫baF(x)dx∣∣∣A=|∫abF(x)dx| Consecuencia: región positiva y negativa Si la región se encuentra dividida por el eje de las abscisas, para calcular el área se deben calcular dos (o más) integrales: una para la región positiva y otra para la negativa (en valor absoluto). El área de la región encerrada entre la gráfica de F y el eje de las abscisas en el intervalo [a, c] es la suma:
  • 19.
    A+B=∫baF(x)dx+∣∣∣∫cbF(x)dx∣∣∣A+B=∫abF(x)dx+|∫bcF(x)dx| Si no secalculan por separado, el resultado de la integral es el resultado de un área negativa y una positiva y, por tanto, el resultado obtenido es menor que el área real. Área entre dos gráficas: El área encerrada entre las gráficas de las funciones f y g en el intervalo [a, b] viene dada por la integral de la resta de las funciones: El área es A=∫ba(f(x)−g(x))dxA=∫ab(f(x)−g(x))dx Nota 1: el integrando debe ser la función cuya gráfica es mayor menos la función cuya gráfica es menor.
  • 20.
    Nota 2: laintegral dada representa el área de la región puesto que ∫ba(f(x)−g(x))dx=∫ab(f(x)−g(x))dx= =∫baf(x)dx−∫bag(x)dx=∫abf(x)dx−∫abg(x)dx (El área A es el área que hay bajo la gráfica de f menos el área que hay bajo la gráfica de g). Nota 3: si la región se encuentra dividida por el eje de las abscisas o bajo dicho eje, hay que proceder según se explicó anteriormente. Nota 4: nótese que el intervalo sobre el que se define la integral coincide con los puntos donde las gráficas se cortan (intersectan). Integral definida en el cálculo de las áreas plana. Cálculo de áreas – Integral Definida La Integral Definida de una función se usa para calcular las áreas de recintos planos, los cuales están delimitados por curvas y rectas. Áreas de recintos planos:
  • 21.
    Áreas limitadas porvarias funciones:
  • 22.
    Esta área secalcula de la siguiente forma: –
  • 23.
    Funciones cuyas gráficasson en forma de onda:
  • 24.
    Ejemplos: Área delimitada porla parábola y=x² y la recta y=1 Intervalo de integración: Por tanto:
  • 25.
    Área delimitada porla parábola y=x², la recta y=-x+2 y el eje ox Puntos de corte:
  • 26.
    Se aplica lafórmula: Intervalo de integración: x=1 x=-2 Por tanto: Área delimitada por la parábola y=-x², las rectas x=-1, x=2 y el eje ox
  • 27.
    Área delimitada porla función y=x³, las rectas x=-1, x=2 y el eje ox Se resuelve:
  • 28.
    Área delimitada porlas funciones y=e^x, y=e^-x , las rectas x=-1, x=1 y el eje ox
  • 29.
    Conclusión Como conclusión podemosdecir que la finalidad de esta herramienta tecnológica, que es la Webquest nos permite conocer y trabajar de manera interactiva, donde podrás analizar y calcular área entre curvas correctamente, volumen de un sólido de revolución (mediante los diferentes métodos: Método del Disco, Método de los Cascarones Cilíndricos), el uso de las Tic, estarás preparado para resolver diferentes tipos de ejercicios y situaciones problemáticas. También descubrirás la importancia que tienen los recursos tecnológicos en el estudio de ciertos temas matemáticos y la Ventaja de usar Internet para encontrar información con respecto a al tema. Consideramos a la Webquest como una estrategia de aprendizaje por descubrimiento basada en Internet, la cual hemos notado que es un impulso de motivación para los jóvenes hacia esta ciencia tan abstracta como es la matemática. En conclusión vemos como el calculo nos enseña muchas cosas pero no solo en números si no también en la vida diaria los integrales o derivabas es un tema muy extenso que nos ayuda a resolver problemas que involucran magnitudes cuyos valores medios se suelen definir indirectamente como razones entre valores de otras magnitudes, como la velocidad media, la aceleración media. Las aplicaciones de las integrales dobles están estrechamente relacionadas con estas dos ciencias exactas que son la física y la geometría ya que se pueden analizar figuras y cuerpos simultáneamente en los ejes “x” y “y”. Con pocas modificaciones podemos extender la aplicación de las integrales definidas para el cálculo de una región situada por debajo de una curva, al área comprendida de una región entre dos curvas. Mediante el uso de integrales dobles es posible analizar tanto áreas y volúmenes en sistemas homogéneos como no homogéneos. En general el término cálculo (del latín calculus = piedra)[1] hace referencia, indistintamente, a la acción o el resultado correspondiente a la acción de calcular. Calcular, por su parte, consiste en realizar las operaciones necesarias para prever el resultado de una acción previamente concebida, o conocer las consecuencias que se pueden derivar de unos datos previamente conocidos. No obstante, el uso más común del término cálculo es el lógico-matemático. Desde esta perspectiva, el cálculo consiste en un procedimiento mecánico, o algoritmo, mediante el cual podemos conocer las consecuencias que se
  • 30.
    derivan de unosdatos previamente conocidos debidamente formalizados y simbolizados.