Síntesis de anillos de cinco miembros con 1 heteroátomo
O N
H
S
furano
O
H
O
furfural
O
H
O
OHHO
HO
H+
PENTOSANOS
H+hidrolisis
deshidratación
O
O
O
[O]
ácido furoico
H
O
O
O
H
C
O
O
pirrol tiofeno
1
2
34
5
S
2,3-dimethylthiophene
S
2,4-dimethylthiophene
S
2,3,5-trimethylthiophene
O
+
En un método de síntesis, las cascarillas de trigo, las cuales estám conformadas por un polisacárido
llamado pentosanos, son tratadas en medio ácido; esto genera su hidrólisis y, en primera instancia, la
aldopentosa correspondiente; un calentamiento posterior en este medio yda lugar a una deshidratación y
a la formación del producto heterocíclico, furfural. El furfural puede ser oxidado a ácido furoico y éste
descarboxilado mediante calentamiento para generar el furano.
1) PAAL-KNORR para furanos.
O O
R R'''
R' R''
1,4-dicarbonílico
OR
R' R''
R'''
H+, ac.
+ H2O
O O
O
H+, ac.
+ H2O
Además del medio ácido, se emplean otros agentes deshidratantes:
1) P4O10, pentóxido de fósforo (se genera como subproducto H3PO4)
2) P4O10 + H3PO4 = PPA = ácido polifosfórico , THF (disolvente)
O
O O O
PPA
O
OCH3
O
OCH3THF
Es un éster.
O
OCH3
O
OCH3
NO
Los carbonilos de éster no
favorecen esta reación:
sólo los de aldehidos y
cetonas.
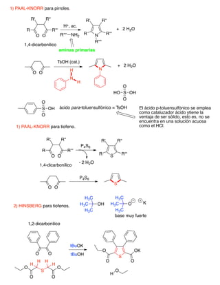
1) PAAL-KNORR para pirroles.
O O
R R'''
R' R''
1,4-dicarbonílico
NR
R' R''
R'''
H+, ac.
+ 2 H2O
O O
N
+ 2 H2O
R'''' NH2
R''''
aminas primarias
N
H
H
TsOH (cat.)
S
O
O
OH ácido para-toluensulfónico = TsOH
HO S
O
O
OH
1) PAAL-KNORR para tiofeno.
O O
R R'''
R' R''
1,4-dicarbonílico
SR
R' R''
R'''
O O
S
P4S6
- 2 H2O
P4S6
2) HINSBERG para tiofenos.
O O
1,2-dicarbonílico
O
S
O
O O
H
H H
H
tBuOK
tBuOH
H3C
OHH3C
H3C
H3C
OH3C
H3C
K
base muy fuerte
S
OK
O
O
O
H
O
El ácido p-toluensulfónico se emplea
como cataluzador ácido ytiene la
ventaja de ser sólido, esto es, no se
encuentra en una solución acuosa
como el HCl.
3) Knorr para pirroles.
O
NH2
O
OCH2CH3
O
OCH2CH3
O
H
H
OH
α O
NH2
O
OEt
O
OEt
O
H
OH
α
H
O
NH2
O
OEt
O
OEt
O
H
H
α
O
OEt
O
OEt
O
α
"razónenlo así"
N
H
O
H H
H
O
OEt
O
OEt
α
N
H
O
H
H
O
OEt
O
OEt
α
N
H
H
4) Feist-Benary para furanos.
condensación
condensación
transposición
O
Br
O
OEt
O
OEt
O
H
H
α
O
OEt
O
OEt
O
αBr
H
O
H
condensación
O
OEt
O
OEt
α
O
H
condensación
Br
O
O
OEt
O
OEt
α
O
A-B
Br H
5) Hantzsch para pirroles.
O O
OEt
acetoacetato de etilo
O O
OEt
HNO2
N
OHO
NaNO2 + HCl
H
α
H
O
H
O O
OEt
α
N O nitrosilo
nitrosación
(condensación) Zn, 2 HCl
O O
OEt
α
N OH H
Cl
Zn
Cl
hidroxilamina
Zn, 2 HCl
O O
OEt
α
N
O
H
HH
Cl
Zn
Cl
H
O
EtO
O
α-aminoacetoacetato de etilo
α
NH2
*
* O
OEt
O
cat. H+
N
H
+
4
4
3
α
3
2
25
5
EtO
O N
OEt
OH O
H
H O
H
EtO
O N
OEt
O
H
H
2 condensaciones

Pizarrones sch

  • 1.
    Síntesis de anillosde cinco miembros con 1 heteroátomo O N H S furano O H O furfural O H O OHHO HO H+ PENTOSANOS H+hidrolisis deshidratación O O O [O] ácido furoico H O O O H C O O pirrol tiofeno 1 2 34 5 S 2,3-dimethylthiophene S 2,4-dimethylthiophene S 2,3,5-trimethylthiophene O + En un método de síntesis, las cascarillas de trigo, las cuales estám conformadas por un polisacárido llamado pentosanos, son tratadas en medio ácido; esto genera su hidrólisis y, en primera instancia, la aldopentosa correspondiente; un calentamiento posterior en este medio yda lugar a una deshidratación y a la formación del producto heterocíclico, furfural. El furfural puede ser oxidado a ácido furoico y éste descarboxilado mediante calentamiento para generar el furano.
  • 2.
    1) PAAL-KNORR parafuranos. O O R R''' R' R'' 1,4-dicarbonílico OR R' R'' R''' H+, ac. + H2O O O O H+, ac. + H2O Además del medio ácido, se emplean otros agentes deshidratantes: 1) P4O10, pentóxido de fósforo (se genera como subproducto H3PO4) 2) P4O10 + H3PO4 = PPA = ácido polifosfórico , THF (disolvente) O O O O PPA O OCH3 O OCH3THF Es un éster. O OCH3 O OCH3 NO Los carbonilos de éster no favorecen esta reación: sólo los de aldehidos y cetonas.
  • 3.
    1) PAAL-KNORR parapirroles. O O R R''' R' R'' 1,4-dicarbonílico NR R' R'' R''' H+, ac. + 2 H2O O O N + 2 H2O R'''' NH2 R'''' aminas primarias N H H TsOH (cat.) S O O OH ácido para-toluensulfónico = TsOH HO S O O OH 1) PAAL-KNORR para tiofeno. O O R R''' R' R'' 1,4-dicarbonílico SR R' R'' R''' O O S P4S6 - 2 H2O P4S6 2) HINSBERG para tiofenos. O O 1,2-dicarbonílico O S O O O H H H H tBuOK tBuOH H3C OHH3C H3C H3C OH3C H3C K base muy fuerte S OK O O O H O El ácido p-toluensulfónico se emplea como cataluzador ácido ytiene la ventaja de ser sólido, esto es, no se encuentra en una solución acuosa como el HCl.
  • 4.
    3) Knorr parapirroles. O NH2 O OCH2CH3 O OCH2CH3 O H H OH α O NH2 O OEt O OEt O H OH α H O NH2 O OEt O OEt O H H α O OEt O OEt O α "razónenlo así" N H O H H H O OEt O OEt α N H O H H O OEt O OEt α N H H 4) Feist-Benary para furanos. condensación condensación transposición O Br O OEt O OEt O H H α O OEt O OEt O αBr H O H condensación O OEt O OEt α O H condensación Br O O OEt O OEt α O A-B Br H
  • 5.
    5) Hantzsch parapirroles. O O OEt acetoacetato de etilo O O OEt HNO2 N OHO NaNO2 + HCl H α H O H O O OEt α N O nitrosilo nitrosación (condensación) Zn, 2 HCl O O OEt α N OH H Cl Zn Cl hidroxilamina Zn, 2 HCl O O OEt α N O H HH Cl Zn Cl H O EtO O α-aminoacetoacetato de etilo α NH2 * * O OEt O cat. H+ N H + 4 4 3 α 3 2 25 5 EtO O N OEt OH O H H O H EtO O N OEt O H H 2 condensaciones