Integrantes:
   Ayala Paola
Naranjo Ana Belén
   Unda Mateo
OBJETIVOS


      • Dar a conocer los procesos de anabolismo de
        aminoácidos.


      • Conocer las reacciones que integran la biosíntesis de los
        aminoácidos no esenciales y aminoácidos esenciales.


      • Identificar la importancia del nitrógeno como
        componente esencial de los aminoácidos.
INTRODUCCIÓN

                                               Sintesis aa
                         Tejidos
                                            Remodelación aa

  Capacidad                                  Conversion de
                                            esqueletos de C

                       Organismos             Utilizan NH4+


                                             Transaminación


  Exceso dietético   Liberación N2 tóxico     Desaminación

                                            Formación de urea
TABLA DE AMINOÁCIDOS ESENCIALES Y NO ESENCIALES




Extraído de: http://www.blogdeculturismo.com/wp-content/uploads/2011/07/766_01.gif
ANABOLISMO DE AMINOÁCIDOS




Extraído de: http://es.scribd.com/doc/47575795/Biosintesis-de-aminoacidos
SINTESIS DE AA Y OTROS COMPUESTOS

  2 α –aminoácidos
      Glutamato           Síntesis de otros aa y otros
      Glutamina                   compuestos




                        Síntesis de úrea, pirimidinas y
  Carbamoil fosfato           otros compuestos.
BIOSÍNTESIS DE AMINOÁCIDOS




Extraído de: http://gatocolina.blogspot.com/2010/10/nutricion-autotrofa-y-heterotrofa.html
CARACTERÍSTICAS COMUNES EN LAS RX DE BIOSÍNTESIS DE
LOS 20 AA:



    6 familias biosintéticas
             de aa.                  Glucólisis



         Aa obtienen
                                Ciclo del ácido cítrico
    esqueleto de carbono
     de un intermediario
                               Ruta del fosfogluconato

       Grupo amino casi
     siempre proviene de
          glutamato
BIOSÍNTESIS DE AMINOÁCIDOS
      NO ESENCIALES
Biosíntesis de los aminoácidos
esenciales y no esenciales

(UNAM, 2008)
Aminoácidos no esenciales


                          Rx sencillas e
                          idénticas en
                              todos
                           organismos




           6 familias                             Aa
          biosintéticas                    sintetizados en
          en plantas y                      el organismo,
           bacterias,                       no provienen
          precursores                         de la dieta
Familia del Oxaloacetato




                    Oxaloacetato




                     Aspartato




                     Asparragina
Síntesis del
Aspartato y
de la
Asparagina




      (UNAM, 2008)
R polar (-)      Ácido aspártico   R polar      Asparragina
a pH=7
              Símbolo: D, Asp                    Símbolo: N, Asn
                                       O
    COOH                               C NH2
    CH2                                CH2

    CH NH2                             CH NH2
    C O                                C O
    OH                                 OH
Familia del Piruvato




                       Piruvato


                       Alanina
Síntesis de la Alanina




(UAB, 2009)
Alanina
R hidrófobo
                                 Símbolo: A, Ala




              CH3
              CH NH2
              C O
              OH
Familia del Fosfoenolpiruvato+Eritrosa 4-Fosfato



                      Fosfoenolpiruvato
                         +Eritrosa 4-
                           Fosfato




                        Fenilalanina




                          Tirosina
Síntesis de la Tirosina




(UNAM, 2008)
Tirosina

R polar (-) a pH=5                    Símbolo: Y, Tyr




                     OH




                     CH NH2
                     C O
                     OH
Familia del α-Cetoglutarato



                          Α-
                     Cetoglutarato




                      Glutamato




         Glutamina      Prolina      Arginina
Síntesis del Glutamato

   El glutamato es sintetizado por aminación reductora de α-cetoglutarato




             α                   Enzima: glutamato
                                  deshidrogenasa



Extraído de: http://www.portalveterinaria.com/apuntes/aspectos_urea2.gif
Síntesis de la Glutamina

 El glutamato es convertido a glutamina por rx con otro ión amonio:




                   Enzima: glutamina sintetasa




Extraído de: http://www.my-personaltrainer.it/glutamato-glutamina.gif
R polar   Glutamina         R polar(-) a pH=7    Ácido glutámico
 O        Símbolo: Q, Gln          O
                                                Símbolo: E, Glu
 C NH2                             C OH

 CH2                               CH2
                                   CH2
 CH2
                                   CH NH2
 CH NH2
                                   C O
 C O
                                   OH
 OH
Síntesis de la Prolina




    (UNAM, 2008)
Prolina
R hidrófobo              Símbolo: P, Pro




     CH2 CH2

     CH NH
     C O
     OH
Familia del 3-Fosfoglicerato



                             3-
                       Fosfoglicerato




                            Serina




                 Cisteina            Glicina
Síntesis de la
 Serina y Glicina




(UNAM, 2008)
FH4 como
cofactor
R =H      Glicina        R polar      Serina

       Símbolo: G, Gly                 Símbolo: S, Ser
                             OH
                             CH2
H
                             CH NH2
CH NH2                       C O
C O                          OH
OH
Síntesis de la Cisteina




                          (UR, 2004)
Cisteina
R polar (-) a pH=5              Símbolo: C, Cys




         SH
         CH2

         CH NH2
         C O
         OH
SAM como
cofactor
BIOSÍNTESIS DE LOS AMINOÁCIDOS




Plantas y bacterias        Humanos y Animales                Fuente de aminoácidos
• 20 aminoácidos           • 10 aminoácidos (no              • Proteínas de origen vegetal.
                             esenciales)                     • Herbívoros.
                           • Dieta: Aminoácidos esenciales
Familias Biosintéticas




                         (I. Milán, 2012)
Biosíntesis de aminoácidos esenciales
α-cetoglutarato
                  1. ARGININA




                            Biosíntesis de Aminoácidos Esenciales
1. Arginina                Símbolo: R, Arg

• Biosíntesis de Aminoácidos Esenciales - Familia del α-cetoglutarato


            R polar (+) a pH=7
 NH
 C NH2
 NH
 CH2 CH2
      CH2

      CH NH2
      C O
      OH
1. Arginina
Biosíntesis de Aminoácidos Esenciales - Familia del α-cetoglutarato




                                No
                                posee
                No ciclo
                                Arginasa
                urea
   Xx sint
   prot
α-
       cetoglutarato
                       1. Arginina
                       Biosíntesis de Aminoácidos Esenciales -
                          Familia del α-cetoglutarato

 Glutamato




        Vía Ornitina




Sint. Citrulina




          Arginina




Oxido Nítrico
N-acetilglutamato
Glutamato
Oxalacetato
              2. LISINA




                          Biosíntesis de Aminoácidos Esenciales
2. Lisina      Símbolo: K, Lys

• Biosíntesis de Aminoácidos Esenciales - Familia del oxalacetato
  Prevención y tratamiento de:


  Herpes zoster
                                                        R polar (+)
                                                        a pH=7
  Herpes labial


  Herpes genital



                     NH2
                     CH2 CH2
                   CH2           CH2

                   CH NH2
                   C O
                   OH
Sintesis de Lisina


         Forma ác.
 Tetrahidropicolínico, este      En la siguiente reacción se         Después de una
                                     libera el ác. Succínico   isomerización y eliminación
 Se activa con Succinil-SCoA        formando ahora el ác.
para formar el ác. N-Succinil-                                    de CO2 produce Lisina
                                  L,L-α ,ε-Diaminopimélico
 L, L- α ,ε-Diaminopimélico.
Síntesis de lisina
Oxalacetato
              3. METIONINA




                        Biosíntesis de Aminoácidos Esenciales
3. Metionina                        Símbolo: M, Met
CH3   Biosíntesis de Aminoácidos Esenciales - Familia del Oxalacetato
S
CH2                                      Produce creatina.
                     R hidrófobo
CH2

CH NH2
                                         El sulfuro de metionina
C O                                      actua para crecimiento y el
OH                                       detoxificación hepática



                                         En terapeutica se usó aislada
                                         en infecciones de vias
                                         urinarias y como
                                         hepatoprotector.
Síntesis de metionina




      Proviene del acido       Se activa el grupo β
          aspártico          carboxilo con un fosfato



   Se reduce con NADPH en
              un              La homoserina es un
                             precursos común de la
    aldehído y luego en un    síntesis de treonina y
     Alcohol, formando la           metionina
         Homoserina
Síntesis de metionina
Oxalacetato
              4. TREONINA




                        Biosíntesis de Aminoácidos Esenciales
4. Treonina                Símbolo: T, Thr

• Biosíntesis de Aminoácidos Esenciales - Familia del Oxalacetato
CH3
CH OH                                            Forma parte de
                         R polar                 los ARN
CH NH2                                           mensajeros
C O
OH




                                                 Importancia en
                                                 el equilibrio de
                                                 la función celular
Formación de:
lisina, treonina y metionina a partir de aspartato
Formación de:
treonina y metionina a partir de homoserina
Piruvato
           5. VALINA




                       Biosíntesis de Aminoácidos Esenciales
5. Valina              Símbolo: V, Val
Biosíntesis de Aminoácidos Esenciales - Familia del Piruvato




               CH3
        CH3    CH

               CH NH2
               C O      R hidrófobo
               OH
Piruvato
           6. LEUCINA




                        Biosíntesis de Aminoácidos Esenciales
6. Leucina
• Biosíntesis de Aminoácidos Esenciales - Familia del Piruvato




     R hidrófobo                                  Símbolo: L, Leu



        CH3
        CH CH3
        CH2
       CH NH2
       C O
       OH
6. Leucina
Comienza con la adición de
acetil SCoA sobre el
αcetoisovalerico



   Luego forma el ac.
   αisopropilmalico


       Posteriormente ocurre una des
       hidrogenación-hidratación y un
       reordenamiento del grupo
       hidroxilo


          Esto facilita la salida de CO   2

          y la formación de ac
          αcetoisocaproico


              Finalmente hay transaminación y
              la formación de la leucina
Piruvato
           7. ISOLEUCINA




                     Biosíntesis de Aminoácidos Esenciales
7. Isoleucina
Biosíntesis de Aminoácidos Esenciales - Familia del Piruvato




       R hidrófobo                                Símbolo: I, Ile



         CH3
         CH2
         CH CH3

         CH NH2
         C O
         OH
Fosfoenolpiruvato
Eritrosa-4- fosfato   8. TRIPTOFANO




                                Biosíntesis de Aminoácidos Esenciales
8. Triptofano                                Símbolo: W, Trp

•   Biosíntesis de Aminoácidos Esenciales - Familia del Fosfoenolpiruvato Eritrosa-4- fosfato

                               Mejora el humor


                               < insomnio


                               formador de serotonina.



                     NH




                      CH NH2
                      C O                R hidrófobo
                      OH
Fosfoenolpiruvato
Eritrosa-4- fosfato   9. FENILALANINA




                                Biosíntesis de Aminoácidos Esenciales
9. Fenilalanina                            Símbolo: eF, Phe
  Biosíntesis de Aminoácidos Esenciales - Familia del Fosfoenolpiruvato Eritrosa-4- fosfato


Se transforma en tirosina


Ubc. en neurotransmisores como:
                                                                                    CH2
• L dopa
• epinefrina                                                   R hidrófobo           CH NH2
• norepinefrina.                                                                     C O
                                                                                     OH
Se usa en depresión.T


rastornos deficit atención


Parkinson
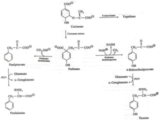
Glucólisis        Fosfoenolpiruvato
                          +
                  Eritrosa-4-fosfato    Fosfogluconato




         FENILALANINA           TRIPTÓFANO



             TIROSINA
Ribosa 5- fosfato
                    10. HISTIDINA




                               Biosíntesis de Aminoácidos Esenciales
10. Histidina             Símbolo: H, His

Biosíntesis de Aminoácidos Esenciales - Familia del Ribosa 5-Fosfato


        R polar (+)
        a pH=7




            N
                      NH

                CH NH2
                C O
                OH
Síntesis de Histidina




Es sintetizada por una vía                                         Esta se une a la
 que forma precursores            Se parte de una Ribosa        Adenina del ATP por la
  para la síntesis de las          activada como la 5-P-         acción de la enzima
  Purinas en sus etapas             Ribosil-1-Pirofosfato      Fosforibosil-Pirofosfato-
        iniciales.                                                 ATP Fosforilasa.


               Después de la eliminación
                                                  Por transaminación,
               del anillo 1-fosforibosil-4-
                                                    defosforilación y
                carboxamida-5-amino
                                                 oxidación da origen al
                   imidazol queda el
                                                 aminoácido Histidina,
                     Imidazol glicerol-P
ARTÍCULO CIENTÍFICO

• PROTEÍNAS Y AMINOÁCIDOS
  SOBRE EL RENDIMIENTO
  ENERGÉTICO
ANTECEDENTES
                                                          Síntesis de p.
                                                          estructurales
                                    Proteínas
    Aminoácidos
                                   corporales
                                                       Enzimas , hormonas




Extraído de: http://payala.mayo.uson.mx/Programa/Prote%C3%ADnas.htm
AMINOÁCIDOS ANABÓLICOS


                   Aaestimular
                liberación hormona
                   de crecimiento


      Promover procesos
                                Insulina
         anabólicos



                 Glucocortocoides
AMINOÁCIDOS DE CADENA RAMIFICADA



                   Investigadores evaluan efectos de
                     suplemetación con aa de cad.
                              Ramificada.


                      Hipótesis 1: AACR reduce la
                   degradación proteica inducida por
                     el ejercicio y/o la liberación de
                           enzimas musculares.


                     Hipótesis 2: disponibilidad de
                       AACR durante el ejercicio
                     contribuye a la fatiga central
GLUTAMINA



        • Crecimiento
          muscular



        • Combustible
          para células
          blancas
CREATINA


       Aa natural derivado de: glicina, arginina y metionina




             > Parte en músculo esquelético:
                      fosfocreatinina



                   Diariamente: 2 a 3 gr.



           Propuesta: suplementación como una
             forma de “cargar” al músculo con
             creatina y con fosfocreatina (PCr)



           Mejor habilidad para producir energía
HIDROXIMETILBUTIRATO (HMB)


               Metabolito de la leucina




              Inhibidor de degradación
                      protéica


              promueve ganancias en la
                 masa libre de grasa


                 Fuerza durante el
                 entrenamiento de
                    sobrecarga
CONCLUSIONES



   AACR: afectan la fatiga central y la
   supresión inmune inducida por el
               ejercicio




 Suplementación con creatina: mejorar
 rendimiento en ejercicio intermitente
de alta intensidad así como también de
mejorar adaptaciones al entrenamiento.
Bibliografía


• UNAM, 2008, Biosíntesis de aminoácidos, [en red]. Disponible:
  http://www.google.com/url?sa=t&rct=j&q=&esrc=s&source=web&
  cd=4&ved=0CFUQFjAD&url=http%3A%2F%2Fwww.uam.es%2Fpers
  onal_pdi%2Fciencias%2Ffhperez%2Ftema22.ppt&ei=NwDcT5bWJI-
  w8ASh6Py7Cg&usg=AFQjCNFpO6PWSXoT5iZVnQhCit9D1kgqeA&sig
  2=OUw7aZulhEBDl9y_8i7Sgw
• I. Milán, 2012, Biosíntesis de los aminoácidos, [en red]. Disponible:
  http://www.scribd.com/doc/19096451/BIOSINTES-DE-
  AMINOACIDOS
• Universidad Autónoma de Barcelona, 2009, Compuestos
  nitrogenados, [en red]. Disponible:
  http://minnie.uab.es/~veteri/21207/s.pdf
• Universidad de la República (UR), 2004, Metabolismo de
  aminoácidos, [en red]. Disponible:
  http://iqb.fcien.edu.uy/pdf/aminoacidos%20I%202004.pdf

Anabolismo de aminoacidos

  • 1.
    Integrantes: Ayala Paola Naranjo Ana Belén Unda Mateo
  • 2.
    OBJETIVOS • Dar a conocer los procesos de anabolismo de aminoácidos. • Conocer las reacciones que integran la biosíntesis de los aminoácidos no esenciales y aminoácidos esenciales. • Identificar la importancia del nitrógeno como componente esencial de los aminoácidos.
  • 3.
    INTRODUCCIÓN Sintesis aa Tejidos Remodelación aa Capacidad Conversion de esqueletos de C Organismos Utilizan NH4+ Transaminación Exceso dietético Liberación N2 tóxico Desaminación Formación de urea
  • 4.
    TABLA DE AMINOÁCIDOSESENCIALES Y NO ESENCIALES Extraído de: http://www.blogdeculturismo.com/wp-content/uploads/2011/07/766_01.gif
  • 5.
    ANABOLISMO DE AMINOÁCIDOS Extraídode: http://es.scribd.com/doc/47575795/Biosintesis-de-aminoacidos
  • 6.
    SINTESIS DE AAY OTROS COMPUESTOS 2 α –aminoácidos Glutamato Síntesis de otros aa y otros Glutamina compuestos Síntesis de úrea, pirimidinas y Carbamoil fosfato otros compuestos.
  • 7.
    BIOSÍNTESIS DE AMINOÁCIDOS Extraídode: http://gatocolina.blogspot.com/2010/10/nutricion-autotrofa-y-heterotrofa.html
  • 8.
    CARACTERÍSTICAS COMUNES ENLAS RX DE BIOSÍNTESIS DE LOS 20 AA: 6 familias biosintéticas de aa. Glucólisis Aa obtienen Ciclo del ácido cítrico esqueleto de carbono de un intermediario Ruta del fosfogluconato Grupo amino casi siempre proviene de glutamato
  • 9.
  • 10.
    Biosíntesis de losaminoácidos esenciales y no esenciales (UNAM, 2008)
  • 11.
    Aminoácidos no esenciales Rx sencillas e idénticas en todos organismos 6 familias Aa biosintéticas sintetizados en en plantas y el organismo, bacterias, no provienen precursores de la dieta
  • 12.
    Familia del Oxaloacetato Oxaloacetato Aspartato Asparragina
  • 13.
    Síntesis del Aspartato y dela Asparagina (UNAM, 2008)
  • 14.
    R polar (-) Ácido aspártico R polar Asparragina a pH=7 Símbolo: D, Asp Símbolo: N, Asn O COOH C NH2 CH2 CH2 CH NH2 CH NH2 C O C O OH OH
  • 15.
    Familia del Piruvato Piruvato Alanina
  • 16.
    Síntesis de laAlanina (UAB, 2009)
  • 17.
    Alanina R hidrófobo Símbolo: A, Ala CH3 CH NH2 C O OH
  • 18.
    Familia del Fosfoenolpiruvato+Eritrosa4-Fosfato Fosfoenolpiruvato +Eritrosa 4- Fosfato Fenilalanina Tirosina
  • 19.
    Síntesis de laTirosina (UNAM, 2008)
  • 20.
    Tirosina R polar (-)a pH=5 Símbolo: Y, Tyr OH CH NH2 C O OH
  • 21.
    Familia del α-Cetoglutarato Α- Cetoglutarato Glutamato Glutamina Prolina Arginina
  • 22.
    Síntesis del Glutamato El glutamato es sintetizado por aminación reductora de α-cetoglutarato α Enzima: glutamato deshidrogenasa Extraído de: http://www.portalveterinaria.com/apuntes/aspectos_urea2.gif
  • 23.
    Síntesis de laGlutamina El glutamato es convertido a glutamina por rx con otro ión amonio: Enzima: glutamina sintetasa Extraído de: http://www.my-personaltrainer.it/glutamato-glutamina.gif
  • 24.
    R polar Glutamina R polar(-) a pH=7 Ácido glutámico O Símbolo: Q, Gln O Símbolo: E, Glu C NH2 C OH CH2 CH2 CH2 CH2 CH NH2 CH NH2 C O C O OH OH
  • 25.
    Síntesis de laProlina (UNAM, 2008)
  • 26.
    Prolina R hidrófobo Símbolo: P, Pro CH2 CH2 CH NH C O OH
  • 27.
    Familia del 3-Fosfoglicerato 3- Fosfoglicerato Serina Cisteina Glicina
  • 28.
    Síntesis de la Serina y Glicina (UNAM, 2008)
  • 29.
  • 30.
    R =H Glicina R polar Serina Símbolo: G, Gly Símbolo: S, Ser OH CH2 H CH NH2 CH NH2 C O C O OH OH
  • 31.
    Síntesis de laCisteina (UR, 2004)
  • 32.
    Cisteina R polar (-)a pH=5 Símbolo: C, Cys SH CH2 CH NH2 C O OH
  • 33.
  • 34.
    BIOSÍNTESIS DE LOSAMINOÁCIDOS Plantas y bacterias Humanos y Animales Fuente de aminoácidos • 20 aminoácidos • 10 aminoácidos (no • Proteínas de origen vegetal. esenciales) • Herbívoros. • Dieta: Aminoácidos esenciales
  • 36.
    Familias Biosintéticas (I. Milán, 2012)
  • 37.
  • 38.
    α-cetoglutarato 1. ARGININA Biosíntesis de Aminoácidos Esenciales
  • 39.
    1. Arginina Símbolo: R, Arg • Biosíntesis de Aminoácidos Esenciales - Familia del α-cetoglutarato R polar (+) a pH=7 NH C NH2 NH CH2 CH2 CH2 CH NH2 C O OH
  • 40.
    1. Arginina Biosíntesis deAminoácidos Esenciales - Familia del α-cetoglutarato No posee No ciclo Arginasa urea Xx sint prot
  • 41.
    α- cetoglutarato 1. Arginina Biosíntesis de Aminoácidos Esenciales - Familia del α-cetoglutarato Glutamato Vía Ornitina Sint. Citrulina Arginina Oxido Nítrico
  • 42.
  • 43.
    Oxalacetato 2. LISINA Biosíntesis de Aminoácidos Esenciales
  • 44.
    2. Lisina Símbolo: K, Lys • Biosíntesis de Aminoácidos Esenciales - Familia del oxalacetato Prevención y tratamiento de: Herpes zoster R polar (+) a pH=7 Herpes labial Herpes genital NH2 CH2 CH2 CH2 CH2 CH NH2 C O OH
  • 45.
    Sintesis de Lisina Forma ác. Tetrahidropicolínico, este En la siguiente reacción se Después de una libera el ác. Succínico isomerización y eliminación Se activa con Succinil-SCoA formando ahora el ác. para formar el ác. N-Succinil- de CO2 produce Lisina L,L-α ,ε-Diaminopimélico L, L- α ,ε-Diaminopimélico.
  • 46.
  • 47.
    Oxalacetato 3. METIONINA Biosíntesis de Aminoácidos Esenciales
  • 48.
    3. Metionina Símbolo: M, Met CH3 Biosíntesis de Aminoácidos Esenciales - Familia del Oxalacetato S CH2 Produce creatina. R hidrófobo CH2 CH NH2 El sulfuro de metionina C O actua para crecimiento y el OH detoxificación hepática En terapeutica se usó aislada en infecciones de vias urinarias y como hepatoprotector.
  • 49.
    Síntesis de metionina Proviene del acido Se activa el grupo β aspártico carboxilo con un fosfato Se reduce con NADPH en un La homoserina es un precursos común de la aldehído y luego en un síntesis de treonina y Alcohol, formando la metionina Homoserina
  • 50.
  • 51.
    Oxalacetato 4. TREONINA Biosíntesis de Aminoácidos Esenciales
  • 52.
    4. Treonina Símbolo: T, Thr • Biosíntesis de Aminoácidos Esenciales - Familia del Oxalacetato CH3 CH OH Forma parte de R polar los ARN CH NH2 mensajeros C O OH Importancia en el equilibrio de la función celular
  • 54.
    Formación de: lisina, treoninay metionina a partir de aspartato
  • 55.
    Formación de: treonina ymetionina a partir de homoserina
  • 56.
    Piruvato 5. VALINA Biosíntesis de Aminoácidos Esenciales
  • 57.
    5. Valina Símbolo: V, Val Biosíntesis de Aminoácidos Esenciales - Familia del Piruvato CH3 CH3 CH CH NH2 C O R hidrófobo OH
  • 58.
    Piruvato 6. LEUCINA Biosíntesis de Aminoácidos Esenciales
  • 59.
    6. Leucina • Biosíntesisde Aminoácidos Esenciales - Familia del Piruvato R hidrófobo Símbolo: L, Leu CH3 CH CH3 CH2 CH NH2 C O OH
  • 60.
    6. Leucina Comienza conla adición de acetil SCoA sobre el αcetoisovalerico Luego forma el ac. αisopropilmalico Posteriormente ocurre una des hidrogenación-hidratación y un reordenamiento del grupo hidroxilo Esto facilita la salida de CO 2 y la formación de ac αcetoisocaproico Finalmente hay transaminación y la formación de la leucina
  • 61.
    Piruvato 7. ISOLEUCINA Biosíntesis de Aminoácidos Esenciales
  • 62.
    7. Isoleucina Biosíntesis deAminoácidos Esenciales - Familia del Piruvato R hidrófobo Símbolo: I, Ile CH3 CH2 CH CH3 CH NH2 C O OH
  • 64.
    Fosfoenolpiruvato Eritrosa-4- fosfato 8. TRIPTOFANO Biosíntesis de Aminoácidos Esenciales
  • 65.
    8. Triptofano Símbolo: W, Trp • Biosíntesis de Aminoácidos Esenciales - Familia del Fosfoenolpiruvato Eritrosa-4- fosfato Mejora el humor < insomnio formador de serotonina. NH CH NH2 C O R hidrófobo OH
  • 66.
    Fosfoenolpiruvato Eritrosa-4- fosfato 9. FENILALANINA Biosíntesis de Aminoácidos Esenciales
  • 67.
    9. Fenilalanina Símbolo: eF, Phe Biosíntesis de Aminoácidos Esenciales - Familia del Fosfoenolpiruvato Eritrosa-4- fosfato Se transforma en tirosina Ubc. en neurotransmisores como: CH2 • L dopa • epinefrina R hidrófobo CH NH2 • norepinefrina. C O OH Se usa en depresión.T rastornos deficit atención Parkinson
  • 68.
    Glucólisis Fosfoenolpiruvato + Eritrosa-4-fosfato Fosfogluconato FENILALANINA TRIPTÓFANO TIROSINA
  • 70.
    Ribosa 5- fosfato 10. HISTIDINA Biosíntesis de Aminoácidos Esenciales
  • 71.
    10. Histidina Símbolo: H, His Biosíntesis de Aminoácidos Esenciales - Familia del Ribosa 5-Fosfato R polar (+) a pH=7 N NH CH NH2 C O OH
  • 72.
    Síntesis de Histidina Essintetizada por una vía Esta se une a la que forma precursores Se parte de una Ribosa Adenina del ATP por la para la síntesis de las activada como la 5-P- acción de la enzima Purinas en sus etapas Ribosil-1-Pirofosfato Fosforibosil-Pirofosfato- iniciales. ATP Fosforilasa. Después de la eliminación Por transaminación, del anillo 1-fosforibosil-4- defosforilación y carboxamida-5-amino oxidación da origen al imidazol queda el aminoácido Histidina, Imidazol glicerol-P
  • 75.
    ARTÍCULO CIENTÍFICO • PROTEÍNASY AMINOÁCIDOS SOBRE EL RENDIMIENTO ENERGÉTICO
  • 77.
    ANTECEDENTES Síntesis de p. estructurales Proteínas Aminoácidos corporales Enzimas , hormonas Extraído de: http://payala.mayo.uson.mx/Programa/Prote%C3%ADnas.htm
  • 78.
    AMINOÁCIDOS ANABÓLICOS Aaestimular liberación hormona de crecimiento Promover procesos Insulina anabólicos Glucocortocoides
  • 79.
    AMINOÁCIDOS DE CADENARAMIFICADA Investigadores evaluan efectos de suplemetación con aa de cad. Ramificada. Hipótesis 1: AACR reduce la degradación proteica inducida por el ejercicio y/o la liberación de enzimas musculares. Hipótesis 2: disponibilidad de AACR durante el ejercicio contribuye a la fatiga central
  • 80.
    GLUTAMINA • Crecimiento muscular • Combustible para células blancas
  • 81.
    CREATINA Aa natural derivado de: glicina, arginina y metionina > Parte en músculo esquelético: fosfocreatinina Diariamente: 2 a 3 gr. Propuesta: suplementación como una forma de “cargar” al músculo con creatina y con fosfocreatina (PCr) Mejor habilidad para producir energía
  • 82.
    HIDROXIMETILBUTIRATO (HMB) Metabolito de la leucina Inhibidor de degradación protéica promueve ganancias en la masa libre de grasa Fuerza durante el entrenamiento de sobrecarga
  • 83.
    CONCLUSIONES AACR: afectan la fatiga central y la supresión inmune inducida por el ejercicio Suplementación con creatina: mejorar rendimiento en ejercicio intermitente de alta intensidad así como también de mejorar adaptaciones al entrenamiento.
  • 84.
    Bibliografía • UNAM, 2008,Biosíntesis de aminoácidos, [en red]. Disponible: http://www.google.com/url?sa=t&rct=j&q=&esrc=s&source=web& cd=4&ved=0CFUQFjAD&url=http%3A%2F%2Fwww.uam.es%2Fpers onal_pdi%2Fciencias%2Ffhperez%2Ftema22.ppt&ei=NwDcT5bWJI- w8ASh6Py7Cg&usg=AFQjCNFpO6PWSXoT5iZVnQhCit9D1kgqeA&sig 2=OUw7aZulhEBDl9y_8i7Sgw • I. Milán, 2012, Biosíntesis de los aminoácidos, [en red]. Disponible: http://www.scribd.com/doc/19096451/BIOSINTES-DE- AMINOACIDOS • Universidad Autónoma de Barcelona, 2009, Compuestos nitrogenados, [en red]. Disponible: http://minnie.uab.es/~veteri/21207/s.pdf • Universidad de la República (UR), 2004, Metabolismo de aminoácidos, [en red]. Disponible: http://iqb.fcien.edu.uy/pdf/aminoacidos%20I%202004.pdf