INVESTIGACION ALMUERZO GOURMET CONTROLADO.




               ASIGNATURA:

       INVESTIGACION DE MERCADOS.




               SEMESTRE IV.




             PRESENTADO A:

        HAIBER GUSTAVO AGUDELO.




  UNIVERSIDAD SAN BUENAVENTURA – CALI.

 ADMINISTRACIÓN DE NEGOCIOS – NOCTURNO.

    SANTIAGO DE CALI, AGOSTO DE 2012.



                                             1
ASIGNATURA:

    INVESTIGACIONES DE MERCADOS.




             SEMESTRE IV.




           PRESENTADO POR:

    JUAN SEBASTIAN ESCOBAR POLANIA

           WILDEMAR URREA

          SIROSH KHALID BUT




 UNIVERSIDAD SAN BUENAVENTURA – CALI.

ADMINISTRACIÓN DE NEGOCIOS – NOCTURNO.

   SANTIAGO DE CALI, AGOSTO DE 2012.

                                         2
AGRADECIMIENTOS.




El presente trabajo de investigación fue realizado bajo la supervisión del profesor
Haiber Gustavo Agudalo, a quien nos gustaría expresar nuestro más profundo
agradecimiento, por hacer posible la realización de este estudio. Además, de
agradecer su paciencia, tiempo y dedicación para con cada retroalimentación
de nuestro trabajo.

Gracias por su apoyo y por ser parte de la columna vertebral de esta
investigación.

A nuestros maestros, quienes compartieron con nosotros sus conocimientos
para contribuir a nuestra construcción integra y profesional, gracias por su
tiempo, dedicación y por su pasión por la actividad docente.




                                                                                 3
TABLA DE CONETENIDO.




PORTADA.                                       1

CONTRAPORTADA.                                 2

AGRADECIMIENTOS.                               3

INTRODUCCION.                                  5

INVESTIGACION CUALITATIVA.                     5

     Planteamiento del problema.               6

     Objetivos específicos.                    7

     Objetivos generales.                      7

     Preguntas para los clientes.              7

     Análisis situacional.                     8

     Análisis de la demanda.                   9

     Características del mercado.              9

     Competencia.                              9

     Características del consumidor.           12

     Futuro del entorno competitivo.           13

     Preguntas para los clientes               14

     Análisis grupos focales.                  15

INVESTIGACION CUANTITATIVA.                    17

     Hipótesis.                                19

     Metodología de la investigación.          19

     Muestreo.                                 20

     Encuesta.                                 21




                                                   4
INTRODUCCION.




Con el propósito de elaborar un plan de negocio para la puesta en marcha del
Restaurante De almuerzos Gourmet Controlados en la ciudad Cali, se planea
el desarrollo de investigación para abordar el mercado: un estudio a través de
encuestas y una entrevista grupal. A partir de los cuales se busca detectar la
demanda del mercado, definir el grupo objetivo del negocio, determinar las
percepciones y motivaciones de los consumidores frente a los alimentos
saludables y a su vez, obtener información valiosa para la etapa de diseño y
estructuración de los servicios y productos a ofrecer en el Restaurante.




                                                                            5
PLANTEAMIENTO DEL PROBLEMA.



SINTOMAS: ¿qué esta pasando?

Durante los últimos años Colombia se ha convertido en un gran punto de
convergencia gastronómica en donde se plantean todo tipo de tendencias y
combinaciones, pero lastimosamente dicha oferta no le ha prestado la debida
importancia a temas relacionados con la salud, generando hábitos
alimenticios pocos saludables y propiciando directamente problemas en la
salud de los consumidores tales como el exceso de azúcar, el sobrepeso,
entre otras. La aparición de dichas irregularidades en la salud de los
consumidores generarían un cambio en los hábitos alimenticios de los
mismos y abrirían una puerta a un nuevo nicho de mercado en donde se
tendrá como prioridad el consumo saludable de alimentos; esto obligará a
que cada uno de los restaurantes tenga una oferta mucho mas nutritiva.

Gracias al constante flujo de información, las nuevas tendencias de consumo
y la diversidad étnica presentada en la región; la sociedad caleña ha
constituido poco a poca una demanda mas selectiva que en años anteriores,
dentro de la cual existe una preferencia por los alimentos nutritivos y platos
balanceados.



CAUSA: ¿por qué esta pasando?

La cultura colombiana y en especial la caleña ha sido definida por una serie
de arraigos culturales que de cierta manera influyen o modifican decisiones
de consumo, tal es el caso que la gran mayoría de los colombianos
preferimos “estar llenos, que estar satisfechos” impulsando así un mayor nivel
de ventas en restaurantes donde se ofrezca mayor volumen y menor precio,
desplazando así el consumo de almuerzos gourmet controlados que a la vista
no son regido por su volumen sino por el equilibrio en cada uno de sus
componentes a un precio justo. Dicha tendencia de consumo basada en
arraigos culturales determinara la necesidad de definir mensajes publicitarios
y campañas de concientización que le permitan al ciudadano ser mas
consiente de la importancia de alimentarse bien y manejar un equilibrio con
respectos a los componentes de cada plato dejando en un segundo plato el
volumen de los almuerzos.




                                                                            6
PRONOSTICO: ¿QUÉ SUSEDERA SI TODO SIGUE IGUAL?

En la actualidad existe una gran distancia entre los restaurantes gourmet y
los productos saludables, puesto que existen empresas que se dedican a la
distribución de estos alimentos, pero no satisfacen la necesidad que tienen
las personas de vivir una experiencia dentro de un restaurante en donde
puedan tener acceso a este tipo de productos; y de igual manera existen
restaurantes que tienen algunos platos balanceados pero implicarían un
precio elevado. Será necesario el planteamiento y creación de nuevos
restaurantes en donde puedan converger los almuerzos balanceados, precios
razonables y la experiencia única que puede representar un buen restaurante
para el circulo social de las personas que en la actualidad demanda
alimentos saludables.



Formulación Del Problema:

¿ Cuáles son los factores que afectan el consumo de los almuerzos gourmet
desde la perspectiva saludable?



                                OBJETIVOS.

Objetivo General:

Conocer los factores que afectan el consumo de los almuerzos gourmet
desde la perspectiva saludable?



Objetivos Especificos:

      Definir la demanda potencial del servicio para diabéticos y las
      personas en dietas especiales.

      Cuantificar un porcentaje de la personas con diabetes que están
      interesados en un almuerzo gourmet controlado para su estilo de vida

      Cuantificar un porcentaje de la personas que aun sin tener problemas
      de diabetes están interesados en un almuerzo gourmet controlado
      para su estilo de vida.

      Determinar un precio razonable que las personas estén dispuestas a
      pagar por un almuerzo gourmet controlado.



                                                                             7
Investigar los actuales hábitos alimenticios de los caleños con una
      preferencia por lo saludable.

      Identificar los aspectos sociales que afectan el consumo de los
      almuerzos gourmet desde una perspectiva saludable en la ciudad de
      Cali

      Conocer los factores sicológicos que afectan el consumo de los
      almuerzos gourmet desde una perspectiva saludable en la ciudad de
      Cali



                          ANÁLISIS SITUACIONAL.



Análisis de la demanda:

Características y comportamiento del comprador:

Desarrolle un análisis de segmentación con base en el perfil geográfico,
demográfico y psicográfico.

¿Qué compra?

Además de estar comprando alimentación se compra un alimento saludable,
de calidad, delicioso sabor, nutrición, control sobre problemas de salud,
servicio, comodidad, calidad de vida.

¿Quién compra?

Personas con problemas de diabetes y personas que estén interesadas en el
cuidado de su salud alimenticia.

Orientado a estratos 4,5 y 6

¿Dónde compra?

Restaurantes, centros comerciales, chefs personales.

¿Por qué compra?

Gusto, salud.

¿Cómo compra?

Se dirige al lugar de venta y come en este o pide para llevar o a domicilio.

¿Cuándo compra?

                                                                               8
Mínimo 1 ves al día a la hora del almuerzo, algunas veces a la hora de la
cena también.

¿Qué cantidad compra?

Una porción



¿Cómo cambiarán las características y el comportamiento del

comprador en el futuro?

Mayor exigencia con la variedad de productos

¿Están satisfechos los clientes? ¿A qué nivel?

No estas satisfechos ya que n hay oferta suficiente de este producto.

¿Se retienen a los clientes? ¿A qué nivel?

Si un cliente encuentra un lugar donde adquirir este producto y si es de
buena calidad , es casi seguro que este sea retenido ya que la oferta es muy
escasa.



                   CARACTERÍSTICAS DEL MERCADO.



Potencial del tamaño del mercado

existen alrededor de 126000 diabéticos en Cali

Segmentos:estratos 4,5 y 6 entre las edades de 25 a 69

Demanda selectiva:

Tendencias futuras del mercado

la producción de una mas amplia variedad de alimentos saludables que
puedan ser utilizados para nuevas recetas. El crecimiento de la demanda en
busca de alimentos saludables.




                                                                          9
COMPETENCIA.

¿quiénes son los competidores?

En la actualidad la ciudad de Cali dentro de alta gama de oferta culinarias no
cuenta con un restaurante dedicado no solo a satisfacer la demanda de los
diabéticos, sino a satisfacer la demanda de todas aquellas personas que
están preocupadas por su salud y no desean ingerir ningún tipo de alimento
que contenga los exagerados niveles de azúcar que están presentes en el
resto de los restaurantes, también cabe resaltar que estas personas o
mercado objetivo no acudirían al restaurante solamente para ingerir alimentos
sin azúcar sino por tener un espacio de esparcimiento publico donde se
encuentren este tipo de alternativas.



Dentro de nuestro mercado cuando nos referimos a nuestros competidores
es claro que no debemos de fijarnos en el mismo tipo de negocio es decir en
un restaurante que venda productos sin azúcar además de otros alimentos
saludables, puesto que en la actualidad no existen este de restaurantes en
Cali, sino que debemos de fijarnos en todas aquellos negocios que venden y
distribuyen productos sin azúcar; es así que hemos encontrado algunos de
nuestro posibles consumidores tales como:

ALNUT LTDA: es una empresa que se dedica a la distribución de productos
sin azúcar con asesoramiento medico especializado.

Al igual que esta también encontramos empresas como DIABET SALUD y
PRODUCTOS LIGHT SOY ARROZ, los cuales también se decían a la
comercialización de productos exclusivamente para diabéticos.

Dentro de nuestro análisis encontramos como principal competidor a:

Postres y ponques don jacobo, debido a que es unos de los principales
incursores en el mercado de los productos sin azúcar, intentando combinar
una tendencia global hacia el consumo de productos saludables y la
propuesta de una marca local que ha sido aceptado de gran forma por los
consumidores caleños.



Historia de postres y ponques don jacobo:

Don Jacobo Postres y Ponqués
 ¡Una marca dinámica!

La marca Don Jacobo, que hoy estamos presentando tanto en el mercado
Colombiano como en el Internacional, es el resultado de casi 25 años de una
marca soñada por su fundador, quien por los años ochentas, pensó en la

                                                                           10
creación de “POSTRES”, palabra genérica que definía todo lo que él quería
vender como complemento al portafolio del negocio de sus padres, dedicado
exclusivamente a vender el tradicional Ponqué.

En 1986 la marca se convierte en POSTRES Y PONQUÉS, y es así como
nace la cadena de repostería más grande de Colombia, con una marca
genérica que describe en dos palabras el objetivo comercial, la producción y
venta de repostería dulce.

Su portafolio de productos se ha convertido en un amplio universo de postres,
tortas, porqués y muchas creaciones de recetas propias, como la ya famosa
GENOVESA, que han endulzado por décadas la vida de sus clientes.

En los años noventa, la compañía adquiere como nombre corporativo
“Industrias de Alimentos Don Jacobo”, haciendo el registro de la marca Don
Jacobo en la categoría 30 internacional y con cobertura en toda
Latinoamérica. Bajo este nombre fue siendo reconocida por sus proveedores
y el sector financiero, igualmente por los empleados de la compañía, quienes
se autodenominaron “Gente Don Jacobo”. Comercialmente se siguieron
viendo hasta finales del siglo XX los reconocidos avisos de sus fachadas, en
fondo color blanco, acompañados de las palabras Postres & Ponqués, que en
letra clásica con rebordes dorados connotaban la calidad que siempre se ha
querido ofrecer a la clientela; esta marca estaba acompañada de un logo
sencillo, dibujado en trazos de dos líneas, que daban forma a un porqué con
su moño decorativo, evocando el símbolo de celebración de esos momentos
especiales que alegran nuestras vidas.

Llegado el nuevo siglo se vio la necesidad de integrar de manera armónica la
ya reconocida marca POSTRES Y PONQUÉS con el nombre corporativo
Industria de Alimentos Don Jacobo, que junto con un cambio de imagen y
diseño de sus puntos de venta, mostró el resultado obtenido durante las
décadas anteriores en cuanto a posicionamiento en el mercado nacional y en
el exterior.

Es así como surge “POSTRES Y PONQUÉS DON JACOBO ™”, con su
característico color verde y en donde las letras en blanco le dan el lustre que
tienen sus tortas y el detalle impecable de su símbolo, un porqué ahora en
volumen actualizando el símbolo anterior.

Estos dos elementos, las palabras y el nuevo símbolo se acompañaron de la
firma DON JACOBO (marca registrada), que en tono verde reflejaba el
continuo crecimiento y vida de la empresa.

Transcurrida la primera década del siglo XXI y cercanos a cumplir sus 25
años de marcados desarrollo en la creación e ingreso de nuevos productos,
especialización en producción, apertura de puntos de venta y de gran


                                                                            11
posicionamiento en el mercado, sus directivos detectaron la fuerza de la
marca DON JACOBO, por contener en sólo dos palabras la experiencia
adquirida durante este tiempo y el potencial de un futuro lleno de
oportunidades para una empresa dinámica, en constante evolución y
desarrollo que centra su mirada en mejorar el servicio a sus clientes. Es así
como vestida de color chocolate, el favorito de grandes y pequeños a la hora
del postre o del pastel, se presenta a todos; DON JACOBO (marca
registrada) acompañada de la descripción genérica Postres y Ponqués, una
marca impecable que es más que eso, es la firma que respalda el
conocimiento, el compromiso e ímpetu de quienes están detrás del negocio.

Esta marca reúne la experiencia, trabajo y compromiso de la gente en sus
centros de producción y puntos de venta, para hacer de esos momentos
especiales auténticos momentos de felicidad, es la garantía de calidad de
cada uno de sus productos y es el deseo vehemente de mantener con
esfuerzo y dedicación, el liderazgo en el negocio de la repostería dulce en
Colombia y fuera de ella.

La marca DON JACOBO en su exquisito color chocolate no está sola, está
sobre el verde que distingue a esta gran cadena de repostería a nivel
nacional y con la que encontramos una gran paleta de colores que identifica
la variedad y lo atractivo de todos los elementos que, puestos de manera
artística, hacen de cada Torta, Postre o Ponqué un elemento único y
especial, capaz de llenarnos de alegría en cada dulce momento de nuestras
vidas.



                CARACTERÍSTICAS DEL CONSUMIDOR.



Programas de marketing y comportamiento competitivo:

En la actualidad la empresa POSTRES Y PONQUES DON JACOBO se
encuentra en u proceso de marca donde se realizado una campaña intensa
de marketing en donde se incluye la uniformidad en el diseños y colores en
cada una de sus tiendas y productos, también están trabajando fuertemente
en el posicionamiento de sus productos en estados unidos, gracia a la
implementación de su propia pagina web y una red de distribución en
estados unidos, de esta manera la empresa busca captar todo el mercado
latino y en especial el colombiano que reside permanentemente en
Norteamérica.

POSTRES Y PONQUES DON JACOBO también a incursionado en el
mercado centroamericano mas específicamente en Costa rica en donde ya
cuenta con un local comercial y planea abrir tres mas.

                                                                          12
POSTRES Y PONQUES DON JACOBO también se encuentra trabajando
fuertemente en la relación con los clientes y en el fortalecimiento de su
vinculo comercial, de esta manera la empresa toma la decisión de hacer
presencia en cada una de las redes sociales como Facebook y Twitter en
donde se realizan las principales campañas publicitarias.



Principales fortalezas y debilidades:



Fortalezas: para nuestro principal competidor POSTRES Y PONQUES DON
JACOBO hemos considerado las siguientes fortalezas:

- Una marca establecida y reconocida a nivel local y nacional por el mercado
objetivo colombiano.

- Una muy buena red de distribución y cobertura a nivel nacional e
internacional (estados unidos y costa rica.).

- Una variada gama de productos con recetas tradicionales colombianas.



Debilidades: de la misma manera hemos considerado las siguientes
debilidades:

- no cuenta con un lugar de esparcimiento publico.

- Poca oferta de productos sin azúcar.

- Sus productos no son innovadores.



                   FUTURO ENTORNO COMPETITIVO.



El futuro del mercado del mercado de la repostería y los alimentos en
Colombia se encuentra direccionada por las principales tendencias tales
como comer saludables, la protección del medio ambiente, entre muchas
otras, de esta manera es importante que todas las empresas que quieran
ganar un mayor porcentaje del mercado es importante adaptar estas
tendencias a sus propuestas de valor acompañadas de una identidad
corporativa establecida por cada una de ellas.




                                                                         13
PREGUNTAS PARA LOS CLIENTES.



  1) Nos podría describir cuales son sus hábitos alimenticios?
  2) Cual es la alimentación recomendada para su salud?
  3) por que esta alimentación se puede ver afectada?
  4) Con que frecuencia sale usted a comer a restaurantes?
  5)  Que tan satisfecho esta usted con la variedad que encuentra de
     alimentos saludables en los restaurantes
  6) según el menú descrito cuanto estaría usted dispuesto a pagar por un
     almuerzo gourmet controlado?


Menú

       Semana 1:

       Lunes: salmon y vegetales horneados con vino y zumo de naranja
       Martes: pollo relleno de espinaca y queso ricotta acompañado por
       papiollet de vegetales
       Miercoles: crema de lentejas, lomo de res al horno en reduccion de
       vino tinto y jengibre acompañado por champinones salteados
       Jueves: ceviche de corvina con mango, pimenton, tomate, cebolla
       morada, y acompañado por tostadas integrales.
       Viernes: Lomo de cerdo         al horno marinado con maracuya
       acompañado por vegetales al vapor.



       Semana 2:

       Lunes: Filete de atun en salsa soya acompañado por pure de platano
       y brocoli al vapor.
       Martes: kibbe horneado acompañado por hummus, tabule y pan arabe
       Miercoles: pollo al pimenton acompañado por pure de alcachofas y
       calabacines horneados
       Jueves: pargo horneado con mango y albaca acompañado por
       ensalada con coco, aguacate y tomate
       Virenes: ensalada con pollo asado, , nueces, tometes secos, queso
       cabra, aguacate con pesto.




                                                                      14
PERSONAS ENTREVISTADAS:

- Rossa maria Jaramillo, 61, hipotiroidismo, diabética e hipetenza

- Claudia hernandez 47

- Viviana Andrea Fontal 23, hipoglicemia

- Nevia Caicedo 61, diabética e hipertensa

- Julio cesar Valverde 32, diabetico



MODERADOR DEL GRUPO FOCAL

SIROSH K. BUTT

SITIOS DE REUNION

RESATAURANTE ARTE Y COCINA.

INTEGRAR SALUD LTDA.




ANALISIS DE LOS GRUPOS FOCALES:

Por medio del focus group realizado pudimos detectar algunas variables, las
cuales le impiden a las personas que deben seguir una dieta estricta de
tener una alimentación adecuada, estas variables son:

   1. Los participantes hacen mucho énfasis en que es muy difícil encontrar
      un sitio que ofrezca una con la alimentación adecuada y balanceada
      con productos saludables en donde se pueda tener la certeza de que
      los ingredientes y la preparación sean los adecuados en una dieta
      balanceada, porque de lo contrario podría ser muy perjudicial para su
      salud. (6 personas de 6 posibles manifestaron esta variable)

   2. El comer a deshoras es un problema realmente grave para estas
      personas, debido a que ellos deben tener el nivel de la insulina bien
      controlado y ellos manifestaron que por el agite de sus labores diarias
      se ve interrumpido este compromiso con su salud. (4 personas de 6
      posibles manifestaron esta variable)S




                                                                           15
3. Los participantes coincidieron en que el precio justo por un menú como
     el antes mencionado seria entre $10.000 y $15.000 debido a los
     ingredientes y a lo que están acostumbrados a pagar por una comida
     algo sana como se encuentra en algunos lugares. (6 personas de 6
     posibles oscilaron entre este rango)




Otros puntos analizados:

   1. Pudimos observar que los participantes van al menos 2 veces a la
      semana a comer a restaurantes y que podrían ir muchas mas si
      existiera una mejor oferta de comidas saludables.

   2. Las personas que siguen una dieta saludable normalmente no
      disfrutan mucho de la comida que pueden adquirir y se ven
      interesados cuando se les menciona un menú gourmet ya que por
      falta de conocimiento en gastronomía no tienen acceso a esta
      combinación de ingredientes y a preparaciones que aunque son
      saludables pueden llegar a tener un exquisito sabor. Este punto con
      solo ver la expresión en la cara de las personas podemos ver que les
      llama la atención y muy seguramente al tener la oferta de algo así
      serian clientes seguros.

   3. Algo que pudimos observar es que estas personas al ver el menú
      propuesto entienden que esto es una comida sana, rica pero la
      asocian como algo de un valor económico alto lo que tal ves no
      convenga para muchos para un almuerzo diario, si no mas bien para
      una cena ocasional.

   4. Las personas no dan a entender que si están interesados en una
      comida sana, siempre y cuando esta tenga un valor similar a los que
      ellos gastan diariamente, algo de un valor mas alto puede convertirse
      en algo ocasional y no frecuente.




                                                                        16
INVESTIGACION CUANTITATIVA.



PLANTEAMIENTO DEL PROBLEMA.

SINTOMAS: ¿qué esta pasando?

Durante los últimos años Colombia se ha convertido en un gran punto de
convergencia gastronómica en donde se plantean todo tipo de tendencias y
combinaciones, pero lastimosamente dicha oferta no le ha prestado la debida
importancia a temas relacionados con la salud, generando hábitos
alimenticios pocos saludables y propiciando directamente problemas en la
salud de los consumidores tales como el exceso de azúcar, el sobrepeso,
entre otras. La aparición de dichas irregularidades en la salud de los
consumidores generarían un cambio en los hábitos alimenticios de los
mismos y abrirían una puerta a un nuevo nicho de mercado en donde se
tendrá como prioridad el consumo saludable de alimentos; esto obligará a
que cada uno de los restaurantes tenga una oferta mucho mas nutritiva.

Gracias al constante flujo de información, las nuevas tendencias de consumo
y la diversidad étnica presentada en la región; la sociedad caleña ha
constituido poco a poca una demanda mas selectiva que en años anteriores,
dentro de la cual existe una preferencia por los alimentos nutritivos y platos
balanceados.



CAUSA: ¿por qué esta pasando?

La cultura colombiana y en especial la caleña ha sido definida por una serie
de arraigos culturales que de cierta manera influyen o modifican decisiones
de consumo, tal es el caso que la gran mayoría de los colombianos
preferimos “estar llenos, que estar satisfechos” impulsando así un mayor nivel
de ventas en restaurantes donde se ofrezca mayor volumen y menor precio,
desplazando así el consumo de almuerzos gourmet controlados que a la vista
no son regido por su volumen sino por el equilibrio en cada uno de sus
componentes a un precio justo. Dicha tendencia de consumo basada en
arraigos culturales determinara la necesidad de definir mensajes publicitarios
y campañas de concientización que le permitan al ciudadano ser mas
consiente de la importancia de alimentarse bien y manejar un equilibrio con
respectos a los componentes de cada plato dejando en un segundo plato el
volumen de los almuerzos.




                                                                           17
PRONOSTICO: ¿QUÉ SUSEDERA SI TODO SIGUE IGUAL?

En la actualidad existe una gran distancia entre los restaurantes gourmet y
los productos saludables, puesto que existen empresas que se dedican a la
distribución de estos alimentos, pero no satisfacen la necesidad que tienen
las personas de vivir una experiencia dentro de un restaurante en donde
puedan tener acceso a este tipo de productos; y de igual manera existen
restaurantes que tienen algunos platos balanceados pero implicarían un
precio elevado. Será necesario el planteamiento y creación de nuevos
restaurantes en donde puedan converger los almuerzos balanceados, precios
razonables y la experiencia única que puede representar un buen restaurante
para el circulo social de las personas que en la actualidad demanda
alimentos saludables.

Formulación Del Problema:

¿ Cuáles son los factores que afectan el consumo de los almuerzos gourmet
desde la perspectiva saludable?



                                OBJETIVOS.

Objetivo General:

Conocer los factores que afectan el consumo de los almuerzos gourmet
desde la perspectiva saludable?

Objetivos Especificos:

      Definir la demanda potencial del servicio para diabéticos y las
      personas en dietas especiales.

      Cuantificar un porcentaje de la personas con diabetes que están
      interesados en un almuerzo gourmet controlado para su estilo de vida


      Cuantificar un porcentaje de la personas que aun sin tener problemas
      de diabetes están interesados en un almuerzo gourmet controlado
      para su estilo de vida.

      Determinar un precio razonable que las personas estén dispuestas a
      pagar por un almuerzo gourmet controlado.

      Investigar los actuales hábitos alimenticios de los caleños con una
      preferencia por lo saludable.


                                                                           18
Identificar los aspectos sociales que afectan el consumo de los
      almuerzos gourmet desde una perspectiva saludable en la ciudad de
      Cali

      Conocer los factores sicológicos que afectan el consumo de los
      almuerzos gourmet desde una perspectiva saludable en la ciudad de
      Cali



HIPOTESIS:

Aunque gran parte de los hábitos alimenticios de los consumidores caleños
están o han sido influenciados por sus condiciones de salud, se sienten
motivados a seguir acudiendo masivamente a restaurantes gourmet, debido a
que la necesidad de relacionarse en distintos sitios de esparcimiento publico
como restaurantes y bares.



METODOLOGÍA DE INVESTIGACIÓN:

Durante el transcurso de la investigación de campo hemos podido determinar
que no solamente la diabetes es un determinante para alterar o cambiar los
hábitos alimenticios, enfocándolos en el consumo de comidas balanceadas y
saludables, es así que hemos decidido incorporar al estudio las personas que
padecen hipertensión alta, cabe resaltar que aunque el estudio se ha
realizado con base a personas que presenten dichas enfermedades, también
existe un mercado bastante atractivo y que enriquecería nuestra cifras como
lo son las personas que por gusto han decidido sostener unaalimentación
balanceada.



Se realizo una investigación exploratoria donde se definiócaracterísticas del
marcado, potencial del mercado, el perfil de los consumidores y los hábitos
de consumo en donde se logro identificar situaciones problemáticas que de
alguna manera u otra afectaran su consumo.




                                                                          19
MUESTREO:



Para la determinación de nuestra población se tomo en cuenta los datos de
personas que presentan diabetes y hipertensión alta puesto que son las mas
susceptibles al cambio de hábitos alimenticios, dichos datos están definidos
dentro del boletín informativo generado por la alcaldía de Cali
correspondiente a la salud de los ciudadanos.

A6

                                                                                SIGMA
                                                                     1    90%           1,64
     muestra final, Cali 2011
                                                                     2    95%           1,96
Probabilidad de éxito (p)             p             0,5
                                                                     3    99%           2,57
Probabilidad de fracaso (q)           q             0,5
Población= (N)                        N         148530
Nivel de confianza= sigma             Z               1
Margen de Error= e                    e          0,0795




                                sigma2 * N * p * q

                                                              106
                            -----------------------------   = encuestas

                          e2 * (N-1) + sigma2 * p * q




de acuerdo a nuestros objetivos hemos decido empeñar un muestreo
aleatorio estratificado, el cual nos permitirá discriminar características
importante en la decisión de compra de nuestro mercado objetivo, se
tomarían personas diabéticas e hipertensas que pertenezcan a extractos
sociales 3, 4, 5 y 6.




                                                                                        20
PRIMER MODELO DE ENCUESTA: prueba piloto.




                                            21
22
23
CORRECCIONES PRUEBA PILOTO.



      ALMUERZO GOURMET CONTROLADO SALUDABLEMENTE



Por favor, rellene esta pequeña encuesta. La información que nos
proporcione será utilizada para conocer el grado de aceptación en el mercado
de [almuerzo gourmet controlado].



La encuesta no le llevará más de [5] minutos. Muchas gracias por su
colaboración.



Nombre del encuestador:                Encuesta número:




1- ¿es usted diabético, presenta alguna enfermedad o tiene alguna
preferencia que determine su consumo por la comida saludable?



                             Si:       No:



DATOS PERSONALES:



                         2- Edad:

                         3- Estrato:



4- Genero:



                  femenino               masculino




                                                                         24
5- ¿Cual es su ocupación actualmente?

                  Estudiante

                  Ama de casa

                  Empleado o Empleado independiente



6- ¿cuál es su estado civil?

                  Soltero

                  Casado o en unión libre

                  Separado o divorciado

                  viudo



7- ¿cuándo usted sale a comer a restaurantes que espera encontrar?

                  Excelente sabor

                  Comida balanceada

                  Menú variado

                  Excelente servicio

                  Buen precio



8- Cuando sale a almorzar busca usted sitios que tengan opciones
de alimentos saludables

                               Si:     No:



9- Se le dificulta a usted conseguir alimentos saludables

                               Si:     No:




                                                                     25
10- Que tan satisfecho esta usted con los alimentos que puede
conseguir?

               Muy satisfecho

               Poco satisfecho

               No estoy satisfecho



11- Se preocupa por el cuidado de su salud y su alimentación

                              Si:    No:



        DISTRIBUCIÓN E INFORMACIÓN SOBRE EL PRODUCTO

12- ¿qué opinión tiene usted sobre los restaurantes que ofrecen almuerzos
gourmet balanceados?

                Muy interesante

                Interesante

                Neutro

                Poco interesante

                Nada interesante



13- ¿cuales serian las razones por las cuales no consumiría un almuerzo
gourmet controlado?



         No lo necesito.

         Precio excesivo

         Disponibilidad de tiempo

         Estoy feliz con mi salud

         No me gusta el sabor de los alimentos saludables




                                                                      26
14- ¿Con que frecuencia sale usted a almorzar a establecimientos o pide
domicilios?



                       1 vez por semana

                       2 veces por semana

                       3 veces por semana

                       4 veces por semana

                       5 veces por semana

                       6 veces por semana

                       nunca



15- ¿cual es su percepción de la comida saludable?

                Costosa

                De muy buen sabor

                Muy saludable

                De muy mal sabor



16- ¿cuales son los principales factores que motivan su elección por la
comida saludable?

                Recomendación medica

                Beneficio para la salud

                Por gusto




                                                                          27
17- ¿A la hora de almorzar prefiere un almuerzo saludable en lugar
de un almuerzo ejecutivo?

si                        no                         En ocaciones




18- Influye el precio en su decisión al consumir un almuerzo
saludable sobre un almuerzo ejecutivo



si                        no                         En ocaciones




19- ¿en que sector de la ciudad le gustaría poder adquirir este producto?



                        Peñón

                        Ciudad jardín

                        Granada

                        centro



20- ¿a través de que medio o medios le gustaría recibir información sobre
este producto?



Anuncios en prensa o revistas

Correo ordinario

Televisión

Folletos

Radio

Internet



                                                                            28
21- Que precio estaría usted dispuesto a pagar por este producto?



                       De 5.000$ a 7.000$

                       De 7.000$ a 10.000$

                       De 10.000$ a 13.000$

                       De 13.000$ a 16.000$

                       Mas de 16.000$




22- suponiendo que el precio sea satisfactorio para usted, ¿lo compraría?

                             si

                             no

                             Tal vez




                                                                            29
ANALISIS DE LOS RESULTADO:




al realizarse el histograma correspondiente al factor edad dentro de nuestras
encuestas, encontramos una media de 35 años, donde se destaca un
porcentaje significativo de personas en edades entre 50 y 60 años; esto se
debe al sitio en donde se realizaron las encuestas, debido a que fueron
realizadas en sitios como universidades donde concentra una gran nuemero
de estudiantes de edades en entre 25 y 31 años, tambien se realizaron en
empresas, consultorios medicos y algunas unidades residenciales, donde su
poblacion eran personas mucho mas mayores que en las universidades, pero
que hacian parte de nuestro mercado objetivo.




                                                                          30
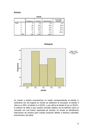
Estrato:




en cuanto a estrato encontramos un media correspondiente al estrato 4,
coherente con los lugares en donde se realizaron la encuesta. el estrato 3
obtuvo un 36%, el estrato 4 un 22,6% y por ultimo el estrato 5 con un 29,2% .
lo anterior se debe a que nuestro mercado objetivo se ha definido como un
mercado con una buena capacidad de compra, en donde se identificaron
intenciones de compra para nuestro producto debido a factores culturales,
economicos y de salud.



                                                                          31
Ocupacion:




a nivel de ocupacion encontramos un 74,5% de personas empleados por una
empresa e independientes, ya que aunque la mayor de encuestas realizadas
fueron en universidaes en horario nocturno y empresas horario laboral,
muchos de los estudiantes se necontraban en una media de 30 años, los
cuales tenian empleos estables, lo cual es muy influyente en la decisión de
compra de nuestro producto, ya que los empleados y estudiantes son las
personan que mayor frecuencia tienen en el consumo de alimentos fuera de
sus hogares.




un 66% afirmo que lo que mas buscan cuando comen por fuera del hogar es
el sabor, seguido del 11.3% y el 10,4% de comida balanceada y buen precio
respectivamente, lo que permitio comprobar un mito gastronomico en donde
se estima que las personas de estratos medios como el 3 y el 4 creen que los
alimentos gourmet balanceados no tienen un muy buen sabor y que son muy
costos como para adquirirlos regularmente.




                                                                         32
el 78,3% de los encuestados respondio que se le dificultaba encontrar
alimentos saludables, lo que corrobora que en la gran parte de parejas y
familias caleñas en estratos como el 3 presentan un mayor limite de
acsecibilidad a productos saludables, sea por la poca oferta de restaurantes o
lugares donde se distribuya estos productos o el alto precio que en la
actualidad tienen estos productos.




el 34% esta poco satisfecho con los alimentos saludables, y el 48,1% de los
encuestados no esta satisfecho, lo que nos muestra un claro porcentaje de
los trabajadores y estudiantes encuestados presentan una inconformidad
frente a la oferta de productos saludables; esto se debe a que muchos de los
restaurantes cerca de las empresas no tienen ningun conocimiento sobre


                                                                           33
comida gourmet balanceada y que algunas de las empresas ya tienen
acuerdos de compra con restaurantes. Al cruzar esta pregunta con las
razones por las cuales no consumirian un almuerzo gourmet contralado, nos
indica que muchos de los empleados y estudiantes no desean consumir estos
productos debido a su precio exesivo reprecentado por un porcentaje de
37,7% y a una disponibilidad de tiempo que tienen por parte de las empresas
con un porcentaje del 34%. Cabe resaltar que la cultura caleña a marginado a
los añimentos gourmet en un concepto de que lo balanceado o lo saludable
implique un sabor no tan agradable al paladar caleño con un porcentaje del
17% y en algunos casos al añadir la palabra gourmet encontramos
efectivamente que se relacion con un precio alto.




                                                                         34
el 48,1% contestaron que a la hora de almorzar prefieren un almuerzo
saludable por encima de un almuerzo ejecutivo, e 55% de los encuestados
respondieron que el precion no influiria entanto en la decisión de compra
entre un almuerzo ejecutivo y uno saludables y el 71% de los encuestados
respondieron que consumiriancomida saludable por que tendrian un beneficio
para su salud. Si cruzamos las anterios tablas, encontraremos que al ser 35
años la edad media de los encuestados, entran en una etapa de la vida
donde su salud y habitos alimenticios toman una mayor importancia,
estableciendo nuevas preferencias de consumo; pero a pesar de la evidente
motivacion por la comida saludable, las personas sujetan su consumos a
foctores como la ubicación y el que decir popular donde mal sabor de
productos saludables es un tema constante.




                                                                        35
el 62,3% de los encuestados respondieron que el internet seria el medio por
el cual preferirian recibir informacion sobre nuestra producto, esto se debe a
que tanto empleados como estudiantes pasan el mayor tiempo del dia en
internet lo que facilitaria la comunicación entre el restaurante y nuestros
clientes, logrando una reduccion importante en el presupuesto destinado a
comunicación y mercadeo del restaurante.

El 12,3% consideraron que preferirian recibir indformacion en folletos, ya que
muchas de las personas mayores aun son mas sensibles a la publicidad
ficica como volantes pancartas y tarjetas que los estudiantes y profesionales
jovenes.




                                                                           36
37

Final diabeticos

  • 1.
    INVESTIGACION ALMUERZO GOURMETCONTROLADO. ASIGNATURA: INVESTIGACION DE MERCADOS. SEMESTRE IV. PRESENTADO A: HAIBER GUSTAVO AGUDELO. UNIVERSIDAD SAN BUENAVENTURA – CALI. ADMINISTRACIÓN DE NEGOCIOS – NOCTURNO. SANTIAGO DE CALI, AGOSTO DE 2012. 1
  • 2.
    ASIGNATURA: INVESTIGACIONES DE MERCADOS. SEMESTRE IV. PRESENTADO POR: JUAN SEBASTIAN ESCOBAR POLANIA WILDEMAR URREA SIROSH KHALID BUT UNIVERSIDAD SAN BUENAVENTURA – CALI. ADMINISTRACIÓN DE NEGOCIOS – NOCTURNO. SANTIAGO DE CALI, AGOSTO DE 2012. 2
  • 3.
    AGRADECIMIENTOS. El presente trabajode investigación fue realizado bajo la supervisión del profesor Haiber Gustavo Agudalo, a quien nos gustaría expresar nuestro más profundo agradecimiento, por hacer posible la realización de este estudio. Además, de agradecer su paciencia, tiempo y dedicación para con cada retroalimentación de nuestro trabajo. Gracias por su apoyo y por ser parte de la columna vertebral de esta investigación. A nuestros maestros, quienes compartieron con nosotros sus conocimientos para contribuir a nuestra construcción integra y profesional, gracias por su tiempo, dedicación y por su pasión por la actividad docente. 3
  • 4.
    TABLA DE CONETENIDO. PORTADA. 1 CONTRAPORTADA. 2 AGRADECIMIENTOS. 3 INTRODUCCION. 5 INVESTIGACION CUALITATIVA. 5 Planteamiento del problema. 6 Objetivos específicos. 7 Objetivos generales. 7 Preguntas para los clientes. 7 Análisis situacional. 8 Análisis de la demanda. 9 Características del mercado. 9 Competencia. 9 Características del consumidor. 12 Futuro del entorno competitivo. 13 Preguntas para los clientes 14 Análisis grupos focales. 15 INVESTIGACION CUANTITATIVA. 17 Hipótesis. 19 Metodología de la investigación. 19 Muestreo. 20 Encuesta. 21 4
  • 5.
    INTRODUCCION. Con el propósitode elaborar un plan de negocio para la puesta en marcha del Restaurante De almuerzos Gourmet Controlados en la ciudad Cali, se planea el desarrollo de investigación para abordar el mercado: un estudio a través de encuestas y una entrevista grupal. A partir de los cuales se busca detectar la demanda del mercado, definir el grupo objetivo del negocio, determinar las percepciones y motivaciones de los consumidores frente a los alimentos saludables y a su vez, obtener información valiosa para la etapa de diseño y estructuración de los servicios y productos a ofrecer en el Restaurante. 5
  • 6.
    PLANTEAMIENTO DEL PROBLEMA. SINTOMAS:¿qué esta pasando? Durante los últimos años Colombia se ha convertido en un gran punto de convergencia gastronómica en donde se plantean todo tipo de tendencias y combinaciones, pero lastimosamente dicha oferta no le ha prestado la debida importancia a temas relacionados con la salud, generando hábitos alimenticios pocos saludables y propiciando directamente problemas en la salud de los consumidores tales como el exceso de azúcar, el sobrepeso, entre otras. La aparición de dichas irregularidades en la salud de los consumidores generarían un cambio en los hábitos alimenticios de los mismos y abrirían una puerta a un nuevo nicho de mercado en donde se tendrá como prioridad el consumo saludable de alimentos; esto obligará a que cada uno de los restaurantes tenga una oferta mucho mas nutritiva. Gracias al constante flujo de información, las nuevas tendencias de consumo y la diversidad étnica presentada en la región; la sociedad caleña ha constituido poco a poca una demanda mas selectiva que en años anteriores, dentro de la cual existe una preferencia por los alimentos nutritivos y platos balanceados. CAUSA: ¿por qué esta pasando? La cultura colombiana y en especial la caleña ha sido definida por una serie de arraigos culturales que de cierta manera influyen o modifican decisiones de consumo, tal es el caso que la gran mayoría de los colombianos preferimos “estar llenos, que estar satisfechos” impulsando así un mayor nivel de ventas en restaurantes donde se ofrezca mayor volumen y menor precio, desplazando así el consumo de almuerzos gourmet controlados que a la vista no son regido por su volumen sino por el equilibrio en cada uno de sus componentes a un precio justo. Dicha tendencia de consumo basada en arraigos culturales determinara la necesidad de definir mensajes publicitarios y campañas de concientización que le permitan al ciudadano ser mas consiente de la importancia de alimentarse bien y manejar un equilibrio con respectos a los componentes de cada plato dejando en un segundo plato el volumen de los almuerzos. 6
  • 7.
    PRONOSTICO: ¿QUÉ SUSEDERASI TODO SIGUE IGUAL? En la actualidad existe una gran distancia entre los restaurantes gourmet y los productos saludables, puesto que existen empresas que se dedican a la distribución de estos alimentos, pero no satisfacen la necesidad que tienen las personas de vivir una experiencia dentro de un restaurante en donde puedan tener acceso a este tipo de productos; y de igual manera existen restaurantes que tienen algunos platos balanceados pero implicarían un precio elevado. Será necesario el planteamiento y creación de nuevos restaurantes en donde puedan converger los almuerzos balanceados, precios razonables y la experiencia única que puede representar un buen restaurante para el circulo social de las personas que en la actualidad demanda alimentos saludables. Formulación Del Problema: ¿ Cuáles son los factores que afectan el consumo de los almuerzos gourmet desde la perspectiva saludable? OBJETIVOS. Objetivo General: Conocer los factores que afectan el consumo de los almuerzos gourmet desde la perspectiva saludable? Objetivos Especificos: Definir la demanda potencial del servicio para diabéticos y las personas en dietas especiales. Cuantificar un porcentaje de la personas con diabetes que están interesados en un almuerzo gourmet controlado para su estilo de vida Cuantificar un porcentaje de la personas que aun sin tener problemas de diabetes están interesados en un almuerzo gourmet controlado para su estilo de vida. Determinar un precio razonable que las personas estén dispuestas a pagar por un almuerzo gourmet controlado. 7
  • 8.
    Investigar los actualeshábitos alimenticios de los caleños con una preferencia por lo saludable. Identificar los aspectos sociales que afectan el consumo de los almuerzos gourmet desde una perspectiva saludable en la ciudad de Cali Conocer los factores sicológicos que afectan el consumo de los almuerzos gourmet desde una perspectiva saludable en la ciudad de Cali ANÁLISIS SITUACIONAL. Análisis de la demanda: Características y comportamiento del comprador: Desarrolle un análisis de segmentación con base en el perfil geográfico, demográfico y psicográfico. ¿Qué compra? Además de estar comprando alimentación se compra un alimento saludable, de calidad, delicioso sabor, nutrición, control sobre problemas de salud, servicio, comodidad, calidad de vida. ¿Quién compra? Personas con problemas de diabetes y personas que estén interesadas en el cuidado de su salud alimenticia. Orientado a estratos 4,5 y 6 ¿Dónde compra? Restaurantes, centros comerciales, chefs personales. ¿Por qué compra? Gusto, salud. ¿Cómo compra? Se dirige al lugar de venta y come en este o pide para llevar o a domicilio. ¿Cuándo compra? 8
  • 9.
    Mínimo 1 vesal día a la hora del almuerzo, algunas veces a la hora de la cena también. ¿Qué cantidad compra? Una porción ¿Cómo cambiarán las características y el comportamiento del comprador en el futuro? Mayor exigencia con la variedad de productos ¿Están satisfechos los clientes? ¿A qué nivel? No estas satisfechos ya que n hay oferta suficiente de este producto. ¿Se retienen a los clientes? ¿A qué nivel? Si un cliente encuentra un lugar donde adquirir este producto y si es de buena calidad , es casi seguro que este sea retenido ya que la oferta es muy escasa. CARACTERÍSTICAS DEL MERCADO. Potencial del tamaño del mercado existen alrededor de 126000 diabéticos en Cali Segmentos:estratos 4,5 y 6 entre las edades de 25 a 69 Demanda selectiva: Tendencias futuras del mercado la producción de una mas amplia variedad de alimentos saludables que puedan ser utilizados para nuevas recetas. El crecimiento de la demanda en busca de alimentos saludables. 9
  • 10.
    COMPETENCIA. ¿quiénes son loscompetidores? En la actualidad la ciudad de Cali dentro de alta gama de oferta culinarias no cuenta con un restaurante dedicado no solo a satisfacer la demanda de los diabéticos, sino a satisfacer la demanda de todas aquellas personas que están preocupadas por su salud y no desean ingerir ningún tipo de alimento que contenga los exagerados niveles de azúcar que están presentes en el resto de los restaurantes, también cabe resaltar que estas personas o mercado objetivo no acudirían al restaurante solamente para ingerir alimentos sin azúcar sino por tener un espacio de esparcimiento publico donde se encuentren este tipo de alternativas. Dentro de nuestro mercado cuando nos referimos a nuestros competidores es claro que no debemos de fijarnos en el mismo tipo de negocio es decir en un restaurante que venda productos sin azúcar además de otros alimentos saludables, puesto que en la actualidad no existen este de restaurantes en Cali, sino que debemos de fijarnos en todas aquellos negocios que venden y distribuyen productos sin azúcar; es así que hemos encontrado algunos de nuestro posibles consumidores tales como: ALNUT LTDA: es una empresa que se dedica a la distribución de productos sin azúcar con asesoramiento medico especializado. Al igual que esta también encontramos empresas como DIABET SALUD y PRODUCTOS LIGHT SOY ARROZ, los cuales también se decían a la comercialización de productos exclusivamente para diabéticos. Dentro de nuestro análisis encontramos como principal competidor a: Postres y ponques don jacobo, debido a que es unos de los principales incursores en el mercado de los productos sin azúcar, intentando combinar una tendencia global hacia el consumo de productos saludables y la propuesta de una marca local que ha sido aceptado de gran forma por los consumidores caleños. Historia de postres y ponques don jacobo: Don Jacobo Postres y Ponqués
 ¡Una marca dinámica! La marca Don Jacobo, que hoy estamos presentando tanto en el mercado Colombiano como en el Internacional, es el resultado de casi 25 años de una marca soñada por su fundador, quien por los años ochentas, pensó en la 10
  • 11.
    creación de “POSTRES”,palabra genérica que definía todo lo que él quería vender como complemento al portafolio del negocio de sus padres, dedicado exclusivamente a vender el tradicional Ponqué. En 1986 la marca se convierte en POSTRES Y PONQUÉS, y es así como nace la cadena de repostería más grande de Colombia, con una marca genérica que describe en dos palabras el objetivo comercial, la producción y venta de repostería dulce. Su portafolio de productos se ha convertido en un amplio universo de postres, tortas, porqués y muchas creaciones de recetas propias, como la ya famosa GENOVESA, que han endulzado por décadas la vida de sus clientes. En los años noventa, la compañía adquiere como nombre corporativo “Industrias de Alimentos Don Jacobo”, haciendo el registro de la marca Don Jacobo en la categoría 30 internacional y con cobertura en toda Latinoamérica. Bajo este nombre fue siendo reconocida por sus proveedores y el sector financiero, igualmente por los empleados de la compañía, quienes se autodenominaron “Gente Don Jacobo”. Comercialmente se siguieron viendo hasta finales del siglo XX los reconocidos avisos de sus fachadas, en fondo color blanco, acompañados de las palabras Postres & Ponqués, que en letra clásica con rebordes dorados connotaban la calidad que siempre se ha querido ofrecer a la clientela; esta marca estaba acompañada de un logo sencillo, dibujado en trazos de dos líneas, que daban forma a un porqué con su moño decorativo, evocando el símbolo de celebración de esos momentos especiales que alegran nuestras vidas. Llegado el nuevo siglo se vio la necesidad de integrar de manera armónica la ya reconocida marca POSTRES Y PONQUÉS con el nombre corporativo Industria de Alimentos Don Jacobo, que junto con un cambio de imagen y diseño de sus puntos de venta, mostró el resultado obtenido durante las décadas anteriores en cuanto a posicionamiento en el mercado nacional y en el exterior. Es así como surge “POSTRES Y PONQUÉS DON JACOBO ™”, con su característico color verde y en donde las letras en blanco le dan el lustre que tienen sus tortas y el detalle impecable de su símbolo, un porqué ahora en volumen actualizando el símbolo anterior. Estos dos elementos, las palabras y el nuevo símbolo se acompañaron de la firma DON JACOBO (marca registrada), que en tono verde reflejaba el continuo crecimiento y vida de la empresa. Transcurrida la primera década del siglo XXI y cercanos a cumplir sus 25 años de marcados desarrollo en la creación e ingreso de nuevos productos, especialización en producción, apertura de puntos de venta y de gran 11
  • 12.
    posicionamiento en elmercado, sus directivos detectaron la fuerza de la marca DON JACOBO, por contener en sólo dos palabras la experiencia adquirida durante este tiempo y el potencial de un futuro lleno de oportunidades para una empresa dinámica, en constante evolución y desarrollo que centra su mirada en mejorar el servicio a sus clientes. Es así como vestida de color chocolate, el favorito de grandes y pequeños a la hora del postre o del pastel, se presenta a todos; DON JACOBO (marca registrada) acompañada de la descripción genérica Postres y Ponqués, una marca impecable que es más que eso, es la firma que respalda el conocimiento, el compromiso e ímpetu de quienes están detrás del negocio. Esta marca reúne la experiencia, trabajo y compromiso de la gente en sus centros de producción y puntos de venta, para hacer de esos momentos especiales auténticos momentos de felicidad, es la garantía de calidad de cada uno de sus productos y es el deseo vehemente de mantener con esfuerzo y dedicación, el liderazgo en el negocio de la repostería dulce en Colombia y fuera de ella. La marca DON JACOBO en su exquisito color chocolate no está sola, está sobre el verde que distingue a esta gran cadena de repostería a nivel nacional y con la que encontramos una gran paleta de colores que identifica la variedad y lo atractivo de todos los elementos que, puestos de manera artística, hacen de cada Torta, Postre o Ponqué un elemento único y especial, capaz de llenarnos de alegría en cada dulce momento de nuestras vidas. CARACTERÍSTICAS DEL CONSUMIDOR. Programas de marketing y comportamiento competitivo: En la actualidad la empresa POSTRES Y PONQUES DON JACOBO se encuentra en u proceso de marca donde se realizado una campaña intensa de marketing en donde se incluye la uniformidad en el diseños y colores en cada una de sus tiendas y productos, también están trabajando fuertemente en el posicionamiento de sus productos en estados unidos, gracia a la implementación de su propia pagina web y una red de distribución en estados unidos, de esta manera la empresa busca captar todo el mercado latino y en especial el colombiano que reside permanentemente en Norteamérica. POSTRES Y PONQUES DON JACOBO también a incursionado en el mercado centroamericano mas específicamente en Costa rica en donde ya cuenta con un local comercial y planea abrir tres mas. 12
  • 13.
    POSTRES Y PONQUESDON JACOBO también se encuentra trabajando fuertemente en la relación con los clientes y en el fortalecimiento de su vinculo comercial, de esta manera la empresa toma la decisión de hacer presencia en cada una de las redes sociales como Facebook y Twitter en donde se realizan las principales campañas publicitarias. Principales fortalezas y debilidades: Fortalezas: para nuestro principal competidor POSTRES Y PONQUES DON JACOBO hemos considerado las siguientes fortalezas: - Una marca establecida y reconocida a nivel local y nacional por el mercado objetivo colombiano. - Una muy buena red de distribución y cobertura a nivel nacional e internacional (estados unidos y costa rica.). - Una variada gama de productos con recetas tradicionales colombianas. Debilidades: de la misma manera hemos considerado las siguientes debilidades: - no cuenta con un lugar de esparcimiento publico. - Poca oferta de productos sin azúcar. - Sus productos no son innovadores. FUTURO ENTORNO COMPETITIVO. El futuro del mercado del mercado de la repostería y los alimentos en Colombia se encuentra direccionada por las principales tendencias tales como comer saludables, la protección del medio ambiente, entre muchas otras, de esta manera es importante que todas las empresas que quieran ganar un mayor porcentaje del mercado es importante adaptar estas tendencias a sus propuestas de valor acompañadas de una identidad corporativa establecida por cada una de ellas. 13
  • 14.
    PREGUNTAS PARA LOSCLIENTES. 1) Nos podría describir cuales son sus hábitos alimenticios? 2) Cual es la alimentación recomendada para su salud? 3) por que esta alimentación se puede ver afectada? 4) Con que frecuencia sale usted a comer a restaurantes? 5) Que tan satisfecho esta usted con la variedad que encuentra de alimentos saludables en los restaurantes 6) según el menú descrito cuanto estaría usted dispuesto a pagar por un almuerzo gourmet controlado? Menú Semana 1: Lunes: salmon y vegetales horneados con vino y zumo de naranja Martes: pollo relleno de espinaca y queso ricotta acompañado por papiollet de vegetales Miercoles: crema de lentejas, lomo de res al horno en reduccion de vino tinto y jengibre acompañado por champinones salteados Jueves: ceviche de corvina con mango, pimenton, tomate, cebolla morada, y acompañado por tostadas integrales. Viernes: Lomo de cerdo al horno marinado con maracuya acompañado por vegetales al vapor. Semana 2: Lunes: Filete de atun en salsa soya acompañado por pure de platano y brocoli al vapor. Martes: kibbe horneado acompañado por hummus, tabule y pan arabe Miercoles: pollo al pimenton acompañado por pure de alcachofas y calabacines horneados Jueves: pargo horneado con mango y albaca acompañado por ensalada con coco, aguacate y tomate Virenes: ensalada con pollo asado, , nueces, tometes secos, queso cabra, aguacate con pesto. 14
  • 15.
    PERSONAS ENTREVISTADAS: - Rossamaria Jaramillo, 61, hipotiroidismo, diabética e hipetenza - Claudia hernandez 47 - Viviana Andrea Fontal 23, hipoglicemia - Nevia Caicedo 61, diabética e hipertensa - Julio cesar Valverde 32, diabetico MODERADOR DEL GRUPO FOCAL SIROSH K. BUTT SITIOS DE REUNION RESATAURANTE ARTE Y COCINA. INTEGRAR SALUD LTDA. ANALISIS DE LOS GRUPOS FOCALES: Por medio del focus group realizado pudimos detectar algunas variables, las cuales le impiden a las personas que deben seguir una dieta estricta de tener una alimentación adecuada, estas variables son: 1. Los participantes hacen mucho énfasis en que es muy difícil encontrar un sitio que ofrezca una con la alimentación adecuada y balanceada con productos saludables en donde se pueda tener la certeza de que los ingredientes y la preparación sean los adecuados en una dieta balanceada, porque de lo contrario podría ser muy perjudicial para su salud. (6 personas de 6 posibles manifestaron esta variable) 2. El comer a deshoras es un problema realmente grave para estas personas, debido a que ellos deben tener el nivel de la insulina bien controlado y ellos manifestaron que por el agite de sus labores diarias se ve interrumpido este compromiso con su salud. (4 personas de 6 posibles manifestaron esta variable)S 15
  • 16.
    3. Los participantescoincidieron en que el precio justo por un menú como el antes mencionado seria entre $10.000 y $15.000 debido a los ingredientes y a lo que están acostumbrados a pagar por una comida algo sana como se encuentra en algunos lugares. (6 personas de 6 posibles oscilaron entre este rango) Otros puntos analizados: 1. Pudimos observar que los participantes van al menos 2 veces a la semana a comer a restaurantes y que podrían ir muchas mas si existiera una mejor oferta de comidas saludables. 2. Las personas que siguen una dieta saludable normalmente no disfrutan mucho de la comida que pueden adquirir y se ven interesados cuando se les menciona un menú gourmet ya que por falta de conocimiento en gastronomía no tienen acceso a esta combinación de ingredientes y a preparaciones que aunque son saludables pueden llegar a tener un exquisito sabor. Este punto con solo ver la expresión en la cara de las personas podemos ver que les llama la atención y muy seguramente al tener la oferta de algo así serian clientes seguros. 3. Algo que pudimos observar es que estas personas al ver el menú propuesto entienden que esto es una comida sana, rica pero la asocian como algo de un valor económico alto lo que tal ves no convenga para muchos para un almuerzo diario, si no mas bien para una cena ocasional. 4. Las personas no dan a entender que si están interesados en una comida sana, siempre y cuando esta tenga un valor similar a los que ellos gastan diariamente, algo de un valor mas alto puede convertirse en algo ocasional y no frecuente. 16
  • 17.
    INVESTIGACION CUANTITATIVA. PLANTEAMIENTO DELPROBLEMA. SINTOMAS: ¿qué esta pasando? Durante los últimos años Colombia se ha convertido en un gran punto de convergencia gastronómica en donde se plantean todo tipo de tendencias y combinaciones, pero lastimosamente dicha oferta no le ha prestado la debida importancia a temas relacionados con la salud, generando hábitos alimenticios pocos saludables y propiciando directamente problemas en la salud de los consumidores tales como el exceso de azúcar, el sobrepeso, entre otras. La aparición de dichas irregularidades en la salud de los consumidores generarían un cambio en los hábitos alimenticios de los mismos y abrirían una puerta a un nuevo nicho de mercado en donde se tendrá como prioridad el consumo saludable de alimentos; esto obligará a que cada uno de los restaurantes tenga una oferta mucho mas nutritiva. Gracias al constante flujo de información, las nuevas tendencias de consumo y la diversidad étnica presentada en la región; la sociedad caleña ha constituido poco a poca una demanda mas selectiva que en años anteriores, dentro de la cual existe una preferencia por los alimentos nutritivos y platos balanceados. CAUSA: ¿por qué esta pasando? La cultura colombiana y en especial la caleña ha sido definida por una serie de arraigos culturales que de cierta manera influyen o modifican decisiones de consumo, tal es el caso que la gran mayoría de los colombianos preferimos “estar llenos, que estar satisfechos” impulsando así un mayor nivel de ventas en restaurantes donde se ofrezca mayor volumen y menor precio, desplazando así el consumo de almuerzos gourmet controlados que a la vista no son regido por su volumen sino por el equilibrio en cada uno de sus componentes a un precio justo. Dicha tendencia de consumo basada en arraigos culturales determinara la necesidad de definir mensajes publicitarios y campañas de concientización que le permitan al ciudadano ser mas consiente de la importancia de alimentarse bien y manejar un equilibrio con respectos a los componentes de cada plato dejando en un segundo plato el volumen de los almuerzos. 17
  • 18.
    PRONOSTICO: ¿QUÉ SUSEDERASI TODO SIGUE IGUAL? En la actualidad existe una gran distancia entre los restaurantes gourmet y los productos saludables, puesto que existen empresas que se dedican a la distribución de estos alimentos, pero no satisfacen la necesidad que tienen las personas de vivir una experiencia dentro de un restaurante en donde puedan tener acceso a este tipo de productos; y de igual manera existen restaurantes que tienen algunos platos balanceados pero implicarían un precio elevado. Será necesario el planteamiento y creación de nuevos restaurantes en donde puedan converger los almuerzos balanceados, precios razonables y la experiencia única que puede representar un buen restaurante para el circulo social de las personas que en la actualidad demanda alimentos saludables. Formulación Del Problema: ¿ Cuáles son los factores que afectan el consumo de los almuerzos gourmet desde la perspectiva saludable? OBJETIVOS. Objetivo General: Conocer los factores que afectan el consumo de los almuerzos gourmet desde la perspectiva saludable? Objetivos Especificos: Definir la demanda potencial del servicio para diabéticos y las personas en dietas especiales. Cuantificar un porcentaje de la personas con diabetes que están interesados en un almuerzo gourmet controlado para su estilo de vida Cuantificar un porcentaje de la personas que aun sin tener problemas de diabetes están interesados en un almuerzo gourmet controlado para su estilo de vida. Determinar un precio razonable que las personas estén dispuestas a pagar por un almuerzo gourmet controlado. Investigar los actuales hábitos alimenticios de los caleños con una preferencia por lo saludable. 18
  • 19.
    Identificar los aspectossociales que afectan el consumo de los almuerzos gourmet desde una perspectiva saludable en la ciudad de Cali Conocer los factores sicológicos que afectan el consumo de los almuerzos gourmet desde una perspectiva saludable en la ciudad de Cali HIPOTESIS: Aunque gran parte de los hábitos alimenticios de los consumidores caleños están o han sido influenciados por sus condiciones de salud, se sienten motivados a seguir acudiendo masivamente a restaurantes gourmet, debido a que la necesidad de relacionarse en distintos sitios de esparcimiento publico como restaurantes y bares. METODOLOGÍA DE INVESTIGACIÓN: Durante el transcurso de la investigación de campo hemos podido determinar que no solamente la diabetes es un determinante para alterar o cambiar los hábitos alimenticios, enfocándolos en el consumo de comidas balanceadas y saludables, es así que hemos decidido incorporar al estudio las personas que padecen hipertensión alta, cabe resaltar que aunque el estudio se ha realizado con base a personas que presenten dichas enfermedades, también existe un mercado bastante atractivo y que enriquecería nuestra cifras como lo son las personas que por gusto han decidido sostener unaalimentación balanceada. Se realizo una investigación exploratoria donde se definiócaracterísticas del marcado, potencial del mercado, el perfil de los consumidores y los hábitos de consumo en donde se logro identificar situaciones problemáticas que de alguna manera u otra afectaran su consumo. 19
  • 20.
    MUESTREO: Para la determinaciónde nuestra población se tomo en cuenta los datos de personas que presentan diabetes y hipertensión alta puesto que son las mas susceptibles al cambio de hábitos alimenticios, dichos datos están definidos dentro del boletín informativo generado por la alcaldía de Cali correspondiente a la salud de los ciudadanos. A6 SIGMA 1 90% 1,64 muestra final, Cali 2011 2 95% 1,96 Probabilidad de éxito (p) p 0,5 3 99% 2,57 Probabilidad de fracaso (q) q 0,5 Población= (N) N 148530 Nivel de confianza= sigma Z 1 Margen de Error= e e 0,0795 sigma2 * N * p * q 106 ----------------------------- = encuestas e2 * (N-1) + sigma2 * p * q de acuerdo a nuestros objetivos hemos decido empeñar un muestreo aleatorio estratificado, el cual nos permitirá discriminar características importante en la decisión de compra de nuestro mercado objetivo, se tomarían personas diabéticas e hipertensas que pertenezcan a extractos sociales 3, 4, 5 y 6. 20
  • 21.
    PRIMER MODELO DEENCUESTA: prueba piloto. 21
  • 22.
  • 23.
  • 24.
    CORRECCIONES PRUEBA PILOTO. ALMUERZO GOURMET CONTROLADO SALUDABLEMENTE Por favor, rellene esta pequeña encuesta. La información que nos proporcione será utilizada para conocer el grado de aceptación en el mercado de [almuerzo gourmet controlado]. La encuesta no le llevará más de [5] minutos. Muchas gracias por su colaboración. Nombre del encuestador: Encuesta número: 1- ¿es usted diabético, presenta alguna enfermedad o tiene alguna preferencia que determine su consumo por la comida saludable? Si: No: DATOS PERSONALES: 2- Edad: 3- Estrato: 4- Genero: femenino masculino 24
  • 25.
    5- ¿Cual essu ocupación actualmente? Estudiante Ama de casa Empleado o Empleado independiente 6- ¿cuál es su estado civil? Soltero Casado o en unión libre Separado o divorciado viudo 7- ¿cuándo usted sale a comer a restaurantes que espera encontrar? Excelente sabor Comida balanceada Menú variado Excelente servicio Buen precio 8- Cuando sale a almorzar busca usted sitios que tengan opciones de alimentos saludables Si: No: 9- Se le dificulta a usted conseguir alimentos saludables Si: No: 25
  • 26.
    10- Que tansatisfecho esta usted con los alimentos que puede conseguir? Muy satisfecho Poco satisfecho No estoy satisfecho 11- Se preocupa por el cuidado de su salud y su alimentación Si: No: DISTRIBUCIÓN E INFORMACIÓN SOBRE EL PRODUCTO 12- ¿qué opinión tiene usted sobre los restaurantes que ofrecen almuerzos gourmet balanceados? Muy interesante Interesante Neutro Poco interesante Nada interesante 13- ¿cuales serian las razones por las cuales no consumiría un almuerzo gourmet controlado? No lo necesito. Precio excesivo Disponibilidad de tiempo Estoy feliz con mi salud No me gusta el sabor de los alimentos saludables 26
  • 27.
    14- ¿Con quefrecuencia sale usted a almorzar a establecimientos o pide domicilios? 1 vez por semana 2 veces por semana 3 veces por semana 4 veces por semana 5 veces por semana 6 veces por semana nunca 15- ¿cual es su percepción de la comida saludable? Costosa De muy buen sabor Muy saludable De muy mal sabor 16- ¿cuales son los principales factores que motivan su elección por la comida saludable? Recomendación medica Beneficio para la salud Por gusto 27
  • 28.
    17- ¿A lahora de almorzar prefiere un almuerzo saludable en lugar de un almuerzo ejecutivo? si no En ocaciones 18- Influye el precio en su decisión al consumir un almuerzo saludable sobre un almuerzo ejecutivo si no En ocaciones 19- ¿en que sector de la ciudad le gustaría poder adquirir este producto? Peñón Ciudad jardín Granada centro 20- ¿a través de que medio o medios le gustaría recibir información sobre este producto? Anuncios en prensa o revistas Correo ordinario Televisión Folletos Radio Internet 28
  • 29.
    21- Que precioestaría usted dispuesto a pagar por este producto? De 5.000$ a 7.000$ De 7.000$ a 10.000$ De 10.000$ a 13.000$ De 13.000$ a 16.000$ Mas de 16.000$ 22- suponiendo que el precio sea satisfactorio para usted, ¿lo compraría? si no Tal vez 29
  • 30.
    ANALISIS DE LOSRESULTADO: al realizarse el histograma correspondiente al factor edad dentro de nuestras encuestas, encontramos una media de 35 años, donde se destaca un porcentaje significativo de personas en edades entre 50 y 60 años; esto se debe al sitio en donde se realizaron las encuestas, debido a que fueron realizadas en sitios como universidades donde concentra una gran nuemero de estudiantes de edades en entre 25 y 31 años, tambien se realizaron en empresas, consultorios medicos y algunas unidades residenciales, donde su poblacion eran personas mucho mas mayores que en las universidades, pero que hacian parte de nuestro mercado objetivo. 30
  • 31.
    Estrato: en cuanto aestrato encontramos un media correspondiente al estrato 4, coherente con los lugares en donde se realizaron la encuesta. el estrato 3 obtuvo un 36%, el estrato 4 un 22,6% y por ultimo el estrato 5 con un 29,2% . lo anterior se debe a que nuestro mercado objetivo se ha definido como un mercado con una buena capacidad de compra, en donde se identificaron intenciones de compra para nuestro producto debido a factores culturales, economicos y de salud. 31
  • 32.
    Ocupacion: a nivel deocupacion encontramos un 74,5% de personas empleados por una empresa e independientes, ya que aunque la mayor de encuestas realizadas fueron en universidaes en horario nocturno y empresas horario laboral, muchos de los estudiantes se necontraban en una media de 30 años, los cuales tenian empleos estables, lo cual es muy influyente en la decisión de compra de nuestro producto, ya que los empleados y estudiantes son las personan que mayor frecuencia tienen en el consumo de alimentos fuera de sus hogares. un 66% afirmo que lo que mas buscan cuando comen por fuera del hogar es el sabor, seguido del 11.3% y el 10,4% de comida balanceada y buen precio respectivamente, lo que permitio comprobar un mito gastronomico en donde se estima que las personas de estratos medios como el 3 y el 4 creen que los alimentos gourmet balanceados no tienen un muy buen sabor y que son muy costos como para adquirirlos regularmente. 32
  • 33.
    el 78,3% delos encuestados respondio que se le dificultaba encontrar alimentos saludables, lo que corrobora que en la gran parte de parejas y familias caleñas en estratos como el 3 presentan un mayor limite de acsecibilidad a productos saludables, sea por la poca oferta de restaurantes o lugares donde se distribuya estos productos o el alto precio que en la actualidad tienen estos productos. el 34% esta poco satisfecho con los alimentos saludables, y el 48,1% de los encuestados no esta satisfecho, lo que nos muestra un claro porcentaje de los trabajadores y estudiantes encuestados presentan una inconformidad frente a la oferta de productos saludables; esto se debe a que muchos de los restaurantes cerca de las empresas no tienen ningun conocimiento sobre 33
  • 34.
    comida gourmet balanceaday que algunas de las empresas ya tienen acuerdos de compra con restaurantes. Al cruzar esta pregunta con las razones por las cuales no consumirian un almuerzo gourmet contralado, nos indica que muchos de los empleados y estudiantes no desean consumir estos productos debido a su precio exesivo reprecentado por un porcentaje de 37,7% y a una disponibilidad de tiempo que tienen por parte de las empresas con un porcentaje del 34%. Cabe resaltar que la cultura caleña a marginado a los añimentos gourmet en un concepto de que lo balanceado o lo saludable implique un sabor no tan agradable al paladar caleño con un porcentaje del 17% y en algunos casos al añadir la palabra gourmet encontramos efectivamente que se relacion con un precio alto. 34
  • 35.
    el 48,1% contestaronque a la hora de almorzar prefieren un almuerzo saludable por encima de un almuerzo ejecutivo, e 55% de los encuestados respondieron que el precion no influiria entanto en la decisión de compra entre un almuerzo ejecutivo y uno saludables y el 71% de los encuestados respondieron que consumiriancomida saludable por que tendrian un beneficio para su salud. Si cruzamos las anterios tablas, encontraremos que al ser 35 años la edad media de los encuestados, entran en una etapa de la vida donde su salud y habitos alimenticios toman una mayor importancia, estableciendo nuevas preferencias de consumo; pero a pesar de la evidente motivacion por la comida saludable, las personas sujetan su consumos a foctores como la ubicación y el que decir popular donde mal sabor de productos saludables es un tema constante. 35
  • 36.
    el 62,3% delos encuestados respondieron que el internet seria el medio por el cual preferirian recibir informacion sobre nuestra producto, esto se debe a que tanto empleados como estudiantes pasan el mayor tiempo del dia en internet lo que facilitaria la comunicación entre el restaurante y nuestros clientes, logrando una reduccion importante en el presupuesto destinado a comunicación y mercadeo del restaurante. El 12,3% consideraron que preferirian recibir indformacion en folletos, ya que muchas de las personas mayores aun son mas sensibles a la publicidad ficica como volantes pancartas y tarjetas que los estudiantes y profesionales jovenes. 36
  • 37.