MORBI-MORTALIDAD
    MATERNA
   Cada minuto se muere una mujer por
    complicaciones del embarazo o del parto.




   Eso es 515,000 mujeres como mínimo/año
       99% muertes ocurren en países subdesarrollados
           Mortalidad materna es la estadística salud con la mayor
            disparidad entre el subdesarrollo y los países desarrollados
   Por cada que muere, 30-50 sufren lesiones, infxns o
    enfermedades
        Las complicaciones relacionadas con el embarazo esta entre
        las ppales causas de muerte e incapacidad entre 15 – 49 años
        en países subdesarrollados
DEFINICIÓN


   Muerte de una mujer mientras estaba embarazada o
    dentro de los 42 días siguientes al término del mismo,
    debido a cualquier causa relacionada con o agravada por
    el embarazo mismo o su atención, pero no por causas
    accidentales o incidentales



        Punto corte arbitrario 42 días deja por fuera muertes directas e
        indirectas que ocurren después
DEFINICIONES MUERTE MATERNA
   clasificación durante el embarazo o en los primeros 42 días de
             Muertes
                   finalizado. De cualquier causa relacionada con o agravada
MUERTE MATERNA
                   por el embarazo o su manejo, pero no por causas
                   accidentales o incidentales.
                   Muertes resultante de complicaciones obstétricas del
                   estado gravídico (embarazo, parto, puerperio) de
DIRECTAS
                   intervenciones, omisiones, tto incorrecto, o de una cadena
                   de eventos resultante de cualquiera de las anteriores
                   Muertes resultantes de una enf existente previa, o enf que se
                   desarrollo durante el embarazo y la cual no se debe a
INDIRECTAS
                   causas obstétricas directas, pero la cual fue agravada por
                   los efectos fisiológicos del embarazo
                   Muertes que ocurrieron entre los 42 días y 1 año luego de
TARDIA             aborto, mortinato o parto que se deban a causas Directas o
                   Indirectas
COINCIDENTALES     Muertes de causas no relacionadas que ocurrieron durante
(Fortuitas)***     el embarazo o el puerperio
Muertes            Muertes que ocurrieron en mujeres mientras estaban
relacionadas con   embarazadas o en los 42 días de terminado el embarazo,
el Embarazo        independiente de la cauda de muerte
1980   1990   2000   2008
2008   2005   2000 1995   1990
MORTALIDAD MATERNA EN ANTIOQUIA
                         NUMERO     MORTALIDAD



                                               50.8

  43.7
                                                        41.7
           39.6
                             35.4
                    32.8              32.8
                                                                    30



16                                           17
         14                                           14
                  11       12       11                         10




2000     2001     2002     2003     2004     2005     2006     2007
M
O
R
T
A
L
I
D
A
D

    M
    O
    R
    B
    I
    L
    I
    D
    A
    D
TOP TEN “KEY POINTS”

1.    Consejería preconcepcional
2.    Acceso a servicios de salud
3.    Acceso antes 12 semanas CPN
4.    Mujeres Emigrantes
6.    Manejo Hipertensión sistólica (>160 mm Hg) Operación
      Cesárea
     a)        Placenta previa
          I.     Placenta ácreta
TOP TEN “KEY POINTS”
7.     Habilidades clínicas
8.     Auditoría habilidades clínicas
      a)   RCP
9.     Sistema de puntuación para Aviso Temprano de
       Gravedad
10.    Guías de manejo para
      a)   Materna obesa
      b)   Sepsis en el embarazo
      c)   Dolor y sangrado en embarazo temprano
MORTALIDAD MATERNA Y ANESTESIA
    A. General ⇝ manejo vía aérea; >or grado
     dificultad en la pte obstétrica.
           Problemas con la VA son la causa mas común de
            muertes relacionadas con la anestesia
           A.G g/. elegida en emergencias cuando la preparación
            y evaluación de la pte no es optima.
            Anestesia regional fallida
           Anestesia General CI x condiciones medica
            (hemorragia, HELLP, etc)
   Inadecuado entrenamiento en anestesia general en
    condiciones obstétricas.
 6 Muertes maternas Directas
   31 Muertes Indirectas
 Anestesiólogos entrenados
 Recursos de fácil acceso para manejo
óptimo de situaciones de emergencia
 Paciente Obesa mórbida
MUERTE POR
        ANESTESIA
   Muertes directas
-   Falla respiratoria post-operatoria
    -   Dosis alta opiode al finalizar Qx
-   Error en la administración tto
    -   Intoxicación por anestésicos locales
-   Alteraciones anatómicas

   Muertes indirectas
-   Falla en reconocimiento temprano de enfermedad severa
    -   Crisis Asmática Severa POP (A. Neuroaxial en Obesa) que no
        respondió a B2
-   Pobre manejo de patologías
-   Manejo de materna Obesa
-   Reporte de incidentes – incluyendo muertes
MUERTE POR
        ANESTESIA
   Manejo de la hemorragia
-   Identificación temprana de ptes en riesgo
    -   Uso inadecuado de LEV fríos
    -   No apreciación signos de “shutdown” periférico
-   Acceso fácil a banco de sangre
-   Acceso fácil a UCI


   Oxitocina
-   Uso de 5 unidades venosas, luego infusión
-   Precaución en pacientes hipovolémicas
   Sepsis
-   Reconocimiento y manejo tempranos
-   Monitoría invasiva
-   Manejo en UCI

   Materna Obesa
-   Guías de manejo basadas en evidencia
-   Ev. preanestésica
-   Posición de la paciente
-   Presión arterial invasiva
-   Tromboprofilaxis
99 % de las muertes ocurren en paises en via
de desarrollo

41% muertes y 46% near miss son prevenibles

Factor asociado es el manejo inapropiado o
incompleto no el sistema de salud o la
paciente
   Busque activamente la EMBOLIA PULMONAR
   Busque activamente el EDEMA
    PULMONAR
   Convertir estas cifras en una respuesta automática
    para manejo activo y rápido de la presión arterial
   Muévase a un tratamiento quirúrgico definitivo de la
    hemorragia después de una terapia medica óptima
   Alta complejidad y poco frecuente requieren que
    sean tratadas por expertos
   No mas ordenes telefónicas de refuerzos de
    metergina o prostaglandinas
 El diagnóstico definitivo no se sale de:
  Atonia uterina, placenta retenida, placenta
acreta, laceraciones tracto genital y coagulopatia.
   1. La paciente joven y sana generalmente aguanta
    la oliguria
   2. la causa mas común es pre-renal e implica
    hipovolemia
   Garantice equipo quirúrgico y banco de sangre en
    esta población
   Menos cristaloides, infusión agresiva y temprana de
    componentes: 1:1:1
   Busque activamente la EMBOLIA PULMONAR
   Busque activamente el EDEMA
    PULMONAR
   Convertir estas cifras en una respuesta automática
    para manejo activo y rápido de la presión arterial
mue




   Muévase a un tratamiento quirúrgico definitivo de la
    hemorragia después de una terapia medica óptima
   Alta complejidad y poco frecuente requieren que
    sean tratadas por expertos
   No mas ordenes telefónicas de refuerzos de
    metergina o prostaglandinas
 El diagnóstico definitivo no se sale de:
  Atonia uterina, placenta retenida, placenta
acreta, laceraciones tracto genital y coagulopatia.
   1. La paciente joven y sana generalmente aguanta
    la oliguria
   2. la causa mas común es pre-renal e implica
    hipovolemia
   Garantice equipo quirúrgico y banco de sangre en
    esta población

Mortalidad materna

  • 1.
  • 2.
    Cada minuto se muere una mujer por complicaciones del embarazo o del parto.  Eso es 515,000 mujeres como mínimo/año  99% muertes ocurren en países subdesarrollados  Mortalidad materna es la estadística salud con la mayor disparidad entre el subdesarrollo y los países desarrollados
  • 3.
    Por cada que muere, 30-50 sufren lesiones, infxns o enfermedades  Las complicaciones relacionadas con el embarazo esta entre las ppales causas de muerte e incapacidad entre 15 – 49 años en países subdesarrollados
  • 4.
    DEFINICIÓN  Muerte de una mujer mientras estaba embarazada o dentro de los 42 días siguientes al término del mismo, debido a cualquier causa relacionada con o agravada por el embarazo mismo o su atención, pero no por causas accidentales o incidentales  Punto corte arbitrario 42 días deja por fuera muertes directas e indirectas que ocurren después
  • 5.
    DEFINICIONES MUERTE MATERNA clasificación durante el embarazo o en los primeros 42 días de Muertes finalizado. De cualquier causa relacionada con o agravada MUERTE MATERNA por el embarazo o su manejo, pero no por causas accidentales o incidentales. Muertes resultante de complicaciones obstétricas del estado gravídico (embarazo, parto, puerperio) de DIRECTAS intervenciones, omisiones, tto incorrecto, o de una cadena de eventos resultante de cualquiera de las anteriores Muertes resultantes de una enf existente previa, o enf que se desarrollo durante el embarazo y la cual no se debe a INDIRECTAS causas obstétricas directas, pero la cual fue agravada por los efectos fisiológicos del embarazo Muertes que ocurrieron entre los 42 días y 1 año luego de TARDIA aborto, mortinato o parto que se deban a causas Directas o Indirectas COINCIDENTALES Muertes de causas no relacionadas que ocurrieron durante (Fortuitas)*** el embarazo o el puerperio Muertes Muertes que ocurrieron en mujeres mientras estaban relacionadas con embarazadas o en los 42 días de terminado el embarazo, el Embarazo independiente de la cauda de muerte
  • 10.
    1980 1990 2000 2008
  • 20.
    2008 2005 2000 1995 1990
  • 29.
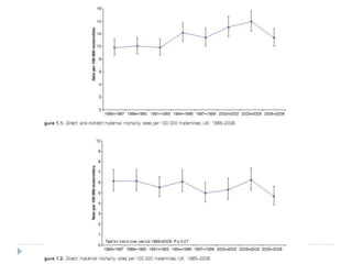
    MORTALIDAD MATERNA ENANTIOQUIA NUMERO MORTALIDAD 50.8 43.7 41.7 39.6 35.4 32.8 32.8 30 16 17 14 14 11 12 11 10 2000 2001 2002 2003 2004 2005 2006 2007
  • 30.
    M O R T A L I D A D M O R B I L I D A D
  • 41.
    TOP TEN “KEYPOINTS” 1. Consejería preconcepcional 2. Acceso a servicios de salud 3. Acceso antes 12 semanas CPN 4. Mujeres Emigrantes 6. Manejo Hipertensión sistólica (>160 mm Hg) Operación Cesárea a) Placenta previa I. Placenta ácreta
  • 42.
    TOP TEN “KEYPOINTS” 7. Habilidades clínicas 8. Auditoría habilidades clínicas a) RCP 9. Sistema de puntuación para Aviso Temprano de Gravedad 10. Guías de manejo para a) Materna obesa b) Sepsis en el embarazo c) Dolor y sangrado en embarazo temprano
  • 43.
  • 44.
    A. General ⇝ manejo vía aérea; >or grado dificultad en la pte obstétrica.  Problemas con la VA son la causa mas común de muertes relacionadas con la anestesia  A.G g/. elegida en emergencias cuando la preparación y evaluación de la pte no es optima.  Anestesia regional fallida  Anestesia General CI x condiciones medica (hemorragia, HELLP, etc)  Inadecuado entrenamiento en anestesia general en condiciones obstétricas.
  • 46.
     6 Muertesmaternas Directas  31 Muertes Indirectas  Anestesiólogos entrenados  Recursos de fácil acceso para manejo óptimo de situaciones de emergencia  Paciente Obesa mórbida
  • 47.
    MUERTE POR ANESTESIA  Muertes directas - Falla respiratoria post-operatoria - Dosis alta opiode al finalizar Qx - Error en la administración tto - Intoxicación por anestésicos locales - Alteraciones anatómicas  Muertes indirectas - Falla en reconocimiento temprano de enfermedad severa - Crisis Asmática Severa POP (A. Neuroaxial en Obesa) que no respondió a B2 - Pobre manejo de patologías - Manejo de materna Obesa - Reporte de incidentes – incluyendo muertes
  • 48.
    MUERTE POR ANESTESIA  Manejo de la hemorragia - Identificación temprana de ptes en riesgo - Uso inadecuado de LEV fríos - No apreciación signos de “shutdown” periférico - Acceso fácil a banco de sangre - Acceso fácil a UCI  Oxitocina - Uso de 5 unidades venosas, luego infusión - Precaución en pacientes hipovolémicas
  • 49.
    Sepsis - Reconocimiento y manejo tempranos - Monitoría invasiva - Manejo en UCI  Materna Obesa - Guías de manejo basadas en evidencia - Ev. preanestésica - Posición de la paciente - Presión arterial invasiva - Tromboprofilaxis
  • 60.
    99 % delas muertes ocurren en paises en via de desarrollo 41% muertes y 46% near miss son prevenibles Factor asociado es el manejo inapropiado o incompleto no el sistema de salud o la paciente
  • 61.
    Busque activamente la EMBOLIA PULMONAR
  • 62.
    Busque activamente el EDEMA PULMONAR
  • 63.
    Convertir estas cifras en una respuesta automática para manejo activo y rápido de la presión arterial
  • 64.
    Muévase a un tratamiento quirúrgico definitivo de la hemorragia después de una terapia medica óptima
  • 65.
    Alta complejidad y poco frecuente requieren que sean tratadas por expertos
  • 66.
    No mas ordenes telefónicas de refuerzos de metergina o prostaglandinas
  • 67.
     El diagnósticodefinitivo no se sale de: Atonia uterina, placenta retenida, placenta acreta, laceraciones tracto genital y coagulopatia.
  • 68.
    1. La paciente joven y sana generalmente aguanta la oliguria  2. la causa mas común es pre-renal e implica hipovolemia
  • 69.
    Garantice equipo quirúrgico y banco de sangre en esta población
  • 74.
    Menos cristaloides, infusión agresiva y temprana de componentes: 1:1:1
  • 75.
    Busque activamente la EMBOLIA PULMONAR
  • 76.
    Busque activamente el EDEMA PULMONAR
  • 77.
    Convertir estas cifras en una respuesta automática para manejo activo y rápido de la presión arterial
  • 78.
    mue  Muévase a un tratamiento quirúrgico definitivo de la hemorragia después de una terapia medica óptima
  • 79.
    Alta complejidad y poco frecuente requieren que sean tratadas por expertos
  • 80.
    No mas ordenes telefónicas de refuerzos de metergina o prostaglandinas
  • 81.
     El diagnósticodefinitivo no se sale de: Atonia uterina, placenta retenida, placenta acreta, laceraciones tracto genital y coagulopatia.
  • 82.
    1. La paciente joven y sana generalmente aguanta la oliguria  2. la causa mas común es pre-renal e implica hipovolemia
  • 83.
    Garantice equipo quirúrgico y banco de sangre en esta población

Notas del editor

  • #29 34 datasets (35 197 maternal deaths) were included in the primary analysis. We recorded wide regional variation in the causes of maternal deaths. Haemorrhage was the leading cause of death in Africa (point estimate 33·9%, range 13·3–43·6; eight datasets, 4508 deaths) and in Asia (30·8%, 5·9–48·5; 11, 16 089). In Latin America and the Caribbean, hypertensive disorders were responsible for the most deaths (25·7%, 7·9–52·4; ten, 11 777). Abortion deaths were the highest in Latin America and the Caribbean (12%), which can be as high as 30% of all deaths in some countries in this region. Deaths due to sepsis were higher in Africa (odds ratio 2·71), Asia (1·91), and Latin America and the Caribbean (2·06) than in developed countries
  • #45 During general anesthesia the airway must always bemanaged, and airway management is more difficult in theobstetric patient. Air- way problems were by far the mostcommon cause of anesthesia-related deaths.2. General anesthesia is often chosen in emergencies, whenpreparation and examination of the patient is not optimal.3. General anesthesia is used in patients who have failed regionalanesthesia (e.g., obesity) or have contraindications to its use dueto medical conditions (e.g., hemorrhage, HELLP).4. Residency training programs may not provide residents with ad-equate exposure to general anesthesia on their obstetric rotationsbecause anesthesiologists, patients, and obstetricians preferregional anesthesia
  • #60 Con un solo punto rojo, o dos amarillos.Lo importante no es tanto, hacer el score, sino al detectar el peligro, hacer algo al respecto!!!!! La toma de acciones temprano.. No que quede en la historia clínica que se detecto temprano pero no se realizo nada para evitar sintomas y signos mas evidentes.