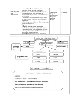
SESION   DE  APRENDISAJE  <br />I.- DATOS  GENERALES <br />         1.1. INSTITUCION EDUCATIVA :            N° 11524 “GREGORIO RAMIREZ  FANNING”<br />         1.2. GRADO                                      :             5to                            SECCION:   “A” <br />         1.3. DOCENTE DE AIP.                  :             FARCISCO VERGARA TERÁN <br />         1.4. DIRECTORA                             :              DONAIDA ÁLVAREZ VÁSQUEZ <br />         1.5. FECHA                                       :              15 de Junio del 2011 <br />II.-PARTE DIDACTICA. <br />    <br />     2.1.-Nombre de la actividad de aprendizaje <br />                                                              “Conozcamos el Sistema Planetario Solar”<br />          Área                                                 :               Personal Social  <br />COMPETENCIACAPACIDAD CONOCIMIENTOACTIVIDADINDICADORINSTRUMENTOSSe reconoce como parte de la historia y del contexto geográfico y nacional, describe y compara las principales característicasde las regiones naturales del Perú, relacionándolos con eldesarrollo sociocultural de cada regióndel país, apreciando su diversidad natural y cultural.Explica  laformación delUniverso e identifica los elementos del sistema planetario solar usando el buscador de Google o Biblioteca de mi primera Encarta.El Sistema Planetario Solar.Muestra  seguridad y confianza al comunicar sus  investigaciones al usar el buscador Google o Mi Primera Encarta de la computadora.Describe los elementos del Sistema Planetario Solar en una maqueta o lámina.Ficha práctica de evaluación Ficha de observación<br />                                         <br />MOMENTOSPROCESOS METODOLÓGICOSMATERIALESTIEMPOMOTIVACIÓNEl docente iniciará la sesión con actividades permanentes (saludo, oración, normas de convivencia, etc.)Se presenta una maqueta o una lámina con los planetas, observan y responden a interrogantes.¿Qué es lo que están observando?¿Qué nombres reciben estas imágenes?¿Cómo son estas imágenes? y ¿cómo están ubicados?¿Cómo es nuestro planeta? ¿Cómo se llama el conjunto de planetas?                                                      El docente declara el tema:   “El sistema planetario solar”MaquetaLáminaLimpia tipoCarteles          05 minutosCONSTRUCCIÓN DEL APRENDIZAJESe les proporciona a los estudiantes una computadora para que exploren en la biblioteca de Mi Primera Encarta o en el buscador Google la actividad sobre “El sistema planetario solar”Leen y analizan la información en forma individual, anotan las ideas principales.A través de una dinámica (utilizando tarjetas representando a los planetas) realiza la integración de grupos. Eligen a su coordinador y a un secretario.Los niños y las niñas, reunidos en grupo, anotan las características del planeta que se les asignó como grupo.Se les entregará papel sábana y plumones para que anoten sus respuestas.ExponenEl docente media el trabajo de los niños, resaltando los aciertos y corrigiendo los errores.Posteriormente con la participación de los niños y niñas, organiza y sistematiza la información a través de un mapa conceptualAnotan las conclusiones en sus cuadernos.Tarjetas con imágenes.ComputadoraLimpia tipoPapelotePlumón25 minutos<br />   EL  SISTEMA  PLANETARIO  SOLAR                                                                                                                                               Esta formado porOtros  cuerpos   Los  satelitesLa luna es el único que gira alrededor de la tierraPLANETAS QUE GIRAN ALREDEDOR DEL SOLAsteroides y cometas        satelites                                                                                                            Son 8                                                                                                                               5.- JUPITER          1.- MERCURIO          6.- SATURNO          2.- VENUS          7.- URANO         3.- TIERRAEs el único planeta en que hay vida          8.- NEPTUNO        4.- MARTEA C T I V I D A D  P A R A  L A  C A S A                                            ILUSTRA EL TEMA:       EL SISTEMA OLANETARIO SOLAR INVESTIGAN  Averigua porque Plutón fue excluido de esta lista. Indica en qué año paso el cometa HALLEY y cuáles son sus características. Elabora una maqueta del sistema solar con papel de reciclaje. Elabora un afiche de cómo mantener limpio nuestro planeta. MOMENTOS                PROCESOS   METODOLOGICOSMATERIALESTIEMPOTRANSFERENCIADELAPRENDIZAJEEl docente para comprobar si el tema se entendió, solicitará a los alumnos que desarrollen y trabajen el software de Ardora realizando actividades como sopa de letras, relacionar imagen- palabra, memoria y otros. Imágenes  Computadora Libro de MED.10 minutos<br />N°ALUMNOSEÑALA LOS PLANETAS RN SU ORDEN RESPECTIVODESCUBRE LOS ELEMENTOS DEL SISTEMA PLANERAEIO SOLAR CON AUTONOMIAMUESTRA SEGURIDAD Y CONFIANZA AL COMUNICAR SUS INVESTIGACIONES0102030405060708091011               FICHA   DE   OBSERVACIÓN<br />                  PRACTICA   SOPA DE LETRAS                        RETIPUJHS ONARUGNMU KGONUTPENMERCURIOEADEVGEISVAGIGGGFBGTHTIERRAGEKONRUTASNOMBRES DE PLANETAS                                MERCURIO                    JUPITER                           VENUS                            SATURNO                           TIERRA                          URANO                           MARTE                           NEPTUNORELACIONA CON UNA FLECHA Y ESCRIBE SU CARACTERISTICA         MARTE      NEPTUNO                    JUPITER       URANO               SATURNO     TIERRA                  VENUS     MERCURIO<br />
Sesion   de  aprendisaje
Sesion   de  aprendisaje
Sesion   de  aprendisaje

Sesion de aprendisaje

  • 1.
    SESION DE APRENDISAJE <br />I.- DATOS GENERALES <br /> 1.1. INSTITUCION EDUCATIVA : N° 11524 “GREGORIO RAMIREZ FANNING”<br /> 1.2. GRADO : 5to SECCION: “A” <br /> 1.3. DOCENTE DE AIP. : FARCISCO VERGARA TERÁN <br /> 1.4. DIRECTORA : DONAIDA ÁLVAREZ VÁSQUEZ <br /> 1.5. FECHA : 15 de Junio del 2011 <br />II.-PARTE DIDACTICA. <br /> <br /> 2.1.-Nombre de la actividad de aprendizaje <br /> “Conozcamos el Sistema Planetario Solar”<br /> Área : Personal Social <br />COMPETENCIACAPACIDAD CONOCIMIENTOACTIVIDADINDICADORINSTRUMENTOSSe reconoce como parte de la historia y del contexto geográfico y nacional, describe y compara las principales característicasde las regiones naturales del Perú, relacionándolos con eldesarrollo sociocultural de cada regióndel país, apreciando su diversidad natural y cultural.Explica laformación delUniverso e identifica los elementos del sistema planetario solar usando el buscador de Google o Biblioteca de mi primera Encarta.El Sistema Planetario Solar.Muestra seguridad y confianza al comunicar sus investigaciones al usar el buscador Google o Mi Primera Encarta de la computadora.Describe los elementos del Sistema Planetario Solar en una maqueta o lámina.Ficha práctica de evaluación Ficha de observación<br /> <br />MOMENTOSPROCESOS METODOLÓGICOSMATERIALESTIEMPOMOTIVACIÓNEl docente iniciará la sesión con actividades permanentes (saludo, oración, normas de convivencia, etc.)Se presenta una maqueta o una lámina con los planetas, observan y responden a interrogantes.¿Qué es lo que están observando?¿Qué nombres reciben estas imágenes?¿Cómo son estas imágenes? y ¿cómo están ubicados?¿Cómo es nuestro planeta? ¿Cómo se llama el conjunto de planetas? El docente declara el tema: “El sistema planetario solar”MaquetaLáminaLimpia tipoCarteles 05 minutosCONSTRUCCIÓN DEL APRENDIZAJESe les proporciona a los estudiantes una computadora para que exploren en la biblioteca de Mi Primera Encarta o en el buscador Google la actividad sobre “El sistema planetario solar”Leen y analizan la información en forma individual, anotan las ideas principales.A través de una dinámica (utilizando tarjetas representando a los planetas) realiza la integración de grupos. Eligen a su coordinador y a un secretario.Los niños y las niñas, reunidos en grupo, anotan las características del planeta que se les asignó como grupo.Se les entregará papel sábana y plumones para que anoten sus respuestas.ExponenEl docente media el trabajo de los niños, resaltando los aciertos y corrigiendo los errores.Posteriormente con la participación de los niños y niñas, organiza y sistematiza la información a través de un mapa conceptualAnotan las conclusiones en sus cuadernos.Tarjetas con imágenes.ComputadoraLimpia tipoPapelotePlumón25 minutos<br /> EL SISTEMA PLANETARIO SOLAR Esta formado porOtros cuerpos Los satelitesLa luna es el único que gira alrededor de la tierraPLANETAS QUE GIRAN ALREDEDOR DEL SOLAsteroides y cometas satelites Son 8 5.- JUPITER 1.- MERCURIO 6.- SATURNO 2.- VENUS 7.- URANO 3.- TIERRAEs el único planeta en que hay vida 8.- NEPTUNO 4.- MARTEA C T I V I D A D P A R A L A C A S A ILUSTRA EL TEMA: EL SISTEMA OLANETARIO SOLAR INVESTIGAN Averigua porque Plutón fue excluido de esta lista. Indica en qué año paso el cometa HALLEY y cuáles son sus características. Elabora una maqueta del sistema solar con papel de reciclaje. Elabora un afiche de cómo mantener limpio nuestro planeta. MOMENTOS PROCESOS METODOLOGICOSMATERIALESTIEMPOTRANSFERENCIADELAPRENDIZAJEEl docente para comprobar si el tema se entendió, solicitará a los alumnos que desarrollen y trabajen el software de Ardora realizando actividades como sopa de letras, relacionar imagen- palabra, memoria y otros. Imágenes Computadora Libro de MED.10 minutos<br />N°ALUMNOSEÑALA LOS PLANETAS RN SU ORDEN RESPECTIVODESCUBRE LOS ELEMENTOS DEL SISTEMA PLANERAEIO SOLAR CON AUTONOMIAMUESTRA SEGURIDAD Y CONFIANZA AL COMUNICAR SUS INVESTIGACIONES0102030405060708091011 FICHA DE OBSERVACIÓN<br /> PRACTICA SOPA DE LETRAS RETIPUJHS ONARUGNMU KGONUTPENMERCURIOEADEVGEISVAGIGGGFBGTHTIERRAGEKONRUTASNOMBRES DE PLANETAS MERCURIO JUPITER VENUS SATURNO TIERRA URANO MARTE NEPTUNORELACIONA CON UNA FLECHA Y ESCRIBE SU CARACTERISTICA MARTE NEPTUNO JUPITER URANO SATURNO TIERRA VENUS MERCURIO<br />