Incrustar presentación
Descargado 81 veces








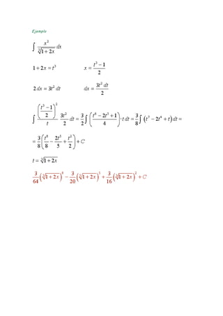
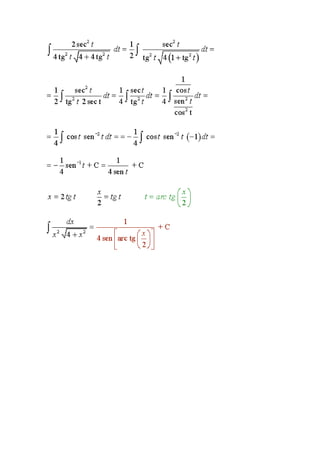
El documento describe el método de integración por sustitución o cambio de variable. Explica los pasos para realizar un cambio de variable en una integral, que incluyen identificar la parte a cambiar con una nueva variable, diferenciar ambos términos para despejar la variable original y la diferencial, sustituir en la integral y volver a la variable original después de integrar. También menciona algunos cambios de variable comunes.






