Ejercicios de trigonometría.
Demostración de igualdades
Introducción
La trigonometría de 1º de Bachillerato ofrece
una serie de ejercicios que nos piden
demostrar ciertas expresiones trigonométricas
complejas, siendo un ejercicio adecuado para
el razonamiento simbólico y la elaboración de
demostraciones, frecuentes en las
matemáticas del Bachillerato.
Se presenta aquí una serie de estos ejercicios
desarrollados.
Ejercicios de demostración
En ocasiones se nos pedirá demostrar que una
expresión trigonométrica compleja es igual a
otra, a veces totalmente distinta comparada
con la primera, como la que se ilustra en la
portada de esta presentación.
Aquí aprenderemos de forma práctica a
resolver algunos de estos ejercicios. Lo
haremos definiendo una estrategia a partir de
nuestros conocimientos de trigonometría y de
resolución de ecuaciones.
Estrategia
●   Dada una expresión, primero nos fijamos en
    cual es el miembro de ella más complejo.
    Aquel que tenga más operaciones, ángulos
    dobles, cocientes, etc.
●   Nos fijamos en las expresiones
    trigonométricas; si vemos la razón
    trigonométrica de un ángulo doble, suma o
    resta de ángulos, etc. hemos de
    desarrollarlo hasta dejarlo como una
    expresión que contenga, únicamente, senos
    y cosenos de los ángulos dados.
    Por ejemplo, si tenemos una expresión con un
    sen(2a) buscamos su definición en función de
    a. En este caso sen(2a)=2sen(a)cos(a).
●   Una vez desarrollada la expresión, lo que
    hacemos es simplificarla. Para ello hemos de
    sacar factor común, agrupar y reducir ... los
    mismos pasos que realizábamos para
    simplificar ecuaciones, teniendo en cuentaq ue
    nuestras variables serán razones
    trigonométricas, productos de ellas, sumas de
    estas etc.
●   A veces, podremos simplificar las
    expresiones haciendo uso de las razones
    fundamentales de la trigonometría (definición
    de tangente de un ángulo y que la suma de los
    cuadrados del seno y el coseno de un ángulo
    es 1).
En los siguientes ejercicios pondremos a
prueba esta estrategia y la aplicaremos a
algunos casos concretos. Su nivel de dificultad
es variable, pero en todos ellos aparecerá una
serie de observaciones destinadas a la correcta
realización del ejercicio y la solución detallada
del mismo.
Se ha elegido mostrar las soluciones obtenidas
en cada ejercicio con una tipografía de
diferentes colores, indicando cada uno una
operación distinta a realizar.
1. Demostrar la siguiente expresión

         cos(a+b)+cos(a−b)    1
                           =
         sen(a+b)+sen(a−b) tg (a)

  Observaciones- Desarrollamos las razones
  trigonométricas de la suma y la resta de los
  ángulos a y b, y hemos de recordar la
  definición de tangente de un ángulo.
  Posteriormente simplificaremos
cos(a+b)+cos(a−b)
                  =
sen(a+b)+sen(a−b)

cos(a)cos(b)−sen(a) sen(b)+cos(a)cos(b)+sen(a) sen(b)
                                                      =
sen(a)cos(b)+sen(b)cos(a)+sen(a)cos(b)−sen(b)cos(a)

2cos(a)cos(b) cos(a)      1       1
              =       =        =
2sen (a)cos(b) sen(a)   sen(a) tg (a)
                        cos(a)
2. Demostrar la siguiente expresión


        2 sen(a)−sen(2 a) 1−cos(a)
                         =
        2 sen(a)+sen(2 a) 1+cos(a)


 Observaciones- Desarrollamos el miembro de
 la izquierda de esta expresión, ya que el de la
 derecha ya está en función de a. Hemos de
 expresar las razones trigonométricas del
 ángulo doble de a en función de coseno y seno
 de a. Posteriormente sacamos factor común.
2 sen(a)−sen(2 a) 2 sen(a)−2 sen(a)cos(a)
                 =                        =
2 sen(a)+sen(2 a) 2 sen(a)+2 sen(a)cos(a)

2 sen(a)(1−cos(a)) 1−cos(a)
                  =
2 sen(a)(1+cos(a)) 1+cos(a)
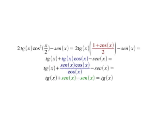
3. Demostrar la siguiente expresión


                   2  x
        2 tg ( x)cos ( )−sen( x) = tg ( x)
                      2


 Observaciones- Desarrollamos el miembro de
 la izquierda. Aquí hemos de tener en mente la
 definición de coseno de un ángulo mitad.
 Además, debemos recordar la propiedad
 distributiva de la multiplicación.
2    x
                                  (
2 tg ( x)cos ( )−sen( x) = 2tg ( x)
               2                          2   )
                                       1+cos( x)
                                                 −sen( x) =
               tg ( x)+tg ( x)cos( x)−sen( x) =
                       sen( x)cos( x)
              tg ( x)+                −sen( x) =
                           cos( x)
               tg ( x)+sen( x)−sen( x) = tg ( x)
4. Demostrar la siguiente expresión

           cos( x− y) 1+tg ( x)tg ( y)
                     =
           cos( x+ y) 1−tg ( x)tg ( y)

 Observaciones- Desarrollamos el miembro de
 la izquierda. Para ello, hacemos uso de la
 definición de coseno de la resta de dos
 ángulos. Posteriormente hemos de simplificar
 las dos expresiones dividiendo por
 cos(x)cos(y).
cos( x− y) cos( x)cos( y)+sen( x) sen( y)
                     =                               =
           cos( x+ y) cos( x)cos( y)−sen( x) sen( y)

cos( x)cos( y) sen( x) sen( y)      sen( x)   sen( y)
              +                  1+
cos( x)cos( y) cos( x)cos( y)       cos( x)   cos( y)   1−tg ( x)tg ( y)
                               =                      =
cos( x)cos( y) sen( x) sen( y)      sen( x)   sen( y)   1+tg ( x)tg ( y)
              −                  1−
cos( x)cos( y) cos( x)cos( y)       cos( x)   cos( y)
5. Demostrar la siguiente expresión


    cos( x)cos( x− y)+sen( x) sen( x− y) = cos( y)


  Observaciones- Desarrollamos el miembro de
  la izquierda. Recordamos la definición de seno
  y coseno de la resta de dos ángulos. Sacamos
  factor común. Cuidado con los signos.
cos( x) cos( x− y)+sen ( x) sen ( x− y) =

cos( x)(cos( x) cos( y)+sen ( x) sen( y))+sen ( x)(sen ( x) cos( y)−sen( y) cos( x)) =

cos 2 ( x)cos( y)+sen 2 ( x)cos( y)−cos( x) sen( x) sen( y)+sen( x) sen( y )cos( x) =
                                   2                   2
                        cos ( y) cos ( x)+cos( y) sen ( x) =

                       cos( y) ( cos2 ( x)+sen 2 ( x)) = cos( y)

Ejercicios de trigonometría

  • 1.
  • 2.
    Introducción La trigonometría de1º de Bachillerato ofrece una serie de ejercicios que nos piden demostrar ciertas expresiones trigonométricas complejas, siendo un ejercicio adecuado para el razonamiento simbólico y la elaboración de demostraciones, frecuentes en las matemáticas del Bachillerato. Se presenta aquí una serie de estos ejercicios desarrollados.
  • 3.
    Ejercicios de demostración Enocasiones se nos pedirá demostrar que una expresión trigonométrica compleja es igual a otra, a veces totalmente distinta comparada con la primera, como la que se ilustra en la portada de esta presentación. Aquí aprenderemos de forma práctica a resolver algunos de estos ejercicios. Lo haremos definiendo una estrategia a partir de nuestros conocimientos de trigonometría y de resolución de ecuaciones.
  • 4.
    Estrategia ● Dada una expresión, primero nos fijamos en cual es el miembro de ella más complejo. Aquel que tenga más operaciones, ángulos dobles, cocientes, etc. ● Nos fijamos en las expresiones trigonométricas; si vemos la razón trigonométrica de un ángulo doble, suma o resta de ángulos, etc. hemos de desarrollarlo hasta dejarlo como una expresión que contenga, únicamente, senos y cosenos de los ángulos dados. Por ejemplo, si tenemos una expresión con un sen(2a) buscamos su definición en función de a. En este caso sen(2a)=2sen(a)cos(a).
  • 5.
    Una vez desarrollada la expresión, lo que hacemos es simplificarla. Para ello hemos de sacar factor común, agrupar y reducir ... los mismos pasos que realizábamos para simplificar ecuaciones, teniendo en cuentaq ue nuestras variables serán razones trigonométricas, productos de ellas, sumas de estas etc. ● A veces, podremos simplificar las expresiones haciendo uso de las razones fundamentales de la trigonometría (definición de tangente de un ángulo y que la suma de los cuadrados del seno y el coseno de un ángulo es 1).
  • 6.
    En los siguientesejercicios pondremos a prueba esta estrategia y la aplicaremos a algunos casos concretos. Su nivel de dificultad es variable, pero en todos ellos aparecerá una serie de observaciones destinadas a la correcta realización del ejercicio y la solución detallada del mismo. Se ha elegido mostrar las soluciones obtenidas en cada ejercicio con una tipografía de diferentes colores, indicando cada uno una operación distinta a realizar.
  • 7.
    1. Demostrar lasiguiente expresión cos(a+b)+cos(a−b) 1 = sen(a+b)+sen(a−b) tg (a) Observaciones- Desarrollamos las razones trigonométricas de la suma y la resta de los ángulos a y b, y hemos de recordar la definición de tangente de un ángulo. Posteriormente simplificaremos
  • 8.
    cos(a+b)+cos(a−b) = sen(a+b)+sen(a−b) cos(a)cos(b)−sen(a) sen(b)+cos(a)cos(b)+sen(a) sen(b) = sen(a)cos(b)+sen(b)cos(a)+sen(a)cos(b)−sen(b)cos(a) 2cos(a)cos(b) cos(a) 1 1 = = = 2sen (a)cos(b) sen(a) sen(a) tg (a) cos(a)
  • 9.
    2. Demostrar lasiguiente expresión 2 sen(a)−sen(2 a) 1−cos(a) = 2 sen(a)+sen(2 a) 1+cos(a) Observaciones- Desarrollamos el miembro de la izquierda de esta expresión, ya que el de la derecha ya está en función de a. Hemos de expresar las razones trigonométricas del ángulo doble de a en función de coseno y seno de a. Posteriormente sacamos factor común.
  • 10.
    2 sen(a)−sen(2 a)2 sen(a)−2 sen(a)cos(a) = = 2 sen(a)+sen(2 a) 2 sen(a)+2 sen(a)cos(a) 2 sen(a)(1−cos(a)) 1−cos(a) = 2 sen(a)(1+cos(a)) 1+cos(a)
  • 11.
    3. Demostrar lasiguiente expresión 2 x 2 tg ( x)cos ( )−sen( x) = tg ( x) 2 Observaciones- Desarrollamos el miembro de la izquierda. Aquí hemos de tener en mente la definición de coseno de un ángulo mitad. Además, debemos recordar la propiedad distributiva de la multiplicación.
  • 12.
    2 x ( 2 tg ( x)cos ( )−sen( x) = 2tg ( x) 2 2 ) 1+cos( x) −sen( x) = tg ( x)+tg ( x)cos( x)−sen( x) = sen( x)cos( x) tg ( x)+ −sen( x) = cos( x) tg ( x)+sen( x)−sen( x) = tg ( x)
  • 13.
    4. Demostrar lasiguiente expresión cos( x− y) 1+tg ( x)tg ( y) = cos( x+ y) 1−tg ( x)tg ( y) Observaciones- Desarrollamos el miembro de la izquierda. Para ello, hacemos uso de la definición de coseno de la resta de dos ángulos. Posteriormente hemos de simplificar las dos expresiones dividiendo por cos(x)cos(y).
  • 14.
    cos( x− y)cos( x)cos( y)+sen( x) sen( y) = = cos( x+ y) cos( x)cos( y)−sen( x) sen( y) cos( x)cos( y) sen( x) sen( y) sen( x) sen( y) + 1+ cos( x)cos( y) cos( x)cos( y) cos( x) cos( y) 1−tg ( x)tg ( y) = = cos( x)cos( y) sen( x) sen( y) sen( x) sen( y) 1+tg ( x)tg ( y) − 1− cos( x)cos( y) cos( x)cos( y) cos( x) cos( y)
  • 15.
    5. Demostrar lasiguiente expresión cos( x)cos( x− y)+sen( x) sen( x− y) = cos( y) Observaciones- Desarrollamos el miembro de la izquierda. Recordamos la definición de seno y coseno de la resta de dos ángulos. Sacamos factor común. Cuidado con los signos.
  • 16.
    cos( x) cos(x− y)+sen ( x) sen ( x− y) = cos( x)(cos( x) cos( y)+sen ( x) sen( y))+sen ( x)(sen ( x) cos( y)−sen( y) cos( x)) = cos 2 ( x)cos( y)+sen 2 ( x)cos( y)−cos( x) sen( x) sen( y)+sen( x) sen( y )cos( x) = 2 2 cos ( y) cos ( x)+cos( y) sen ( x) = cos( y) ( cos2 ( x)+sen 2 ( x)) = cos( y)