SONIDO Y EL
OIDO
1 Marcos Guerrero
Marcos Guerrero
2
3
Marcos Guerrero
Ondas sonoras
Definición
Es una onda longitudinal en un medio. La cual puede ser descrita
matemáticamente de la siguiente manera:
)cos(),( tkxAtxy 
Onda de desplazamiento que se
propaga en la dirección +x
Marcos Guerrero
4
Onda sonora como fluctuaciones de presión
Marcos Guerrero
5
Marcos Guerrero
6
Marcos Guerrero
7
)(),( tkxBkAsentxp 
La máxima fluctuación de presión la
obtenemos de:
BkApmáx 
Onda de presión que se propaga en la
dirección +x
Marcos Guerrero
8
La Onda de desplazamiento y la onda
de presión estan desfasadas 900
Marcos Guerrero
9
Problema
Marcos Guerrero
10
Solución
Ing. Marcos Guerrero
11
Propagación del sonido y el oído
Marcos Guerrero
12
Marcos Guerrero
13
Marcos Guerrero
14
Rapidez de las ondas sonoras
De manera similar a la rapidez de una onda transversal en una
cuerda tenemos:
Marcos Guerrero
15

B
v 
Donde la rapidez del fluido
depende únicamente del modulo
volumétrico B y de la densidad p
del medio.
Rapidez de una onda longitudinal en un fluido
Rapidez de una onda longitudinal en una varilla solida

Y
v 
Donde la rapidez del fluido
depende únicamente del modulo
de Young y de la densidad p del
medio.
Marcos Guerrero
16
Marcos Guerrero
17
Rapidez del sonido en gases
Conociendo la expresión para el modulo volumétrico de un gas tenemos:
0pB 
Donde es la presión de equilibrio del
gas y la cantidad se denomina la
razón de capacidades caloríficas.
0p

Dado que la densidad de un gas también depende de la presión, que
a su vez depende de la temperatura. Por lo tanto:
M
RT
v


T: Temperatura.
M: Masa molar.
: Razón de capacidades caloríficas.
R: Constante de los gases
ideales KmolJR */1314472.8

Marcos Guerrero
18
Problema
Marcos Guerrero
19
Solución
Ing. Marcos Guerrero
20
Intensidad del sonido (I)
A
P
I 
Se define como la potencia por unidad de área que es recibida por
el observador (es medida en W.m-2 ) .
La intensidad de una onda es proporcional al cuadrado de su
amplitud y del cuadrado de la frecuencia
22
fAI 
Marcos Guerrero
21
Intensidad sonora
Utilizando la ecuación de la onda sonora y la onda sonora en fluctuaciones
de presión tenemos:
La intensidad es por definición el valor promedio de p(x,t)v(x,t). Para la
cualquier valor de x, el valor medio de la función durante un
periodo es 1/2:
)(2
tkxsen 
2T
2
2
1
kABI 
Marcos Guerrero
22
Utilizando las relaciones y , podemos transformar la
ecuación a la forma:
vk /2
Bv 
22
2
1
ABI 
Suele ser mas útil expresar I en términos de la amplitud de presión y
, y usando vemos que:
maxp
vk
B
p
v
p
I
 22
max
2
max
2

/2
Bv 
Marcos Guerrero
23
Problema
Marcos Guerrero
24
Solución
25
NIVELES
Un NIVEL es el logaritmo de la razón de una cantidad dada
Respecto de una cantidad de referencia del mismo tipo.
Al definir un nivel es preciso indicar la base del logaritmo, la
cantidad de referencia y el tipo de nivel (por ejemplo, nivel de
presión sonora o nivel de potencia sonora o nivel intensidad
sonora)
26
NIVEL DE INTENSIDAD SONORA







0
10log10
I
I
d
Emisión de sonido por una fuente
Intensidad de referencia: I0 = 10-12
Wm-2
• Umbral de audición: 10-12
Wm-2(0 dB)
• Umbral de dolor: 1 Wm-2(120 dB)
• Estos valores están dados a una frecuencia de
1000 Hz
Ing. Marcos Guerrero
Marcos Guerrero
27
Marcos Guerrero
28
Problema
Marcos Guerrero
29
Solución
Marcos Guerrero
30
Marcos Guerrero
31
Resonancia
La resonancia es un fenómeno que se produce cuando un
cuerpo capaz de vibrar es sometido a la acción de una fuerza
periódica, cuyo periodo de vibración es igual al periodo de
vibración característico de dicho cuerpo.
Si una fuerza
periódica se aplica a
tal sistema, la
amplitud del
movimiento resultante
es mayor cuando la
frecuencia de la
fuerza aplicada es
igual a una
de las frecuencias
naturales del sistema
Marcos Guerrero
32
Ondas sonoras estacionarias y modos normales
Nodo de desplazamiento: Se refiere a puntos en los que las partículas
tienen cero desplazamiento.
Antinodo de desplazamiento: Se refiere a puntos en los que las
partículas tienen máximo desplazamiento.
Nodo de presión: Punto de una onda sonora estacionaria en el que la
presión y densidad no varían.
Antinodo de presión: Punto de una onda sonora estacionaria en el que
la presión y densidad son máximas.
Un nodo de presión siempre es un antinodo de
desplazamiento y un antinodo de presión siempre es
un nodo de desplazamiento.
Marcos Guerrero
33
Marcos Guerrero
34
Tubo de órgano e instrumento de aliento
Un tubo de órgano abierto en ambos extremos se llama “tubo abierto”
Marcos Guerrero
35
Por lo tanto, todas las frecuencias de modo normal para un tubo
abierto por ambos extremos están dados por:
L
nv
fn
2

Para todo modo normal de un tubo abierto, la longitud L debe ser un
numero entero de medias longitudes de onda y las longitudes de ondas
posibles , están dadas por:n
2
n
nL


n
L
n
2
ó
(n=1,2,3…)
(n=1,2,3…)
1nffn 
Marcos Guerrero
36
Un tubo abierto en el extremo izquierdo pero cerrado en el derecho,
se llama tubo cerrado.
Marcos Guerrero
37
Frecuencia fundamental para tubo cerrado
L
v
f
4
1 
Las posibles longitudes de ondas están dadas por:
4
n
nL


n
L
n
4
 (n=1,3,5…)
ó
Las frecuencias de modo normal están dadas por:
L
nv
f
4
1  (n=1,3,5…)
Solo son posibles armónicos impares.
Marcos Guerrero
38
Problema
Marcos Guerrero
39
Solución
Marcos Guerrero
40
Marcos Guerrero
41
Interferencia
Marcos Guerrero
42
Marcos Guerrero
43
Interferencia constructiva
Interferencia destructiva
Siempre que las distancias recorridas por las dos ondas difieren en
un numero impar de medias longitudes de ondas.
Siempre que las distancias recorridas por las dos ondas difieren en
un numero entero de longitudes de ondas.
Marcos Guerrero
44
Marcos Guerrero
45
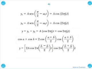
Pulsaciones
El batimiento es la variación periódica en amplitud en un punto dado
debido a la superposición de dos ondas que tienen frecuencias
ligeramente diferentes.
Marcos Guerrero
46
Marcos Guerrero
47
Marcos Guerrero
48
Marcos Guerrero
49
Problema
Marcos Guerrero
50
Solución
Marcos Guerrero
51
Marcos Guerrero
52
El efecto Doppler
Cuando una fuente de sonido y un receptor están en movimiento
relativo, la frecuencia del sonido oído por el receptor no es el mismo
que la frecuencia fuente.
Las condiciones para estudiar el Efecto Doppler son:
• Las rapideces de la fuente y observador son rapideces subsónicas.
• Tanto la fuente como el observador deben estar a lo largo de la
misma línea que los une.
Marcos Guerrero
53
Receptor y fuente estacionaria
lF =
v
fF
lR =
v
fR
lR = lF Þ fR = fF
Marcos Guerrero
54
NOTA: Escogemos como dirección positiva la que va del receptor R a la fuente
F. la rapidez del sonido relativa al medio, siempre se considera positiva.
Marcos Guerrero
55
Receptor en movimiento y fuente estacionaria
lF =
v
fF
lR =
vR + v
fR
lR = lF Þ fR = fF (
v+vR
v
)
fR = fF (
v±vR
v
)
Marcos Guerrero
56
Receptor en reposo y fuente en movimiento
Marcos Guerrero
57
lF =
v
fF
lR =
v
fR
d =
vF
fF
d = lF -lR Þ
vF
fF
=
v
fF
-
v
fR
Þ fR = fF (
v
v-vF
)
fR = fF (
v
v±vF
)
Marcos Guerrero
58
Fuente en movimiento y receptor en movimiento
fR = (
v±vR
v±vF
) fF
Marcos Guerrero
59
Si el medio está en movimiento
Efecto Doppler en ondas electromagnéticas.
FR f
vc
vc
f



Efecto Doppler para la luz
Rf
fR = (
(v±vm )±vR
(v±vm )±vF
) fF
Marcos Guerrero
60
Marcos Guerrero
61
Problema (6.15)
Marcos Guerrero
62
Solución
Marcos Guerrero
63
Problema
Marcos Guerrero
64
Solución
Marcos Guerrero
65
Problema
Marcos Guerrero
66
Solución
Marcos Guerrero
67
Problema
Marcos Guerrero
68
Solución
Marcos Guerrero
69
Ondas de choque
Marcos Guerrero
70
El movimiento del avión en el aire produce sonido: si es menor
que la rapidez del sonido v, las ondas delante del avión se
apretarán con una longitud de onda dada por la ecuación
siguiente:
vF
lenfrente =
v-vF
fF
Conforme la rapidez del avión se acerca a la rapidez del sonido
v, la longitud de onda se acerca a cero y las crestas de la onda se
apilan.
vF
Marcos Guerrero
71
Fotografía estroboscópica de una bala que se
mueve con rapidez supersónica a través del
aire caliente sobre una vela. Advierta la onda
de choque en la vecindad de la bala
Ondas de choque alrededor de un
avión supersónico
Marcos Guerrero
72
Marcos Guerrero
73
Numero de Match
En esta relación, es la
rapidez de la fuente (la
magnitud de su velocidad)
relativa al aire y siempre es
positiva. La relación se
llama número de Mach; es
mayor que 1 para todas las
rapideces supersónicas, y
en la ecuación es su
recíproco.
Por el triángulo rectángulo de la figura, vemos que el ángulo está
dado por:
sena =
vt
vFt
=
v
vF
vF
vF / v
sen
Marcos Guerrero
74
Problema
Marcos Guerrero
75
Solución

Ondas sonoras Física B