Incrustar presentación
Descargar para leer sin conexión















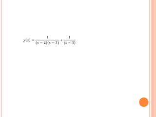
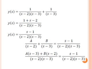
Este documento describe cómo resolver una ecuación diferencial utilizando el método de la transformada de Laplace. Se aplica la transformada de Laplace a ambos lados de la ecuación diferencial y(t) - 3y = e^2t con la condición inicial y'(0) = 1. Esto resulta en una solución algebraica para y en términos de s. Luego, se asignan valores convenientes para los parámetros y se aplica la antitransformada de Laplace para obtener la solución cuando t = 0.













