CONTROVERSIAS
EN ENFERMEDAD
CELIACA
Dra. Eva Martínez-Ojinaga Nodal
Gastroenterología y Nutrición
Hospital Infantil La Paz
 Enfermedad celiaca
Conceptos: Oslo 2011
 Nuevos conceptos: sensibilidad al gluten no celiaca
Herramientas diagnósticas
Nuevos criterios ESPGHAN 2012
 Prevención
Lactancia materna
Gluten
Definición
 Alteración sistémica de carácter autoinmune
desencadenada por el consumo de gluten y
prolaminas en individuos genéticamente
predispuestos. Combinación variable de:
Manifestaciones clínicas gluten-dependientes
Presencia de autoanticuerpos específicos
HLA DQ2/DQ8
Enteropatía
OSLO (2011)
CLINICA
Clásica
(antes típica)
Diarrea
Malnutrición
Síndrome malabsortivo: pérdida de peso,
esteatorrea, edemas
No clásica
(antes atípica)
Sin síndrome malabsortivo
Manifestaciones digestivas/ extraintestinales
CLINICA SEROLOGIA ALT.
HISTOLOGICAS
Asintomático/ Subclínico
(antes silente)
NO + +
Potencial
(antes latente)
Latente ESPGHAN 2012
SI
SI/NO
+
+/- / HLA +
-
-
Autoinmunidad celiaca NO + No realizada
OSLO (2011)
Trastornos relacionados con
gluten (antes intolerancia/
sensibilidad al gluten)
Dermatitis herpetiforme
Ataxia gluten- dependiente
Sensibilidad al gluten no celiaca
(SGNC)
OSLO (2011)
SENSIBILIDAD AL GLUTEN NO
CELIACA (SGNC)
 Manifestación sintomática, por la ingesta de
gluten en personas en las cuales ha sido
excluida EC y alergia al trigo, y que
responde a dieta sin gluten
Ingesta
de gluten
Patogénesis
Autoinmune
Alérgica
No AI
No alérgica
•EC
•DH
•Ataxia
•Alergia al trigo
•SGNC
1
2
3
HERRAMIENTAS DIAGNÓSTICAS
 Serología: AGA, DGP, ATGt, EMA
 HLA
 Biopsia
LIES
F. Koning et al. Pathomechanisms in celiac disease. Best Pract Res Cl Ga 2005; 19(3): 373-387
RESPUESTA
INMUNE
 Innata: LIES de la mucosa
 Adaptativa: linfocitos submucosa
Humoral
Celular
Antígeno exógeno: gliadina
Autoantígenos: transglutaminasa tisular
SEROLOGÍA
 Anticuerpos antigliadina (AGA) IgA e IgG
 Anticuerpos antipéptidos deaminados de
la gliadina (anti DGP) IgA e IG
 Anticuerpos antitransglutaminasa tisular
(ATG)
 Anticuerpos antiendomisio (EMA)
SEROLOGIA. CONSIDERACIONES
 Niveles de IgA.
 IgG menos específico
 Edad
 Consumo de gluten:
 “Provocación”
 No < 6 meses
 Inmunosupresores
 No muestras en saliva ni heces
AGA IgA/ IgG
 S:70-95%. E: 80-94%
 VPP: 30 %
 Relación con la ingesta de gluten.
Respuesta inmune normal frente a antígeno.
 Útiles en < 2 años pero no recomendados
DPG IgG
 S:>90% E: >95%
 VPP: >80%
 Se elevan solo en celiacos, no en
individuos sanos
 Especialmente indicados en :
< 2 años
Déficit IgA
AGA y DGP
AGA IgG y/o
IgA
AGA IgE Anti DGP IgG y/o
IgA
EMA y
ATGt IgA
EC + - + +
D. Herpetiforme + - +/- +/-
Ataxia + - +/- +/-
Alergia al trigo + + - -
SGNC + - - -
EMA
 S: 85-98% E: 97-100%
 VPP:98-100%
 IFI: Laboriosa, subjetiva
 Utilidad:
Confirmar resultado de ATG
2ª muestra para Dx según nuevos criterios
Anti TGt
 S: 91-95% E: 95-97%
 VPP: 95-98%
 Fácil, ELISA
 Si > 100 U/ml: atrofia moderada-severa
 Trangresiones.
 ATGt IgG vida media mas larga
Anti TGt
 Posibles FN:
Dieta pobre en gluten
Enteropatía pierde proteínas
Inmunosupresores
< 2 años
Anti TGt
 Posibles FP Niveles medios sin EMA (+)
Otras enf AI
Enf hepáticas
Tumores
Daño tisular
KITS RAPIDOS (POC)
 Semicuantitativo
 Test combinado
 Alta S (96%) y E (97%)
 VPP 68%
 VPN 99.8 %
 Teórica utilidad como cribado, siempre
confirmar.
ESTUDIO HLA
 HLA DQ2 y/o DQ8
 Alto VPN
 95% DQ2, resto DQ8
 30% portadores sanos. 3% desarrollarán
EC (10% entre familiares)
 DNA 4 alelos: riesgo
 SNPs
BIOPSIA
•Orientación
•Vellosidades/ cripta/ relación vellosidad/cripta
•Linfocitosis intraepitelial
•Clasificación de Marsh Oberhauer
•Análisis de LIES por citometría de flujo
•Depósitos de ATGt en la mucosa intestinal
BIOPSIA. OBJECIONES
- Limitaciones:
- Mal orientada, muestras inadecuada, lesión
parcheada. NO ESPECÍFICA
- Falsos positivos:
1. Giardiasis
2. Sprue tropical
3. Enf Crohn
4. Enteropatía AI
5. Isquemia
CRITERIOS DIAGNÓSTICOS
 INTERLAKE
 ESPGHAN 1990
 ESPGHAN 2012
1960 1990 2012
Biopsias 3 1 1/ 0
Provocación Siempre Solo dudosos y
menores de 2
años al DX
Solo dudosos
CRITERIOS DIAGNÓSTICOS
ESPGHAN 2012
 Niños y adolescentes
 Posibilidad de omitir la biopsia
intestinal
 Sintomáticos vs asintomáticos /
grupo de riesgo
CRITERIOS DIAGNÓSTICOS
ESPGHAN 2012. CLINICA
1. Fallo de medro, pérdida de peso, talla baja
2. Diarrea crónica/intermitente
3. Retraso puberal/ amenorrea
4. Anemia ferropénica
5. Nauseas o vómitos, distensión abdominal,
estreñimiento crónico, dolor abdominal*
CRITERIOS DIAGNÓSTICOS
ESPGHAN 2012. CLINICA
6. Dermatitis herpetiforme
7. Alteración hepática
8. Fatiga crónica
9. Aftosis bucal recurrente
10. Fracturas óseas ante traumatismo
banal/osteopenia/osteoporosis
CRITERIOS DIAGNÓSTICOS
ESPGHAN 2012
 Sintomatología evidente
 Elevación ATGt > 10 x VN en 2 muestras
 EMA + en 2ª muestra
 HLA de riesgo
SIN BIOPSIA EN:
CRITERIOS DIAGNÓSTICOS
ESPGHAN 2012
 Asintomáticos
 Elevación ATGt <10 x VN
 Casos clinicamente dudosos
CON BIOPSIA EN:
Clinica +
ATG IgA+ IgA*
Positivo Negativo
*Si deficit IgA pedir ATGt IgG
No EC
Reevaluar si:
Sintomas severos
Deficit IgA
Otras enfermedades
Ingesta de gluten escasa
Gastroenterologo. Ofrecer posibilidades
de como hacer el Dx
ATG > 10 v.n ATG < 10 v.n
EMA y HLA DQ2/8 Endoscopia y biopsiaNo disponible
EMA+
HLA+
EMA+
HLA-
EMA-
HLA+
EMA-
HLA-
Marsh 0-1 Marsh 2-3
EC
FN de HLA
Valorar BI
EC
FP de
ATG
FP de Ac
FN en BI
Posible EC
potencial
Caso NO
CLARO
Pedir HLA
Pedir EMA
Repetir BI con
LIES
CRITERIOS DIAGNÓSTICOS
ESPGHAN 2012. GRUPO DE RIESGO
1. Familiares de 1er grado
2. DM tipo 1
3. Sd de Down
4. Enfermedad tiroidea autoinmune
5. Déficit selectivo de IgA
6. Enf. Hepática autoinmune
7. Sd de Turner
8. Sd de Williams
Asintomático/Gr riesgo
HLA DQ2/8 (+/- ATG IgA+ IgA*)
HLA Positivo HLA Negativo
*Si deficit IgA pedir ATGt IgG
No EC
Pedir ATG IgA+ IgA
ATG > 3 x v.n ATG (-)
EMA
FN de ATG
Excluir deficit IgA
Ingesta de gluten escasa
EMA+ EMA-
Marsh 0-1Marsh 2-3
EC
Caso NO
CLARO FP de Ac
FN en BI
Posible EC
potencial
ATG < 3 x v.n
Valorar repetir cada 2-3
años o si aparece clinica
No EC
Endoscopia y biopsia**
**4 + 1 de bulbo +/- LIES
Dieta
normal
FP de ATG/
elevacion
transitoria
Extraccion
periodica
Dieta
normal
IMPORTANTE
 Retirar el gluten cuando se haya
completado el proceso diagnóstico,
con o sin biopsia
 Excepción: pacientes clínicamente
inestables con sintomatología clásica.
 De no confirmarse el Dx es mandatoria la
provocación con biopsia
SCORE PROPUESTO
Puntos
Síntomas
Malabsorcion
Otros síntomas ó DM ó Familiar en 1er grado
Asintomático
2
1
0
Serología
EMA y/o ATG >10 v.n
ATG < 10 v.n ó anti DGP + aislado
No realizada
Resultado negativo
2
1
0
-1
HLA
DQ2 + ó DQ8 +
No realizado ó solo DQ2.2
No DQ2 ni DQ8
1
0
-1
Biopsia
Marsh 3 b/3c
Marsh 2/3ª ó Marsh 1+ ATG en mucosa
Marsh 0/1 ó no realizada
2
1
0
Positivo si puntuación >4
GLUTEN, LACTANCIA MATERNA
Y ENF. CELIACA
Año del diagnóstico
Casospor100000personas/año
Olsson C et al. Pediatrics 2008;122:528-534
Epidemia sueca
Epidemia sueca
Factores:
Retraso en la introducción del gluten (4 vs 6 meses)
•Menor porcentaje de lactancia materna
Incremento de gluten en las leches y alimentos
infantiles
Intervencion
Gluten a los 4 meses con lactancia materna
Moderación del consumo de gluten en las
leches y alimentos infantiles
Epidemia sueca
Casospor100000personas/año
Edad
Seguimiento durante 12 años:
Cohorte 1993 Cohorte 1997
IA < 2 años 4.4 1.3
IA 6 años 5.6 3.4
IA 12 años 8.1 6.4
Prevalencia 2.9 2.2
Ivarsson A et al. Pediatrics 2013; 131(3): e687-94.
Epidemia sueca
Resultados y conclusiones:
Diferencia significativa entre cohortes
•Se podrían haber evitado el 45% de los casos
Retraso en la edad de diagnóstico
•¿Realmente disminuyó la incidencia?
Epidemia sueca
Lactancia materna
1. Efecto protector contra infecciones
2. Anticuerpos de clase IgA
3. Propiedades inmunomoduladores
Investigaciones:
Duración LM
Introducción del gluten y LM
Breastfeeding at the time of gluten introduction
Reference Design OR Effect Strengths/Limitations
Akobeng 2006 Meta-analysis of
case-control
studies
1.54 (0.27–10.56) No effect Not clear whether BF
provides long-term
protection or just
delays the symptoms.*
Norris 2005 Prospective
observational
study
HR 1.32 (0.76–2.28) No effect Prospective design;
however,
small number of
subjects in
whom the outcome
measures
occurred; use of CD
autoimmunity as a
surrogate
for biopsy-diagnosed
CD.
Lactancia materna
Szajewska H et al. Systematic review: early infant feeding and the
prevention of coeliac disease. Aliment Pharmacol Ther 2012; 36: 607-18
Duration of breastfeeding and coeliac disease
Reference N Duration of BF Effect size Effect
Studies included in
the
systematic review by
Akobeng et al.26
Auricchio 1983 505 Breastfed <30 days or bottle-fed has
higher
risk of CD than breastfed >30 days
OR 4.05 (2.2–7.27) Short BF
predisposing
Ascher 1997 81 BF in cases vs. controls: 6.5 (range
1.5–9)
months vs. 5 (0–14) months
N.S. No effect
Falth-Magnusson
1996
336 Median BF duration: 2.5 months (CD)
vs.
4 months (control)
P < 0.003 Short BF
predisposing
Greco 1988 2150 BF <90 days 5 times more likely to
develop CD
OR 4.97 (3.5–6.9) Short BF
predisposing
Ivarsson 2002 1272 Children <2 years: median BF duration
5 months
for CD vs. 7 months for controls
Children >2 years
P < 0.001
N.S.
Short BF
Predisposing
No effect
Peters 2001 280 Risk of developing CD decreased by
63% for
children BF >2 months vs. BF <2
months
OR 0.37 (0.21–
0.64)
Short BF
predisposing
Duration of breastfeeding and coeliac disease
Duration of BF Effect size Effect
Decker 2010 The rate of BF in patients with
CD (86.6%) was
higher compared with control
subjects (76.5%)
OR 1.99 (1.12–3.51). No
effect
The average duration of BF –
5.18 months (CD)
vs. 5.25 months (controls)
OR 1.99 (1.12–
3.51).
N.S
No effect
Norris 2005 No protective effect of
breastfeeding. BF duration in
CD autoimmunity-positive
children was 8.3 (8.8)
months and BF duration in CD
autoimmunity-negative
children was 6.7 (6.8) month
OR 1.02 (0.99–1.05) No effect
Roberts 2008 No significant association
between CD and BF
N.S No effect
Welander 2010 No significant association
between CD and BF
N.S No effect
Ziegler 2003 No significant association
between CD and BF
N.S No effect
Estudio observacional casos-controles
N = 1881 niños (Casos:627 y Controles:1272)
Resultado: OR 1.5: (CI 95% 1.1-2.1)
Menores de 2 años con LM al introducir gluten…menor riesgo
Introducción en grandes cantidades…mayor riesgo
Conclusión:
“ La introducción gradual del gluten durante la LM reduce el riesgo de
EC”
 “Breast-feeding protects against celiac disease”. Anneli Ivarsson, Olle Hernell,
Hans Stenlund, and Lars Åke Persson. Am J Clin Nutr 2002;75:914–21
Lactancia materna
 Risk of celiac disease autoinmunity and timing of gluten introduction in
the diet of infants at increased risk of disease. Jill M. Norris; Katherine Barriga;
Edward J. Hoffenberg; et al. JAMA. 2005;293(19):2343-2351
Estudio observacional prospectivo
N = 1560 niños con riesgo de EC y DM I (HLA DR3-4). Solo 25 celiacos
diagnosticados con biopsia
Resultado:
Riesgo x5 de EC al introducir gluten antes de los 3 meses (H.R
5.17)
Riesgo x2 de EC al introducir gluten en mayores de 7 meses (H.R
1.87)
Conclusión:
“ El momento de introducción del gluten se asocia con EC en niños
con riesgo genético”
Lactancia materna
Gluten introduction – current national and international recommendations
Society/country Year Recommendation
ESPGHAN
Committee
on Nutrition
2008 It is prudent to avoid both early (<4 months) and late (7 months) introduction of gluten
and to introduce gluten gradually while the infant is still being breastfed because this
may reduce the risk of CD, type 1 diabetes mellitus, and wheat allergy.
Croatia 2010 After a full 4 months, preferably while still being breastfed.
Germany 2011 Introduction of gluten in small quantities preferentially while the infant is still being breast-fed, not
earlier than at the beginning of the 5th and no later than at the beginning of the 7th month.
Israel 2009 National guidelines are in accordance with ESPGHAN guidelines.
Netherland 1999 After 6 months of age.
Poland 2007 After a full 4 months and before the end of 6 months. Small amounts, preferably while still being
breastfed.
Sweden 2011 Introduction of gluten in small amounts preferably while the infant is still being breastfed, not
earlier than age 4 month and no later than age 6 month.
US (American
Academy of
Pediatrics)
2012 Complementary foods can be introduced between 4 and 6 months of age. Gluten-containing
foods should be introduced while the infant is receiving only breast milk and not infant formula or
other bovine milk products.
Evidencia científica escasa
Mantener LM al introducir el gluten
No antes de los 4 ni después de los 7 meses
Introducción gradual
Lactancia materna
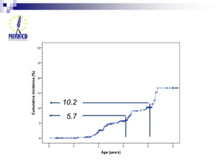
10.2
5.7
DQ2/DQ8
positive
1028
YES
Randomized
975
Informed consent
withdrawn
53
946 29
YES NO
DB intervention 4-6 m.
Placebo vs. 100 mg
gluten
Follow-up
10.2
5.7
CONCLUSIONES
 Los nuevos criterios permiten omitir la biopsia en
casos seleccionados, pero están en proceso de
validación
 Para el cribado se recomienda determinación de
ATGt + AntiPDG IgG (en su defecto niveles séricos
de IgA)
 La determinación de LIES en mucosa intestinal es
recomendable
 Asegurar ausencia de síntomas, no estado
subclínico
 Solo se debe retirar el gluten cuando se ha
completado el proceso diagnóstico con todas
las pruebas, tanto con biopsia como sin ella.
Excepto pacientes inestables
CONCLUSIONES
 La lactancia materna es beneficiosa per se, pero no
existe evidencia que apoye que prevenga el
desarrollo de EC (como mucho que retrase su
aparicion)
 El gluten, por ahora, se debe introducir a los 6
meses, de forma gradual y preferiblemente mientras
se esta lactando
CONCLUSIONES
REFERENCIAS
 Husby et al. European Society for Pediatric Gastroenterology, Hepatology and
Nutrition guidelines for the diagnosis of celiac disease JPGN 2012; 54: 136-160
 Olsson C et al. Pediatrics 2008;122:528-534
 Ivarsson A et al. Pediatrics 2013; 131(3): e687-94
 Szajewska H et al. Systematic review: early infant feeding and the prevention of
coeliac disease. Aliment Pharmacol Ther 2012; 36: 607-18
 Henriksson C et al.What effect does breastfeeding have on colecia disease? A
systemiatic review update. Evid Based Med. 2012
 Ivarsson A, et al. “Breast-feeding protects against celiac disease. Am J Clin Nutr
2002;75:914–21
 Norris et al. Risk of celiac disease autoinmunity and timing of gluten introduction
in the diet of infants at increased risk of disease. JAMA. 2005;293(19):2343-2351
 F. Koning et al. Pathomechanisms in celiac disease. Best Pract Res Cl Ga 2005;
19(3): 373-387

Controversias en enfermedad celiaca.

  • 1.
    CONTROVERSIAS EN ENFERMEDAD CELIACA Dra. EvaMartínez-Ojinaga Nodal Gastroenterología y Nutrición Hospital Infantil La Paz
  • 2.
     Enfermedad celiaca Conceptos:Oslo 2011  Nuevos conceptos: sensibilidad al gluten no celiaca Herramientas diagnósticas Nuevos criterios ESPGHAN 2012  Prevención Lactancia materna Gluten
  • 3.
    Definición  Alteración sistémicade carácter autoinmune desencadenada por el consumo de gluten y prolaminas en individuos genéticamente predispuestos. Combinación variable de: Manifestaciones clínicas gluten-dependientes Presencia de autoanticuerpos específicos HLA DQ2/DQ8 Enteropatía
  • 4.
    OSLO (2011) CLINICA Clásica (antes típica) Diarrea Malnutrición Síndromemalabsortivo: pérdida de peso, esteatorrea, edemas No clásica (antes atípica) Sin síndrome malabsortivo Manifestaciones digestivas/ extraintestinales
  • 5.
    CLINICA SEROLOGIA ALT. HISTOLOGICAS Asintomático/Subclínico (antes silente) NO + + Potencial (antes latente) Latente ESPGHAN 2012 SI SI/NO + +/- / HLA + - - Autoinmunidad celiaca NO + No realizada OSLO (2011)
  • 6.
    Trastornos relacionados con gluten(antes intolerancia/ sensibilidad al gluten) Dermatitis herpetiforme Ataxia gluten- dependiente Sensibilidad al gluten no celiaca (SGNC) OSLO (2011)
  • 7.
    SENSIBILIDAD AL GLUTENNO CELIACA (SGNC)  Manifestación sintomática, por la ingesta de gluten en personas en las cuales ha sido excluida EC y alergia al trigo, y que responde a dieta sin gluten Ingesta de gluten Patogénesis Autoinmune Alérgica No AI No alérgica •EC •DH •Ataxia •Alergia al trigo •SGNC 1 2 3
  • 8.
    HERRAMIENTAS DIAGNÓSTICAS  Serología:AGA, DGP, ATGt, EMA  HLA  Biopsia LIES
  • 9.
    F. Koning etal. Pathomechanisms in celiac disease. Best Pract Res Cl Ga 2005; 19(3): 373-387
  • 10.
    RESPUESTA INMUNE  Innata: LIESde la mucosa  Adaptativa: linfocitos submucosa Humoral Celular Antígeno exógeno: gliadina Autoantígenos: transglutaminasa tisular
  • 11.
    SEROLOGÍA  Anticuerpos antigliadina(AGA) IgA e IgG  Anticuerpos antipéptidos deaminados de la gliadina (anti DGP) IgA e IG  Anticuerpos antitransglutaminasa tisular (ATG)  Anticuerpos antiendomisio (EMA)
  • 12.
    SEROLOGIA. CONSIDERACIONES  Nivelesde IgA.  IgG menos específico  Edad  Consumo de gluten:  “Provocación”  No < 6 meses  Inmunosupresores  No muestras en saliva ni heces
  • 13.
    AGA IgA/ IgG S:70-95%. E: 80-94%  VPP: 30 %  Relación con la ingesta de gluten. Respuesta inmune normal frente a antígeno.  Útiles en < 2 años pero no recomendados
  • 14.
    DPG IgG  S:>90%E: >95%  VPP: >80%  Se elevan solo en celiacos, no en individuos sanos  Especialmente indicados en : < 2 años Déficit IgA
  • 15.
    AGA y DGP AGAIgG y/o IgA AGA IgE Anti DGP IgG y/o IgA EMA y ATGt IgA EC + - + + D. Herpetiforme + - +/- +/- Ataxia + - +/- +/- Alergia al trigo + + - - SGNC + - - -
  • 16.
    EMA  S: 85-98%E: 97-100%  VPP:98-100%  IFI: Laboriosa, subjetiva  Utilidad: Confirmar resultado de ATG 2ª muestra para Dx según nuevos criterios
  • 17.
    Anti TGt  S:91-95% E: 95-97%  VPP: 95-98%  Fácil, ELISA  Si > 100 U/ml: atrofia moderada-severa  Trangresiones.  ATGt IgG vida media mas larga
  • 18.
    Anti TGt  PosiblesFN: Dieta pobre en gluten Enteropatía pierde proteínas Inmunosupresores < 2 años
  • 19.
    Anti TGt  PosiblesFP Niveles medios sin EMA (+) Otras enf AI Enf hepáticas Tumores Daño tisular
  • 20.
    KITS RAPIDOS (POC) Semicuantitativo  Test combinado  Alta S (96%) y E (97%)  VPP 68%  VPN 99.8 %  Teórica utilidad como cribado, siempre confirmar.
  • 21.
    ESTUDIO HLA  HLADQ2 y/o DQ8  Alto VPN  95% DQ2, resto DQ8  30% portadores sanos. 3% desarrollarán EC (10% entre familiares)  DNA 4 alelos: riesgo  SNPs
  • 22.
    BIOPSIA •Orientación •Vellosidades/ cripta/ relaciónvellosidad/cripta •Linfocitosis intraepitelial •Clasificación de Marsh Oberhauer •Análisis de LIES por citometría de flujo •Depósitos de ATGt en la mucosa intestinal
  • 23.
    BIOPSIA. OBJECIONES - Limitaciones: -Mal orientada, muestras inadecuada, lesión parcheada. NO ESPECÍFICA - Falsos positivos: 1. Giardiasis 2. Sprue tropical 3. Enf Crohn 4. Enteropatía AI 5. Isquemia
  • 24.
    CRITERIOS DIAGNÓSTICOS  INTERLAKE ESPGHAN 1990  ESPGHAN 2012 1960 1990 2012 Biopsias 3 1 1/ 0 Provocación Siempre Solo dudosos y menores de 2 años al DX Solo dudosos
  • 25.
    CRITERIOS DIAGNÓSTICOS ESPGHAN 2012 Niños y adolescentes  Posibilidad de omitir la biopsia intestinal  Sintomáticos vs asintomáticos / grupo de riesgo
  • 26.
    CRITERIOS DIAGNÓSTICOS ESPGHAN 2012.CLINICA 1. Fallo de medro, pérdida de peso, talla baja 2. Diarrea crónica/intermitente 3. Retraso puberal/ amenorrea 4. Anemia ferropénica 5. Nauseas o vómitos, distensión abdominal, estreñimiento crónico, dolor abdominal*
  • 27.
    CRITERIOS DIAGNÓSTICOS ESPGHAN 2012.CLINICA 6. Dermatitis herpetiforme 7. Alteración hepática 8. Fatiga crónica 9. Aftosis bucal recurrente 10. Fracturas óseas ante traumatismo banal/osteopenia/osteoporosis
  • 28.
    CRITERIOS DIAGNÓSTICOS ESPGHAN 2012 Sintomatología evidente  Elevación ATGt > 10 x VN en 2 muestras  EMA + en 2ª muestra  HLA de riesgo SIN BIOPSIA EN:
  • 29.
    CRITERIOS DIAGNÓSTICOS ESPGHAN 2012 Asintomáticos  Elevación ATGt <10 x VN  Casos clinicamente dudosos CON BIOPSIA EN:
  • 30.
    Clinica + ATG IgA+IgA* Positivo Negativo *Si deficit IgA pedir ATGt IgG No EC Reevaluar si: Sintomas severos Deficit IgA Otras enfermedades Ingesta de gluten escasa Gastroenterologo. Ofrecer posibilidades de como hacer el Dx ATG > 10 v.n ATG < 10 v.n EMA y HLA DQ2/8 Endoscopia y biopsiaNo disponible EMA+ HLA+ EMA+ HLA- EMA- HLA+ EMA- HLA- Marsh 0-1 Marsh 2-3 EC FN de HLA Valorar BI EC FP de ATG FP de Ac FN en BI Posible EC potencial Caso NO CLARO Pedir HLA Pedir EMA Repetir BI con LIES
  • 31.
    CRITERIOS DIAGNÓSTICOS ESPGHAN 2012.GRUPO DE RIESGO 1. Familiares de 1er grado 2. DM tipo 1 3. Sd de Down 4. Enfermedad tiroidea autoinmune 5. Déficit selectivo de IgA 6. Enf. Hepática autoinmune 7. Sd de Turner 8. Sd de Williams
  • 32.
    Asintomático/Gr riesgo HLA DQ2/8(+/- ATG IgA+ IgA*) HLA Positivo HLA Negativo *Si deficit IgA pedir ATGt IgG No EC Pedir ATG IgA+ IgA ATG > 3 x v.n ATG (-) EMA FN de ATG Excluir deficit IgA Ingesta de gluten escasa EMA+ EMA- Marsh 0-1Marsh 2-3 EC Caso NO CLARO FP de Ac FN en BI Posible EC potencial ATG < 3 x v.n Valorar repetir cada 2-3 años o si aparece clinica No EC Endoscopia y biopsia** **4 + 1 de bulbo +/- LIES Dieta normal FP de ATG/ elevacion transitoria Extraccion periodica Dieta normal
  • 33.
    IMPORTANTE  Retirar elgluten cuando se haya completado el proceso diagnóstico, con o sin biopsia  Excepción: pacientes clínicamente inestables con sintomatología clásica.  De no confirmarse el Dx es mandatoria la provocación con biopsia
  • 34.
    SCORE PROPUESTO Puntos Síntomas Malabsorcion Otros síntomasó DM ó Familiar en 1er grado Asintomático 2 1 0 Serología EMA y/o ATG >10 v.n ATG < 10 v.n ó anti DGP + aislado No realizada Resultado negativo 2 1 0 -1 HLA DQ2 + ó DQ8 + No realizado ó solo DQ2.2 No DQ2 ni DQ8 1 0 -1 Biopsia Marsh 3 b/3c Marsh 2/3ª ó Marsh 1+ ATG en mucosa Marsh 0/1 ó no realizada 2 1 0 Positivo si puntuación >4
  • 35.
  • 36.
    Año del diagnóstico Casospor100000personas/año OlssonC et al. Pediatrics 2008;122:528-534 Epidemia sueca
  • 37.
    Epidemia sueca Factores: Retraso enla introducción del gluten (4 vs 6 meses) •Menor porcentaje de lactancia materna Incremento de gluten en las leches y alimentos infantiles
  • 38.
    Intervencion Gluten a los4 meses con lactancia materna Moderación del consumo de gluten en las leches y alimentos infantiles Epidemia sueca
  • 39.
  • 40.
    Seguimiento durante 12años: Cohorte 1993 Cohorte 1997 IA < 2 años 4.4 1.3 IA 6 años 5.6 3.4 IA 12 años 8.1 6.4 Prevalencia 2.9 2.2 Ivarsson A et al. Pediatrics 2013; 131(3): e687-94. Epidemia sueca
  • 41.
    Resultados y conclusiones: Diferenciasignificativa entre cohortes •Se podrían haber evitado el 45% de los casos Retraso en la edad de diagnóstico •¿Realmente disminuyó la incidencia? Epidemia sueca
  • 42.
    Lactancia materna 1. Efectoprotector contra infecciones 2. Anticuerpos de clase IgA 3. Propiedades inmunomoduladores Investigaciones: Duración LM Introducción del gluten y LM
  • 43.
    Breastfeeding at thetime of gluten introduction Reference Design OR Effect Strengths/Limitations Akobeng 2006 Meta-analysis of case-control studies 1.54 (0.27–10.56) No effect Not clear whether BF provides long-term protection or just delays the symptoms.* Norris 2005 Prospective observational study HR 1.32 (0.76–2.28) No effect Prospective design; however, small number of subjects in whom the outcome measures occurred; use of CD autoimmunity as a surrogate for biopsy-diagnosed CD. Lactancia materna Szajewska H et al. Systematic review: early infant feeding and the prevention of coeliac disease. Aliment Pharmacol Ther 2012; 36: 607-18
  • 44.
    Duration of breastfeedingand coeliac disease Reference N Duration of BF Effect size Effect Studies included in the systematic review by Akobeng et al.26 Auricchio 1983 505 Breastfed <30 days or bottle-fed has higher risk of CD than breastfed >30 days OR 4.05 (2.2–7.27) Short BF predisposing Ascher 1997 81 BF in cases vs. controls: 6.5 (range 1.5–9) months vs. 5 (0–14) months N.S. No effect Falth-Magnusson 1996 336 Median BF duration: 2.5 months (CD) vs. 4 months (control) P < 0.003 Short BF predisposing Greco 1988 2150 BF <90 days 5 times more likely to develop CD OR 4.97 (3.5–6.9) Short BF predisposing Ivarsson 2002 1272 Children <2 years: median BF duration 5 months for CD vs. 7 months for controls Children >2 years P < 0.001 N.S. Short BF Predisposing No effect Peters 2001 280 Risk of developing CD decreased by 63% for children BF >2 months vs. BF <2 months OR 0.37 (0.21– 0.64) Short BF predisposing
  • 45.
    Duration of breastfeedingand coeliac disease Duration of BF Effect size Effect Decker 2010 The rate of BF in patients with CD (86.6%) was higher compared with control subjects (76.5%) OR 1.99 (1.12–3.51). No effect The average duration of BF – 5.18 months (CD) vs. 5.25 months (controls) OR 1.99 (1.12– 3.51). N.S No effect Norris 2005 No protective effect of breastfeeding. BF duration in CD autoimmunity-positive children was 8.3 (8.8) months and BF duration in CD autoimmunity-negative children was 6.7 (6.8) month OR 1.02 (0.99–1.05) No effect Roberts 2008 No significant association between CD and BF N.S No effect Welander 2010 No significant association between CD and BF N.S No effect Ziegler 2003 No significant association between CD and BF N.S No effect
  • 46.
    Estudio observacional casos-controles N= 1881 niños (Casos:627 y Controles:1272) Resultado: OR 1.5: (CI 95% 1.1-2.1) Menores de 2 años con LM al introducir gluten…menor riesgo Introducción en grandes cantidades…mayor riesgo Conclusión: “ La introducción gradual del gluten durante la LM reduce el riesgo de EC”  “Breast-feeding protects against celiac disease”. Anneli Ivarsson, Olle Hernell, Hans Stenlund, and Lars Åke Persson. Am J Clin Nutr 2002;75:914–21 Lactancia materna
  • 47.
     Risk ofceliac disease autoinmunity and timing of gluten introduction in the diet of infants at increased risk of disease. Jill M. Norris; Katherine Barriga; Edward J. Hoffenberg; et al. JAMA. 2005;293(19):2343-2351 Estudio observacional prospectivo N = 1560 niños con riesgo de EC y DM I (HLA DR3-4). Solo 25 celiacos diagnosticados con biopsia Resultado: Riesgo x5 de EC al introducir gluten antes de los 3 meses (H.R 5.17) Riesgo x2 de EC al introducir gluten en mayores de 7 meses (H.R 1.87) Conclusión: “ El momento de introducción del gluten se asocia con EC en niños con riesgo genético” Lactancia materna
  • 48.
    Gluten introduction –current national and international recommendations Society/country Year Recommendation ESPGHAN Committee on Nutrition 2008 It is prudent to avoid both early (<4 months) and late (7 months) introduction of gluten and to introduce gluten gradually while the infant is still being breastfed because this may reduce the risk of CD, type 1 diabetes mellitus, and wheat allergy. Croatia 2010 After a full 4 months, preferably while still being breastfed. Germany 2011 Introduction of gluten in small quantities preferentially while the infant is still being breast-fed, not earlier than at the beginning of the 5th and no later than at the beginning of the 7th month. Israel 2009 National guidelines are in accordance with ESPGHAN guidelines. Netherland 1999 After 6 months of age. Poland 2007 After a full 4 months and before the end of 6 months. Small amounts, preferably while still being breastfed. Sweden 2011 Introduction of gluten in small amounts preferably while the infant is still being breastfed, not earlier than age 4 month and no later than age 6 month. US (American Academy of Pediatrics) 2012 Complementary foods can be introduced between 4 and 6 months of age. Gluten-containing foods should be introduced while the infant is receiving only breast milk and not infant formula or other bovine milk products.
  • 49.
    Evidencia científica escasa MantenerLM al introducir el gluten No antes de los 4 ni después de los 7 meses Introducción gradual Lactancia materna
  • 50.
    10.2 5.7 DQ2/DQ8 positive 1028 YES Randomized 975 Informed consent withdrawn 53 946 29 YESNO DB intervention 4-6 m. Placebo vs. 100 mg gluten Follow-up
  • 51.
  • 52.
    CONCLUSIONES  Los nuevoscriterios permiten omitir la biopsia en casos seleccionados, pero están en proceso de validación  Para el cribado se recomienda determinación de ATGt + AntiPDG IgG (en su defecto niveles séricos de IgA)  La determinación de LIES en mucosa intestinal es recomendable
  • 53.
     Asegurar ausenciade síntomas, no estado subclínico  Solo se debe retirar el gluten cuando se ha completado el proceso diagnóstico con todas las pruebas, tanto con biopsia como sin ella. Excepto pacientes inestables CONCLUSIONES
  • 54.
     La lactanciamaterna es beneficiosa per se, pero no existe evidencia que apoye que prevenga el desarrollo de EC (como mucho que retrase su aparicion)  El gluten, por ahora, se debe introducir a los 6 meses, de forma gradual y preferiblemente mientras se esta lactando CONCLUSIONES
  • 55.
    REFERENCIAS  Husby etal. European Society for Pediatric Gastroenterology, Hepatology and Nutrition guidelines for the diagnosis of celiac disease JPGN 2012; 54: 136-160  Olsson C et al. Pediatrics 2008;122:528-534  Ivarsson A et al. Pediatrics 2013; 131(3): e687-94  Szajewska H et al. Systematic review: early infant feeding and the prevention of coeliac disease. Aliment Pharmacol Ther 2012; 36: 607-18  Henriksson C et al.What effect does breastfeeding have on colecia disease? A systemiatic review update. Evid Based Med. 2012  Ivarsson A, et al. “Breast-feeding protects against celiac disease. Am J Clin Nutr 2002;75:914–21  Norris et al. Risk of celiac disease autoinmunity and timing of gluten introduction in the diet of infants at increased risk of disease. JAMA. 2005;293(19):2343-2351  F. Koning et al. Pathomechanisms in celiac disease. Best Pract Res Cl Ga 2005; 19(3): 373-387