PENDIENTE DE
UNA RECTA


María Pizarro Aragonés
En matemáticas y ciencias
aplicadas se denomina
pendiente a la inclinación
de un elemento respecto
de la horizontal.
El concepto de pendiente
se usa en la vida diaria.
 En
caminos, pavimentos, techu
mbres, etc…
En geometría analítica, tiene
que ver con la inclinación de
una recta, respect0 al eje X.
              y



                        x
Definición

Si A ( x₁ , y₁) y B ( x₂ , y₂ ) son
puntos en el plano, se denomina
PENDIENTE ( m ) :

 m (A,B) =          y₁ - y₂
                    x₁ - x₂
OTRA    FORMA




 Delta : diferencia
 En una recta, la pendiente
 es siempre constante.
y


     ( x₁,y₁)
                 x


    ( x₂ , y₂)
Calcula la pendiente entre los
puntos R ( 3, - 1) y S ( 5 , - 4)

m=     y₁ - y₂
       x₁ - x₂
m = - 4 - (- 1) - 4 + 1        -3
      5 - 3    = 2            = 2
Calcula la pendiente entre los
puntos M ( -1, 5) y T ( -2 , 5 )

m=    y₁ - y₂
       x₁ - x₂
m= 5 - 5           0               =
    - 2 - ( - 1)
                 =-2+1
   0       = 0
  -1
m(A,B)            y₁ - y₂
                 Y      x₁ - x₂
m=4–2        4                B(5,4)
  5–1

m = 2          2
      4         A   (1, 2)
m=1
     2              1             5
pendiente
Positiva m > 0                         X
RECTAS CON PENDIENTE
POSITIVA m > 0

        y



              x
m(A,B)
                 Y
             4
  y₁ - y₂        B ( o, 4))
   x₁ - x₂
             2
 4–0    4
     =-                  A(5,0)
 0–5    5
                 1           5
 pendiente
negativa
                                  X
  m<0
RECTAS CON PENDIENTE
NeGATIVA m < 0

         y


              x
m =   y₁ - y₂     Y
      x₁ - x₂ 4 A ( 1,0)   B (5 ,0)

  0–0    2
  1–5                                 X
   0 =0
  -4
     m=0
RECTAS CON PENDIENTE
 cero m = 0 paralelas al eje X

             y


                   x
PENDIENTE NO DEFINIDA
paralela al eje Y

         y


              x
Y
 m< 0 negativa
       m=0
positiva m > 0
             X
Rectas PARALELAS tienen
IGUAL PENDIENTE
                    y
        (0 , 2)     2
                    1           (5, 0)
        ( - 2, 0)
         -2                         5
                    -1
                         (3, - 2)
                                        x
                    -2
m₁ =    2-0    2 -2
             =   =
        0 - 5 -5   5

m₂ = 0 – (-2)
                           y
    - 2 – 3 (0 , 2)        2
                           1           (5, 0)
               ( - 2, 0)
  0 + 2 = -2   -2                          5
=                          -1                  x
   -5      5               -2
                                (3, - 2)
Si   m₁=m₂
 las rectas son
paralelas
Si el producto de las pendientes
es -1 , las rectas son
perpendiculares.


   m₁• m₂ = -1
L₁ perpendicular L₂

L₁    L₂ si   m₁ •m ₂= -1
         L₁     y     L₂


                       x
Ejemplos
m₁         m₂    m₁•m₂

     1     -1    -1
 - 3/4     4/3   -1
  1/2       -2   -1
 - 2/7     7/2   -1
a . -b
 b    a
        =      -1
La fracción recíproca,
con signo contrario.
Aplicando el concepto de
pendiente, demostrar que los
puntos R( 4, 1)
S(5, -2) T ( 6, - 5) son
colineales. Es decir pertenecen
a la misma recta.
 Se calcula la pendiente entre
R y S y entre S y T si son
iguales, los puntos son
colineales.
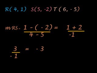
R( 4, 1)     S(5, -2) T ( 6, - 5)


m RS =   1 – ( - 2) =      1+2
           4–5             -1

  3      =    -3
 -1
R( 4, 1)   S(5, -2) T ( 6, - 5)



m ST =- 2 - (- 5) = -2 + 5
        5–6           -1

    3 =      -3
   -1
R( 4, 1) S(5, -2) T ( 6, - 5)
        y       y
Puntos
                 1      R
colineales,
están en             1 2 3 4 5 6        x
                                S
 la misma       -2

recta.
                                    T
                -5
FIN
Bibliografía : Wikipedia

Pendiente de una recta

  • 1.
  • 2.
    En matemáticas yciencias aplicadas se denomina pendiente a la inclinación de un elemento respecto de la horizontal.
  • 3.
    El concepto dependiente se usa en la vida diaria. En caminos, pavimentos, techu mbres, etc…
  • 4.
    En geometría analítica,tiene que ver con la inclinación de una recta, respect0 al eje X. y x
  • 5.
    Definición Si A (x₁ , y₁) y B ( x₂ , y₂ ) son puntos en el plano, se denomina PENDIENTE ( m ) : m (A,B) = y₁ - y₂ x₁ - x₂
  • 6.
    OTRA FORMA Delta : diferencia En una recta, la pendiente es siempre constante.
  • 7.
    y ( x₁,y₁) x ( x₂ , y₂)
  • 8.
    Calcula la pendienteentre los puntos R ( 3, - 1) y S ( 5 , - 4) m= y₁ - y₂ x₁ - x₂ m = - 4 - (- 1) - 4 + 1 -3 5 - 3 = 2 = 2
  • 9.
    Calcula la pendienteentre los puntos M ( -1, 5) y T ( -2 , 5 ) m= y₁ - y₂ x₁ - x₂ m= 5 - 5 0 = - 2 - ( - 1) =-2+1 0 = 0 -1
  • 10.
    m(A,B) y₁ - y₂ Y x₁ - x₂ m=4–2 4 B(5,4) 5–1 m = 2 2 4 A (1, 2) m=1 2 1 5 pendiente Positiva m > 0 X
  • 11.
  • 12.
    m(A,B) Y 4 y₁ - y₂ B ( o, 4)) x₁ - x₂ 2 4–0 4 =- A(5,0) 0–5 5 1 5 pendiente negativa X m<0
  • 13.
  • 14.
    m = y₁ - y₂ Y x₁ - x₂ 4 A ( 1,0) B (5 ,0) 0–0 2 1–5 X 0 =0 -4 m=0
  • 15.
    RECTAS CON PENDIENTE cero m = 0 paralelas al eje X y x
  • 16.
  • 17.
    Y m< 0negativa m=0 positiva m > 0 X
  • 18.
    Rectas PARALELAS tienen IGUALPENDIENTE y (0 , 2) 2 1 (5, 0) ( - 2, 0) -2 5 -1 (3, - 2) x -2
  • 19.
    m₁ = 2-0 2 -2 = = 0 - 5 -5 5 m₂ = 0 – (-2) y - 2 – 3 (0 , 2) 2 1 (5, 0) ( - 2, 0) 0 + 2 = -2 -2 5 = -1 x -5 5 -2 (3, - 2)
  • 20.
    Si m₁=m₂ las rectas son paralelas
  • 21.
    Si el productode las pendientes es -1 , las rectas son perpendiculares. m₁• m₂ = -1
  • 22.
    L₁ perpendicular L₂ L₁ L₂ si m₁ •m ₂= -1 L₁ y L₂ x
  • 23.
    Ejemplos m₁ m₂ m₁•m₂ 1 -1 -1 - 3/4 4/3 -1 1/2 -2 -1 - 2/7 7/2 -1
  • 24.
    a . -b b a = -1 La fracción recíproca, con signo contrario.
  • 25.
    Aplicando el conceptode pendiente, demostrar que los puntos R( 4, 1) S(5, -2) T ( 6, - 5) son colineales. Es decir pertenecen a la misma recta. Se calcula la pendiente entre R y S y entre S y T si son iguales, los puntos son colineales.
  • 26.
    R( 4, 1) S(5, -2) T ( 6, - 5) m RS = 1 – ( - 2) = 1+2 4–5 -1 3 = -3 -1
  • 27.
    R( 4, 1) S(5, -2) T ( 6, - 5) m ST =- 2 - (- 5) = -2 + 5 5–6 -1 3 = -3 -1
  • 28.
    R( 4, 1)S(5, -2) T ( 6, - 5) y y Puntos 1 R colineales, están en 1 2 3 4 5 6 x S la misma -2 recta. T -5
  • 29.