ANESTESICOS
LOCALES
Sergio Esteban Gutierrez Vidal
ANESTÉSICOS LOCALES:
INTRODUCCIÓN
Utilizados para tratar el dolor agudo perioperatorio
Dx y Tto: Dolor relacionado con cáncer, crónico e inflamatorio.
Aminoesteres (met. Plasmatico) o aminoamidas (met. Hepatico)
Mecanismo de accion:
 bloqueo canales de sodio dependientes de voltaje (principal)
 Interactuan con calcio mediante señalización por proteínas G ( antinflamatorio)
Potencia (peso molecular, ↑ liposolubilidad, ↑ unión a proteinas)
 Incremento en la duración de la accion
 Disminucion del inicio del bloqueo
Epinefrina muy usada como coadyuvante
Efectos toxico
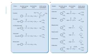
ESTRUCTURA ANESTÉSICOS
LOCALES
CONCENTRACIÓN ION HIDROGENO
EQUILIBRIO FORMA BASICA Y
CATIONICA CARGADA.
pKa: Concentración de ion
hidrogenión a la cual la
concentración de al en forma
básica es igual a la catiónica
cargada.
Ph, T°
POTENCIA Y PROPIEDADES
FISICOQUÍMICAS
MECANISMO DE ACCION:
ANESTÉSICOS LOCALES
ANATOMÍA FUNCIONAL DE LOS
AXONESImpulso eléctrico por VSGC
AL administrados cercanos a nervios periféricos y SNC (fibras
eferentes y aferentes)
Nervios
 Mielinizados (incremento de la velocidad conducción saltatoria) bloqueo de VSGC
en nódulos de ranvier
 No mielinizados (vainilla sencilla celula de schwan)
FISIOLOGIA DE LA CONDUCCION
NERVIOSADIFERENCIAS VOLTAJE 60-90mv
REPOSO RELATIVA/ IMPERMEABLE A Na+ Y K+
BOMBA Na+/K+ MANTIENE GRADIENTE
POTENCIAL DE ACCION DEL
NERVIO
METODO DE TRANSMISION DE SEÑALES
FASE REPOSO
FASE DESPOLARIZACION
FASE REPOLARIZACION
FASE REPOSO
POTENCIAL DE REPOSO
MOMENTO PREVIO A PRODUCCION DE POTENCIAL DE ACCION
MEMBRANA POLARIZADA
FASE DESPOLARIZACION
SUBITO AUMENTO DE PERMEABILIDAD AL Na+
ENTRADA ABUNDANTE Na+
POTENCIAL CAMBIA DE – 90 mv (+)
FASE REPOLARIZACION
LOS CANALES DE Na+ EMPIEZAN A CERRARSE
LOS CANALES DE K+ SE ABREN
DIFUSION RAPIDA DE IONES K+ AL EXTERIOR
SE REESTABLECE POTENCIAL NEGATIVO
MECANISMO DE ACCIÓN
ANESTÉSICOS LOCALES
Se depositan y entran las moléculas.
Atraviesan las membranas de los axones y
aceden al axoplasma.
Sitios de unión en canales de na+, inhiben
cambios de conformación.
• CON UNA MISMA CONCENTRACION LOS
MODERADAMENTE HIDROFOBICOS
ACTUAN MAS RAPIDO Q LOS
HIDROFILICOS O LOS MUY
HIDROFOBICOS.
• LOS MAS HIDROFOBICOS TIENEN
MAYOR POTENCIA POR LO QUE SE USAN
[ ] MAS BAJAS Y EL INICIO DE ACCION ES
MAS LENTO.
EFECTOS
ELECTROFISIOL
ÓGICOS
Bloqueo de VSGC 30-50%
(bloqueo tónico) aminas
secundarias
Membrana axonal
continuamente despolarizada
(Bloqueo fasico) aminas
terciarias
“Hipótesis del receptor
guardado”
BLOQUEO DE CANALES DE
NA
El dominio 4 es sensible a voltaje.
Al administrar un AL se une al
receptor (seg. 6 del dominio 4) y
se desencadenan eventos
electrofisiológicos:
 Disminuye la permeabilidad del Na.
 Aumenta el umbral de exitación .
 Disminuye la velocidad de depolarización
del potencial de acción.
 Disminuye la amplitud del potencial de
acción
 El período refractario relativo va a ser
mayor, es decir, va a haber más tiempo
entre un potencial y otro.
PUNT
O DE
UNIÓ
N
INTERACCIÓN CON SISTEMAS
RECEPTORES DE PROTEÍNAS G
Indirectamente activación de una enzima o un canal.
 Proteina G  PLC  PIP2 a IP3 y DAG  IP3 induce liberación de calcio intracelular
(identificado como mecanismo de accion de anestésico locales). Senalizacion
inflamatoria
 Inhibicion de GCPR en la subunidad Gq
 Disminucion respuesta inflamatoria
PROPIEDADES FISICOQUÍMICAS:
LIPOSOLUBILIDAD
Determinante primario de potencia y duración de accion de AL
Tambien puede ser captado por otro tipo de tejidos (secuestro)
 Puede estar relacionado con mayor duración.
Solubilidad lipídica (grupo aromatico) – penetración al axoplasma
 Ej cambio de grupo meti a butil en amina convierte mepivacaina en bupivacaina lo
hace 26 veces mas soluble
 Ej acrotmiento de 4 carbonos (butil) a 3 carbonos (propil) convierte la bupivacaina
en ropivacaina lo hace 4.5 veces menos liposoluble.
UNIÓN A PROTEÍNAS
Mayor peso molecular mayor unión a proteínas (baja afinidad alta
capacidad albumina) y ( alta afinidad baja capacidad AAG)
Altas concentraciones plasmáticas – Toxicidad
Menor a unión a proteínas si el pH disminuye
AAG disminuida en neonatos y embarazadas
Union alta a proteinas removido del nervio a una frecuencia menor –
incremento en la duración de accion.
Incremento unión a proteínas relacionado con liposolubilidad,
entonces mayor potencia y duración de accion
IONIZACIÓN
PK= pH en que las forma neutral lípido-soluble y la forma cargadas
(protonadas) hidrofilica.
A menor PK a un pH determinado es mayor la forma lípido-soluble.
Se agregar HCO3 para aumentar la forma lípido-soluble
Ionización no es absolutamente requerida para actividad de los
anestésicos locales. (aminas secundarias)
Aminas cuaternarias (QX-314 y QX-222) permanentemente cargadas,
escasa permeabilidad , pero potente inhibición de conductancia y
bloqueo de Na únicamente cuando son aplicados en el axoplasma.
QUIRALIDAD
Anestésicos locales forma racemica
Lidocaina aquiral
Enantiomeros de todos los
anestésicos igual propiedades
quimicas pero diferentes
farmacodinamicamente y
farmacocineticamente por
diferencias con el receptor
R-enantiomeros mayor potencia in
vitro bloqueo de canales de sodio
neuronales y cardiacos asi como
efectos sistémicos
S-enantiomeros (ej levobupivacaina)
eficacia equipotente pero menor
potencial sistémico de toxicidad.
FARMACOLOGIA CLINICA
TIPO BLOQUEO
PROCEDIMIENTO QUIRURGICO
SITUACION PSICOLOGICA DELPACIENTE
AMINOESTERES: Procaina, Clorprocaina, Tetracaina, Cocaina
AMINOAMIDAS: Lidocaina, Mepivacaina, Prilocaina, Bupivacaina,
Ropivacaina Y Etidocaina
AMIDAS
Mas estables
Degración hepática
No se metabolizan a
Acido p-aminobenzoico
ESTERES
Inestables en solución
Degradación plasmática
Producen el metabolito
Acido p-aminobenzoico
Las principales diferencias entre los dos grupos :
1. Estructura química
2. Lugar de Biotransformación
3. Potencial alérgico
POTENCIA
CARÁCTER HIDROFOBO
CLINICAMENTE NO TAN EXACTO
INICIO DE ACCION
DEPENDE DE
PROPIEDADES
FISICOQUIMICAS
DOSIS O
CONCENTRACION DEL
ANESTESICO LOCAL
DURACION DEL EFECTO
VARIABLE DE LOS AL
TIEMPO ANESTESICOS BLOQUEO BRAQUIAL
CORTO PROCAINA,
CLOPROCAINA
30-60 MIN
MODERADO LIDOCAINA,
MEPIVACAINA,
PRILOCAINA
LARGA TETRACAINA,
BUPIVACAINA,
ETIDOCAINA
10 HORAS
BLOQUEO DIFERENCIAL M/S
BUPIVACAINA
 0.125% ANTINOCICEPCION ADECUADA SIN INHIBICION MOTORA
PROFUNDA
 0.25% BLOQ SENSITIVO > MOTOR
ETIDOCAINA
 = [ ] BLOQ MOTOR = SENSITIVO
LONGITUD EXPUESTA, DIFUSION, BLOQUEO SELECTIVO
CANALES Na+, K+
FACTORES Q INFLUYEN EN
ACTIVIDAD DE LOS ANESTESICOS
LOCALESA mayor (DOSIS – VOLUMEN) menor latencia, mayor duración,
anestesia efectiva y duradera
VASOCONSTRICTORES (disminución tasa de absorción vascular)
LUGAR DE INYECCION (administración intratecal o subcutánea inicio
mas rápido y menor duración de la accion)
CARBONACION Y AJUSTE DE Ph (al aumento de pH, aumenta forma
libre no cargada de anestésico. Inicio mas rápido?? Controversial.
COMBINACIONES DE AL Y ADICION DE OPIOIDES : Para incrementar la
duración y densidad del bloqueo anestésico. Sitio de accion materia
gris y sustancia gelatinosa.
EMBARAZO (extensión y profundidad de anestesia epidural y raquídea
mayor que en la no embarazada)
FARMACOCINETICA - CONCENTRACION
DOSIS INYECTADA
TASA DE ABSORCION
TASA DE DISTRIBUCION
• VELOCIDAD DE BIOTRANSFORMACIÓN - EXCRECIÓN
ABSORCION
Sitio de la inyección ( interpleural > intercostal >
caudal> epidural> plexo braquial> ciático/femoral>
tejidos subcutáneo). Absorcion mayor en zona
vascularizada.
Dosis (a mayor dosis, mayor pico plasmático)
Adición de Vasoconstrictor (disminución de niveles
plasmáticos y disminución de la tasa de absorción)
Perfil farmacológico
DISTRIBUCIONPulmón
Tej. alta perfusión:
corazón, cerebro, riñones
Tej. perfusión relativa:
musculo, grasa
Unión a proteínas
BIOTRANSFORMACION Y
ELIMINACIONESTER son hidrolizados por pseudocolinesterasas a acido p-
aminobenzoico y dietilamino etanol ( clorprocaina la mas rápida,
tetracaina la mas lenta, procaina intermedia)
AMIDAS sufren degradación enzimática en el hígado X
Reacciones de N-dealquilación e hidrólisis. ( CYP1A2 y CYP3A4)
Excreción renal ( De fármaco no metabolizado es del 5%)
Unión a proteínas plasmáticas 55 % - 95% (Glicoproteína alpha 1
ácida)
La Vida Media de eliminación se prolonga en los pacientes
geriátricos y recién nacidos
Hepatopatías
TECNICAS ANESTESICAS
INFILTRACION, IV REGIONAL, BLOQ NERVIO PERIFERICO,
BLOQUEO NERVIOSO CENTRAL, TOPICA, TUMESCENTE,
DMINISTRACION SISTEMICA.
ANESTESIA POR INFILTRACION
BLOQUEOS NERVIOSOS
MENORES
BLOQUEOS NERVIOSOS
MAYORES
ANESTESIA EPIDURAL
ANESTESIA RAQUIDEA
TOXICIDAD
Mareo, Vértigo, dificultad para la acomodación ocular, acúfenos, adormecimiento en
boca y desorientación, Escalofríos, contracciones musculares.
Reacciones alérgicas (muy raras). Relacionadas con esteres (PABA)
Toxicidad tisular: a mayor concentración mayor toxicidad ( ej lidocaína al 5% o
tetracaina al 0.5%)
SIRT ( dolor y parestesias en región lumbar, nalgas y MII (síndrome resuleve en una
semana) mecanismo desconocido
Metahemoglobinemia: prilocaina (toluidina). Hierro ferroso a ferrico
CONVULSIONES
GENERALIZADAS
TONICO
CLONICAS
DEPRESION
RESPIRATORIA
PARO RESPIRATORIO
TOXICIDAD SNC
Depresion SNC. Dosis bajas
Dosis altas. Excitación  convulsiones
Bloqueo de las Vias Inhibitorias de la corteza cerebral
La Lidocaína es mas neurotóxica que la Bupivacaína (mas
toxica si menor unión a proteínas)
La hipercapnia y la acidosis disminuyen el umbral
convulsivo y la unión a proteínas plasmáticas.
TOXICIDAD SCV
Velocidad despolarización f.
purkinje y m. ventricular
Menos disponibilidad de canales
rápidos de sodio
Asociado a anestesicos mas
liposolules (bupivacaina,
etidocaina y ropivacaina)
La bupivacaína reduce la
despolarización en una mayor
proporción que la lidocaína.
Velocidad de recuperación lenta
con reestablecimiento incompleto
• Efecto inotrópico -.
• Los fármacos mas
potentes son mas
cardiotóxicos
• La Bupivacaína es mas
cardiotóxica que la
Lidocaína
• La bupivacaína produce
arritmias ventriculares :
F.V.
• La reanimación es
menos satisfactoria
COCAINA
Bloqueo del impulso nervioso y vasoconstricción local,
consecutiva a la inhibición en la recaptación
Noradrenalina
Alta toxicidad
Anestesia tópica
LIDOCAINA
Mayor uso
Prototipo de las amidas
Rápida, intensa
1% - 2% con y sin epinefrina
Dosis tóxica : 8 mg/Kg
Lidocaína sin epinefrina 5 mg/kg
Lidocaína con epinefrina 7 mg/Kg
BUPIVACAINA
Amida de larga duración
Bloqueo mas sensitivo que motor
Trabajo de parto y posoperatorio
Es mas cardiotóxica que la lidocaína
Arritmias ventriculares y depresión miocárdica
Dosis tóxicas con epinefrina: 4 mg/kg
Dosis tóxicas sin epinefrina: 3 mg/Kg
CLORPROCAINA
Derivado clorado de la procaína
Inicio rápido de acción con duración corta
Semidesintegración plasmática en 25 seg.
Toxicidad reducida
Metabisulfito de sodio : neurotoxicidad
No se recomienda intraraquidea , ni epidural
ETIDOCAINA
Amida de acción prolongada
Produce bloqueo motor
Limitado uso en trabajo de parto y POP
Cirugías que requieran relajación de M. Estriado
Cardiotoxicidad similar a la Bupivacaína
MEPIVACAINA
Amida de acción intermedia
Tóxicidad neonatal . No en cirugía obstétrica
No es eficaz como anestésico tópico
PRILOCAINA
Amida de acción intermedia
Origina poca vasodilatación
Produce Metahemoglobinemia ( 8mg/Kg)
Anillo aromático a O-Toluidina, responsables de la oxidación de la Hb a
metahemoglobina
No en cirugía obstétrica
ROPIVACAINAAminoetilamida
Anestésico local de larga duración , con menor
cardiotoxicidad
Menos potente que la Bupivacaína
Respeta aún mas las fibras de conducción motora
Anestesia Obstétrica
PROCAINA
Primer anestésico local sintético
Baja potencia, tiempo de inicio prolongado y breve duración
Baja toxicidad .
TETRACAINA
Larga duración
Potencia elevada
Se metaboliza con lentitud por lo que puede mostrar toxicidad
sistémica mayor.
Anestesia raquídea - tópica
No en bloqueos periféricos, desde la aparición de la bupivacaína
Anestesicos locales

Anestesicos locales

  • 1.
  • 2.
    ANESTÉSICOS LOCALES: INTRODUCCIÓN Utilizados paratratar el dolor agudo perioperatorio Dx y Tto: Dolor relacionado con cáncer, crónico e inflamatorio. Aminoesteres (met. Plasmatico) o aminoamidas (met. Hepatico) Mecanismo de accion:  bloqueo canales de sodio dependientes de voltaje (principal)  Interactuan con calcio mediante señalización por proteínas G ( antinflamatorio) Potencia (peso molecular, ↑ liposolubilidad, ↑ unión a proteinas)  Incremento en la duración de la accion  Disminucion del inicio del bloqueo Epinefrina muy usada como coadyuvante Efectos toxico
  • 3.
  • 5.
    CONCENTRACIÓN ION HIDROGENO EQUILIBRIOFORMA BASICA Y CATIONICA CARGADA. pKa: Concentración de ion hidrogenión a la cual la concentración de al en forma básica es igual a la catiónica cargada. Ph, T°
  • 6.
  • 7.
    MECANISMO DE ACCION: ANESTÉSICOSLOCALES ANATOMÍA FUNCIONAL DE LOS AXONESImpulso eléctrico por VSGC AL administrados cercanos a nervios periféricos y SNC (fibras eferentes y aferentes) Nervios  Mielinizados (incremento de la velocidad conducción saltatoria) bloqueo de VSGC en nódulos de ranvier  No mielinizados (vainilla sencilla celula de schwan)
  • 11.
    FISIOLOGIA DE LACONDUCCION NERVIOSADIFERENCIAS VOLTAJE 60-90mv REPOSO RELATIVA/ IMPERMEABLE A Na+ Y K+ BOMBA Na+/K+ MANTIENE GRADIENTE
  • 12.
    POTENCIAL DE ACCIONDEL NERVIO METODO DE TRANSMISION DE SEÑALES FASE REPOSO FASE DESPOLARIZACION FASE REPOLARIZACION
  • 13.
    FASE REPOSO POTENCIAL DEREPOSO MOMENTO PREVIO A PRODUCCION DE POTENCIAL DE ACCION MEMBRANA POLARIZADA
  • 14.
    FASE DESPOLARIZACION SUBITO AUMENTODE PERMEABILIDAD AL Na+ ENTRADA ABUNDANTE Na+ POTENCIAL CAMBIA DE – 90 mv (+)
  • 15.
    FASE REPOLARIZACION LOS CANALESDE Na+ EMPIEZAN A CERRARSE LOS CANALES DE K+ SE ABREN DIFUSION RAPIDA DE IONES K+ AL EXTERIOR SE REESTABLECE POTENCIAL NEGATIVO
  • 17.
    MECANISMO DE ACCIÓN ANESTÉSICOSLOCALES Se depositan y entran las moléculas. Atraviesan las membranas de los axones y aceden al axoplasma. Sitios de unión en canales de na+, inhiben cambios de conformación. • CON UNA MISMA CONCENTRACION LOS MODERADAMENTE HIDROFOBICOS ACTUAN MAS RAPIDO Q LOS HIDROFILICOS O LOS MUY HIDROFOBICOS. • LOS MAS HIDROFOBICOS TIENEN MAYOR POTENCIA POR LO QUE SE USAN [ ] MAS BAJAS Y EL INICIO DE ACCION ES MAS LENTO.
  • 18.
    EFECTOS ELECTROFISIOL ÓGICOS Bloqueo de VSGC30-50% (bloqueo tónico) aminas secundarias Membrana axonal continuamente despolarizada (Bloqueo fasico) aminas terciarias “Hipótesis del receptor guardado”
  • 19.
    BLOQUEO DE CANALESDE NA El dominio 4 es sensible a voltaje. Al administrar un AL se une al receptor (seg. 6 del dominio 4) y se desencadenan eventos electrofisiológicos:  Disminuye la permeabilidad del Na.  Aumenta el umbral de exitación .  Disminuye la velocidad de depolarización del potencial de acción.  Disminuye la amplitud del potencial de acción  El período refractario relativo va a ser mayor, es decir, va a haber más tiempo entre un potencial y otro.
  • 20.
  • 21.
    INTERACCIÓN CON SISTEMAS RECEPTORESDE PROTEÍNAS G Indirectamente activación de una enzima o un canal.  Proteina G  PLC  PIP2 a IP3 y DAG  IP3 induce liberación de calcio intracelular (identificado como mecanismo de accion de anestésico locales). Senalizacion inflamatoria  Inhibicion de GCPR en la subunidad Gq  Disminucion respuesta inflamatoria
  • 22.
    PROPIEDADES FISICOQUÍMICAS: LIPOSOLUBILIDAD Determinante primariode potencia y duración de accion de AL Tambien puede ser captado por otro tipo de tejidos (secuestro)  Puede estar relacionado con mayor duración. Solubilidad lipídica (grupo aromatico) – penetración al axoplasma  Ej cambio de grupo meti a butil en amina convierte mepivacaina en bupivacaina lo hace 26 veces mas soluble  Ej acrotmiento de 4 carbonos (butil) a 3 carbonos (propil) convierte la bupivacaina en ropivacaina lo hace 4.5 veces menos liposoluble.
  • 23.
    UNIÓN A PROTEÍNAS Mayorpeso molecular mayor unión a proteínas (baja afinidad alta capacidad albumina) y ( alta afinidad baja capacidad AAG) Altas concentraciones plasmáticas – Toxicidad Menor a unión a proteínas si el pH disminuye AAG disminuida en neonatos y embarazadas Union alta a proteinas removido del nervio a una frecuencia menor – incremento en la duración de accion. Incremento unión a proteínas relacionado con liposolubilidad, entonces mayor potencia y duración de accion
  • 24.
    IONIZACIÓN PK= pH enque las forma neutral lípido-soluble y la forma cargadas (protonadas) hidrofilica. A menor PK a un pH determinado es mayor la forma lípido-soluble. Se agregar HCO3 para aumentar la forma lípido-soluble Ionización no es absolutamente requerida para actividad de los anestésicos locales. (aminas secundarias) Aminas cuaternarias (QX-314 y QX-222) permanentemente cargadas, escasa permeabilidad , pero potente inhibición de conductancia y bloqueo de Na únicamente cuando son aplicados en el axoplasma.
  • 25.
    QUIRALIDAD Anestésicos locales formaracemica Lidocaina aquiral Enantiomeros de todos los anestésicos igual propiedades quimicas pero diferentes farmacodinamicamente y farmacocineticamente por diferencias con el receptor R-enantiomeros mayor potencia in vitro bloqueo de canales de sodio neuronales y cardiacos asi como efectos sistémicos S-enantiomeros (ej levobupivacaina) eficacia equipotente pero menor potencial sistémico de toxicidad.
  • 26.
    FARMACOLOGIA CLINICA TIPO BLOQUEO PROCEDIMIENTOQUIRURGICO SITUACION PSICOLOGICA DELPACIENTE AMINOESTERES: Procaina, Clorprocaina, Tetracaina, Cocaina AMINOAMIDAS: Lidocaina, Mepivacaina, Prilocaina, Bupivacaina, Ropivacaina Y Etidocaina
  • 27.
    AMIDAS Mas estables Degración hepática Nose metabolizan a Acido p-aminobenzoico ESTERES Inestables en solución Degradación plasmática Producen el metabolito Acido p-aminobenzoico Las principales diferencias entre los dos grupos : 1. Estructura química 2. Lugar de Biotransformación 3. Potencial alérgico
  • 28.
  • 29.
    INICIO DE ACCION DEPENDEDE PROPIEDADES FISICOQUIMICAS DOSIS O CONCENTRACION DEL ANESTESICO LOCAL
  • 30.
    DURACION DEL EFECTO VARIABLEDE LOS AL TIEMPO ANESTESICOS BLOQUEO BRAQUIAL CORTO PROCAINA, CLOPROCAINA 30-60 MIN MODERADO LIDOCAINA, MEPIVACAINA, PRILOCAINA LARGA TETRACAINA, BUPIVACAINA, ETIDOCAINA 10 HORAS
  • 31.
    BLOQUEO DIFERENCIAL M/S BUPIVACAINA 0.125% ANTINOCICEPCION ADECUADA SIN INHIBICION MOTORA PROFUNDA  0.25% BLOQ SENSITIVO > MOTOR ETIDOCAINA  = [ ] BLOQ MOTOR = SENSITIVO LONGITUD EXPUESTA, DIFUSION, BLOQUEO SELECTIVO CANALES Na+, K+
  • 32.
    FACTORES Q INFLUYENEN ACTIVIDAD DE LOS ANESTESICOS LOCALESA mayor (DOSIS – VOLUMEN) menor latencia, mayor duración, anestesia efectiva y duradera VASOCONSTRICTORES (disminución tasa de absorción vascular) LUGAR DE INYECCION (administración intratecal o subcutánea inicio mas rápido y menor duración de la accion) CARBONACION Y AJUSTE DE Ph (al aumento de pH, aumenta forma libre no cargada de anestésico. Inicio mas rápido?? Controversial. COMBINACIONES DE AL Y ADICION DE OPIOIDES : Para incrementar la duración y densidad del bloqueo anestésico. Sitio de accion materia gris y sustancia gelatinosa. EMBARAZO (extensión y profundidad de anestesia epidural y raquídea mayor que en la no embarazada)
  • 33.
    FARMACOCINETICA - CONCENTRACION DOSISINYECTADA TASA DE ABSORCION TASA DE DISTRIBUCION • VELOCIDAD DE BIOTRANSFORMACIÓN - EXCRECIÓN
  • 34.
    ABSORCION Sitio de lainyección ( interpleural > intercostal > caudal> epidural> plexo braquial> ciático/femoral> tejidos subcutáneo). Absorcion mayor en zona vascularizada. Dosis (a mayor dosis, mayor pico plasmático) Adición de Vasoconstrictor (disminución de niveles plasmáticos y disminución de la tasa de absorción) Perfil farmacológico
  • 35.
    DISTRIBUCIONPulmón Tej. alta perfusión: corazón,cerebro, riñones Tej. perfusión relativa: musculo, grasa Unión a proteínas
  • 36.
    BIOTRANSFORMACION Y ELIMINACIONESTER sonhidrolizados por pseudocolinesterasas a acido p- aminobenzoico y dietilamino etanol ( clorprocaina la mas rápida, tetracaina la mas lenta, procaina intermedia) AMIDAS sufren degradación enzimática en el hígado X Reacciones de N-dealquilación e hidrólisis. ( CYP1A2 y CYP3A4) Excreción renal ( De fármaco no metabolizado es del 5%) Unión a proteínas plasmáticas 55 % - 95% (Glicoproteína alpha 1 ácida) La Vida Media de eliminación se prolonga en los pacientes geriátricos y recién nacidos Hepatopatías
  • 37.
    TECNICAS ANESTESICAS INFILTRACION, IVREGIONAL, BLOQ NERVIO PERIFERICO, BLOQUEO NERVIOSO CENTRAL, TOPICA, TUMESCENTE, DMINISTRACION SISTEMICA.
  • 38.
  • 39.
  • 40.
  • 41.
  • 42.
  • 43.
    TOXICIDAD Mareo, Vértigo, dificultadpara la acomodación ocular, acúfenos, adormecimiento en boca y desorientación, Escalofríos, contracciones musculares. Reacciones alérgicas (muy raras). Relacionadas con esteres (PABA) Toxicidad tisular: a mayor concentración mayor toxicidad ( ej lidocaína al 5% o tetracaina al 0.5%) SIRT ( dolor y parestesias en región lumbar, nalgas y MII (síndrome resuleve en una semana) mecanismo desconocido Metahemoglobinemia: prilocaina (toluidina). Hierro ferroso a ferrico CONVULSIONES GENERALIZADAS TONICO CLONICAS DEPRESION RESPIRATORIA PARO RESPIRATORIO
  • 44.
    TOXICIDAD SNC Depresion SNC.Dosis bajas Dosis altas. Excitación  convulsiones Bloqueo de las Vias Inhibitorias de la corteza cerebral La Lidocaína es mas neurotóxica que la Bupivacaína (mas toxica si menor unión a proteínas) La hipercapnia y la acidosis disminuyen el umbral convulsivo y la unión a proteínas plasmáticas.
  • 45.
    TOXICIDAD SCV Velocidad despolarizaciónf. purkinje y m. ventricular Menos disponibilidad de canales rápidos de sodio Asociado a anestesicos mas liposolules (bupivacaina, etidocaina y ropivacaina) La bupivacaína reduce la despolarización en una mayor proporción que la lidocaína. Velocidad de recuperación lenta con reestablecimiento incompleto • Efecto inotrópico -. • Los fármacos mas potentes son mas cardiotóxicos • La Bupivacaína es mas cardiotóxica que la Lidocaína • La bupivacaína produce arritmias ventriculares : F.V. • La reanimación es menos satisfactoria
  • 47.
    COCAINA Bloqueo del impulsonervioso y vasoconstricción local, consecutiva a la inhibición en la recaptación Noradrenalina Alta toxicidad Anestesia tópica
  • 48.
    LIDOCAINA Mayor uso Prototipo delas amidas Rápida, intensa 1% - 2% con y sin epinefrina Dosis tóxica : 8 mg/Kg Lidocaína sin epinefrina 5 mg/kg Lidocaína con epinefrina 7 mg/Kg
  • 49.
    BUPIVACAINA Amida de largaduración Bloqueo mas sensitivo que motor Trabajo de parto y posoperatorio Es mas cardiotóxica que la lidocaína Arritmias ventriculares y depresión miocárdica Dosis tóxicas con epinefrina: 4 mg/kg Dosis tóxicas sin epinefrina: 3 mg/Kg
  • 50.
    CLORPROCAINA Derivado clorado dela procaína Inicio rápido de acción con duración corta Semidesintegración plasmática en 25 seg. Toxicidad reducida Metabisulfito de sodio : neurotoxicidad No se recomienda intraraquidea , ni epidural
  • 51.
    ETIDOCAINA Amida de acciónprolongada Produce bloqueo motor Limitado uso en trabajo de parto y POP Cirugías que requieran relajación de M. Estriado Cardiotoxicidad similar a la Bupivacaína
  • 52.
    MEPIVACAINA Amida de acciónintermedia Tóxicidad neonatal . No en cirugía obstétrica No es eficaz como anestésico tópico
  • 53.
    PRILOCAINA Amida de acciónintermedia Origina poca vasodilatación Produce Metahemoglobinemia ( 8mg/Kg) Anillo aromático a O-Toluidina, responsables de la oxidación de la Hb a metahemoglobina No en cirugía obstétrica
  • 54.
    ROPIVACAINAAminoetilamida Anestésico local delarga duración , con menor cardiotoxicidad Menos potente que la Bupivacaína Respeta aún mas las fibras de conducción motora Anestesia Obstétrica
  • 55.
    PROCAINA Primer anestésico localsintético Baja potencia, tiempo de inicio prolongado y breve duración Baja toxicidad .
  • 56.
    TETRACAINA Larga duración Potencia elevada Semetaboliza con lentitud por lo que puede mostrar toxicidad sistémica mayor. Anestesia raquídea - tópica No en bloqueos periféricos, desde la aparición de la bupivacaína