ESTUDIO DE MERCADO
NALSANI S.A. – TOTTO TÚ

JORGE SANDINO
IVAN D. RIOS

INVESTIGACIÓN DE MERCADOS
HAIBER GUSTAVO AGUDELO CASANOVA

UNIVERSIDAD SAN BUENAVENTURA CALI
ADMINISTRACIÓN DE NEGOCIOS
VI SEMESTRE
AGOSTO DE 2013

1
TABLA DE CONTENIDO

Pág.
INTRODUCCION
1. INVESTIGACION EXPLORATORIA
1.1 PRODUCTO: MARCA TOTTO TU
1.2 CONCEPTO TWEENS
1.2.1 Para Totto Tu
1.2.2 Para el Cliente
1.2.3 Características del mercado
1.2.4 Segmento del Mercado
1.3 COLEGIO
1.4 FAMILIA
1.5 AMIGOS
2. METODOLOGIA CIENTIFICA DE LA INVESTIGACION
CUALITATIVA (NALSANI S.A. – TIENDAS TOTTO TU)
2.1 PLANTEAMIENTO DEL PROBLEMA
2.2 FORMULACION DEL PROBLEMA
2.3 OBJETIVO GENERAL
2.4 OBJETIVOS ESPECIFICOS
3. DINAMICA DEL FOCUS GROUP
4. CONCLUSIONES FOCUS GROUP
5. INVESTIGACION CUANTITATIVA
22
5.1 PLANTEAMIENTO DEL PROBLEMA
5.2 FORMULACION DEL PROBLEMA
6 OBJETIVOS
6.1 OBJETIVO GENERAL
6.2 OBJETIVOS ESPECIFICOS
7 TAMAÑO DE MUESTRA
7.1 DETERMINACION DE TAMAÑO DE MUESTRA
7.1.1 FORMULA PARA HALLAR NUMERO DE ENCUESTAS
7.1.2 POBLACION DE ÉXITO Y FRACASO
7.1.3 POBLACION
7.1.4 NIVEL DE CONFIANZA
7.1.5 MARGEN DE ERROR
8 FORMATO DE ENCUESTA
9 MAPA ESTRATEGICO
9.1 CONCLUSIONES
9.2 RECOMENDACIONES

2

5
6
6
7
10
10
10
11
11
12
12
17
17
18
18
18
20
21
22
22
23
23
23
24
24
24
24
24
25
25
26 Y 27
43
43
43
LISTA DE GRAFICOS

Pág.
Gráfica 1 Recordación de las marcas en los niños.
Gráfica 2 Ciclo de servicio de Totto tú.
Gráfico 3 Cobertura geográfica de Totto tú.
Gráfico 4 Marcas de la competencia.
Grafico 5 Resultados de encuestas
Grafico 5.1 Es consumidor de maletines?
Grafico 5.2 Edad
Grafico 5.3 Genero
Grafico 5.4 Estrato
Grafico 5.5 Cuando adquieres un maletín para tu uso, que es lo
Más relevante?
Grafico 5.6 Cual de las siguientes marcas es la preferida, para
Comprar un maletín?
Grafico 5.7 Con qué frecuencia compra maletines?
Grafico 5.8 Por qué motivo compra maletín?
Grafico 5.9 Conoces la marca Totto tú?
Grafico 6 Que le gusta de la marca Totto tú?
Grafico 6.1 Conoces donde conseguir productos de la marca
Totto tú, en Cali?
Grafico 6.2 Como te gustaría saber más de la marca Totto tú?

3

6
9
13
14
28
28
29
30
31
32 y 33
34 y 35
36
37
38
39 y 40
41
42
LISTA DE FOTOS

Pág.
Foto 1 Almacén Chipichape Cali
Foto 2 Totto tú colección 2011-1
Foto 3 Totto tú colección 2011-2
Foto 4Partners Totto tú
Foto 5 Descuentos de Totto tú

8
8
8
8
10

4
INTRODUCCION

Esta exploración de mercado se inicia con la empresa Nalsani s.a y su producto
TOTTO TÚ, el cual nos servirá para adquirir más conocimiento a nivel, tanto
personal como profesional, ya que es un gana gana, para nosotros, como
estudiantes en nuestro aprendizaje y para la empresa en conocer los baches que
puedan presentar con dicha marca en el mercado, a través de nuestras
sugerencias y recomendaciones que le podamos brindar en este estudio de
mercado.
Con esta investigación nos ayudara a conocer más a sus clientes actuales, como
lo son los tweens. De manera que al saber cuáles son los gustos y preferencias de
estos chicos nos llevara a aumentar sus ventas y a mantener la satisfacción de
los clientes para lograr su preferencia.

5
1. INVESTIGACIÓN EXPLORATORIA

1.1 PRODUCTO: MARCA TOTTO TÚ

La Marca TOTTO, lanzo al mercado una submarca llamada TOTTO TÚ, su
principal objetivo es llevar una línea secuencial del consumidor.
Apropiarnos de los jóvenes pre-adolescentes introduciéndolos al concepto integral
de negocio Totto (ropa, maletines y accesorios) asegurando así la permanencia
con la marca durante su ciclo de vida.
Lograr ser parte de la vida de los niños, estableciéndonos como el vínculo de
relación entre ellos, destacándonos como la marca más cool, con la que se
pueden identificar.
Enfocar el diseño del portafolio a estratos socioeconómicos 5 y 6; en donde su
precio le dará carácter de multiestrato (desde el estrato 2 al 6).
La marca nace desde un estudio donde el potencial de los niños es la gran
recordación en la marca TOTTO…. Porque no generar una marca enfocados en
este gran mercado?
Grafica 1 Recordación de las marcas en los niños

Fuente: Revista Dinero

6
A. Análisis de la demanda
1 Características y comportamiento del comprador:

1.2 CONCEPTO TWEENS
Se ha originado un concepto en la sociedad moderna, llamado Tweens, proviene
de la palabra anglosajona “between” que significa entre dos, se aplica a una
categoría de jóvenes cuyas edades están entre los 7 y 14 años.
Son niños que viven como adolecentes, tienen una creciente preocupación por la
apariencia física y mucha prisa por crecer. Sus modelos de referencia son de 3 o 4
años más que ellos.
Buscan:




Aceptación Social (Ser incluidos)
Popularidad (Ser referentes)
Conexión (Estar en todo, no sentirse excluidos)

Hacen parte de la Generación Z, personas que nacieron después de1995 y para
entonces la tecnología era gobernante del mundo. Esta descendencia ha
adoptado la tecnología a primera instancia, lo que ha generado una dependencia
en gran medida de ella. Son más inclinados al mundo virtual.
La demanda de productos Totto tu, se da principalmente por niños, pre
adolecentes desde los 5 a los 14 años, buscan productos diferentes que los haga
sentir únicos. Estos productos se adquieren en puntos de venta directos y en
modelo de franquicias. En Cali hay 3 tiendas Totto tu ubicadas en Chipichape,
Unicentro y Único.

7
Foto 1: Almacén Chipichape Cali

Foto 2: Totto tú colección 2011-1

La compra se realiza según la necesidad del consumidor, el 60% de la facturación
la realizan con un acompañante adulto (papa, mama, tío, hermano) y el 40% cada
tweens toma la decisión de su compra.
La marca tiene actividades y temporadas específicas a lo largo de su año.







Temporada Escolar Calendario A (Enero – Febrero).
Temporada de Descuentos Totto TU LOCO (Marzo - Octubre).
Día del Niño (Abril).
Temporada Vacaciones (Junio)
Temporada Escolar Calendario B (Julio – Agosto).
Temporada Navideña (Diciembre).

Los tweens compran varios productos que hagan que se vean y se sientan
diferentes, los productos de la marca deben ser muy innovadores. La marca
cuenta con un portafolio muy amplio en sus tres unidades de negocio, pero donde
quieren atraer más al consumidor tweens en su negocio de ropa, allí está la
diferencia contra las demás marcas de este segmento.
Foto 3: Totto tú colección 2011-2

Foto 4:Partners Totto tú

8
La idea de la marca es vender 3 artículos por factura, en este momento este
indicador esta en 1.8 artículos por factura.
En el futuro la marca Totto Tu, estará generando total innovación en 2
colecciones por año con entradas diferentes de producto cada mes y medio
aproximadamente. Las tendencias están muy marcadas y Totto Tu quiere imponer
moda logrando una recordación en la mente del consumidor.
La satisfacción de los clientes se mide de dos formas:




Línea Servicio al Cliente, donde cada cliente puede ingresar bien sea
telefónicamente por la línea 01800510203 o por la pagina www.tottotu.com
, donde los clientes pueden dejar todas sus PQR. Si hay alguna
inconformidad de algún cliente o un mal servicio de inmediato el área de
este departamento se comunica con el cliente, y también envían el caso al
jefe de zona de la tienda para realizar retroalimentación de lo sucedido.
Cliente Incognito: Trimestralmente servicio al cliente nos da los resultados
por punto de venta de cliente incognito, algunos con video para su análisis y
mejora de situaciones.

Hoy se está manejando esta figura de ciclo de servicio donde todos están
alineados para trabajar en los puntos de v.
Gráfico 2: Ciclo de servicio de Totto tú.

Fuente: www.Tottotu.com
La marca Totto Tu, cuenta con un plan CMR (Programa de Fidelización)
Como lo hacen: Impactando al cliente en momentos claves de su ciclo de vida con
el producto.

9
Foto 5: Descuentos de Totto tú

Los objetivos principales de este programa:
1.2.1 Para Totto TÚ.






Captura de Clientes.
Base de datos, clara, completa y actualizada.
Aumentar la rentabilidad del cliente.
Crear vínculos entre la marca y sus clientes, fundamentadas en el
conocimiento de los mismos.
Lograr la recompra y retención de los clientes actuales.

1.2.2 Para el Cliente:







Sentido de pertenencia como cliente especial de la marca.
Vinculo emocional (días especiales)
Comunicación personalizada (me conocen)
Gozar de beneficios (cumpleaños, autorredimibles)
Prioridad de información de la marca.
Invitación a eventos.

1.2.3 Características del mercado:
Según estadísticas del DANE esta es la población que hay para el mercado
objetivo de Totto TÚ.

10
Años / Sexo

Hombres

Mujeres

0–4

2.479.401

2.373.072

5–9

2.445.833

2.340.633

10 – 14

2.428.681

2.326.775

TOTAL

7.350.915

7.040.480

La marca Totto TÚ, ve una gran oportunidad en ofrecimiento de su marca a este
mercado objetivo. Por tal motivo tiene un gran portafolio tanto masculino como
femenino para suplir esta necesidad.

1.2.4 Segmento del Mercado. A partir de la exploración sobre el estilo de vida de
los niños y niñas entre los 8 y 12 años de edad, se destacan como ENTORNOS
MAS RELEVANTES:

Segmento de 7 a 14 Años (Denominados Twenns)

COLEGIO
Conocimiento y
diversión

FAMILIA
Seguridad emocional e
inicio de la autonomía

AMIGOS
Amistad/Compartir y
comienzo de la Identidad
de Grupo

1.3 COLEGIO
En esta etapa aparece un importante desarrollo a nivel intelectual – Despertando
interés por el conocimiento.
Cobra significado la valoración de amigos y profesores acorde a sus capacidades
y habilidades
Disminuye la idealización de los profesores y asume una actitud crítica hacia los
mismos. Valorando la educación dinámica/lúdica y no monótona.
11
Es el medio que le facilita su permanente necesidad de actividad física, juego y
diversión.
1.4 FAMILIA
Los padres son la principal fuente de afecto y seguridad, existiendo aun
dependencia de ellos, sin embargo en esta etapa se percibe el COMIENZO DE LA
AUTONOMIA.
Comienza a ser capaz de desligarse de sus opiniones y va asumiendo su
individualidad.
Inicia la conciencia de su personalidad y aspecto exterior (apariencia, ropa y
peinado).
Sugiere criterios propios de independencia de gustos y preferencias de los padres.

1.5 AMIGOS
Ocupan un aspecto importante en su vida y cada vez se va generando más
dependencia de ellos, cuando se van acercando al pre adolescencia. (11-12-13
Años)
Disfrutan el tiempo libre y comparten los mismos gustos e intereses
Toman valor las expresiones de amistad y solidaridad.
Comienzan a conformar grupos del mismo sexo, la competencia
Totto Tu busca su expansión a un mediano plazo, en este momento ya cuenta con
los siguientes puntos de ventas directos.

12
Grafico 3 Cobertura geográfica de Totto tú

Fuente: www.tottotu.com
Quiere fortalecer su presencia en tanto en Colombia como en el exterior por medio
de negocio de tiendas propias y franquicias.

B Competencia
1 ¿Quiénes son los competidores?
La competencia de Totto Tú está dividida en dos campos, uno es el de los
maletines - accesorios y el otro es el de la ropa.

Maletines – Accesorios




Rocka
JanSport
Adidas
13


Niké

Ropa








Off Corss
Epk
Bimbi
Yoyo
Tomaticos
Marcas Propias de Almacenes de Cadena (People - Wk)
Ropa tiendas Falabella

Gráfico 4: Marcas de la competencia.

Marca

OffCorss

Epk

Fortaleza

Debilidades

Tiene la participación En sus tiendas venden
más grande del mercado productos para bebes,
haciendo que los tweens
no sienten una tienda
para ellos
Bueno precios,
competitivos,
promociones

14

muy Falta innovación en sus
prendas su segmento
está definido para bebes
permanentes
con y niños hasta los 4 años
prendas desde $29.900

Yoyo

Presencia
fuerte Pocas tiendas, no se
únicamente
regional, proyecta una marca
teniendo una muy buena global.
participación
en
el
mercado de las niñas ya
que son exclusivos.

Tiendas Falabella

Muy buena opción de Calidad de los productos
prendas, precios muy
favorables para todo tipo
de
segmento,
colecciones exclusivas

Entorno interno
Con el ánimo de brindarle un mejor servicio y de acuerdo con el compromiso con
la protección de datos personales, Nalsani S.A sociedad legalmente constituida y
su marca Totto y Totto tú, dando cumplimiento con la Ley 1581 de 2012 “Ley de
protección de datos personales” y el Decreto 1377 de 2013, informa que es
responsable de la administración de los datos personales de sus clientes, incluidos
aquellos de alta sensibilidad, los cuales han sido recolectados a través de distintas
actividades comerciales y de mercadeo que se llevan a cabo en tiendas, medios
electrónicos, redes sociales y otros espacios donde la marca hace presencia.
Según nuestras políticas de tratamiento de datos personales, los mecanismos a
través de los cuales hacemos uso de éstos son seguros y confidenciales, pues
contamos con los medios tecnológicos idóneos para asegurar que sean
almacenados de manera tal que se impida el acceso indeseado por parte de
terceras personas, y en ese mismo orden aseguramos la confidencialidad de los
mismos.
Nalsani solicita su autorización para seguir con la administración de sus datos
personales almacenados en nuestra base de datos con los siguientes propósitos:
Ofrecerle información sobre nuestros diferentes productos.
Comunicarles actividades comerciales y de mercadeo encaminadas a
aumentar la fidelidad de nuestros clientes.
Realizar evaluaciones de servicio al cliente.
Utilizar la información como insumo en estudios de análisis de mercado

15
Si desea que sus datos sean eliminados de nuestra base de datos, lo invitamos a
comunicarlo de forma expresa en un término no superior a (30) días hábiles a
partir de la fecha de envío de esta comunicación a través de nuestro correo
electrónico info@totto.com. El hecho de la no comunicación explicita del titular de
los datos en el término establecido, autoriza a Nalsani continuar con la
administración de estos datos personales.
Le recordamos que de acuerdo con la Ley 1581 de 2012 “Ley de protección de
datos personales”, como cliente tiene derecho a conocer, actualizar, rectificar o
suprimir la información con la que de usted contamos en nuestra base de datos;
comunicándose de manera escrita al correo electrónico info@totto.com o
telefónicamente a nuestras líneas de atención al cliente en Bogotá 6078381 o
018000510203 para el resto del país.

16
2. METODOLOGÍA CIENTÍFICA DE LA INVESTIGACIÓN CUALITATIVA
NALSANI S.A. – TIENDAS TOTTO TÚ

2.1 PLANTEAMIENTO DEL PROBLEMA
Nalsani S.A (Empresa Multinacional con más de 20 años en el mercado, dedicada
a la confección y distribución de ropa, maletines y accesorios). Nació en 1987 con
la compra de una fábrica de artículos de cuero marca LAND.
Se tomó la decisión más importante: bautizar a la nueva empresa con el nombre
TOTTO, en honor de Toto, una emblemática banda de rock de los años ochenta y
se inicia la primera campaña publicitaria con el eslogan “me gusta mi Totto porque
le cabe Totto”
Tras varios años de realizar colecciones que incluyen productos para niños y
niñas, teniendo una amplia acogida dentro de este público, Totto crea en el año
2008 una extensión de marca dirigida y enfocada a estos mismos, en edades de 8
y 12 años. Llamada TOTTO Tú, un estilo único y diferente, con tres líneas de
negocio: ropa, maletines y accesorios. Los cuales hacen gala de estilos
vanguardistas, modernos y únicos, pero sin olvidar lo estético, lo práctico y lo
funcional.
La nueva colección se sustenta en el mundo de los tweens, inspirada en una vida
tranquila y sin complicaciones, una vida en la que se disfruta de la naturaleza y las
cosas sencillas; ideales para los tweens frescos, ligeros y cómodos que buscan
siempre la practicidad y quieren sentirse libres.
En Cali se inició operación en el Centro Comercial Unicentro en el pasillo 4
(actualmente ubicada en el mismo lugar), posteriormente en diciembre de 2009 se
realiza la apertura de la segunda tienda ubicada en Centro Comercial Chipichape
Bodega 5. (Actualmente ubicada en este mismo lugar).

17
La marca ha tenido una muy buena aceptación al público tweens en las principales
ciudades como Bogotá, Medellín, Eje Cafetero en Colombia y en el exterior como
franquicia en Panamá, Ecuador, Bolivia, Aruba entre otros…
A pesar de lo mencionado anteriormente, la marca Totto Tu en la ciudad de Cali
no ha llenado las expectativas de la compañía. Tiene baja recordación del
segmento definido.
Los clientes llegan referidos por la marca Totto e inclusive nos cuentan los
administradores de las tiendas que lleguen pensando que es una tienda de Totto.
Las ventas que se tienen son aceptables, pero no al nivel que se desea
comparada con tiendas similares ubicadas en otras ciudades. Los crecimientos
que presentan son muy bajitos, inclusive presentando decrecimientos en el último
año.

2.2 FORMULACIÓN DEL PROBLEMA
¿Qué tan enterados están los tweens de la ciudad de Cali, de la marca Totto Tu?

2.3 OBJETIVO GENERAL
Identificar el nivel de conocimiento que tiene los twenns en la ciudad de Cali de la
marca totto tú.
2.4 OBJETIVOS ESPECIFICOS
Identificar las principales causas del NO conocimiento de la marca en el
segmento de Tweens
Identificar las actividades que les gusta a los tweens.
Conocer las principales causas de la insatisfacción de la marca Totto Tu,
les gusta? Que les atrae de la marca?
18
Analizar el comportamiento de los tweens, donde compran, cuáles son
sus marcas preferidas. Que buscan cuando eligen una marca.
Analizar si los puntos de venta actuales de Totto Tu, están en los
adecuados dentro de los centros comerciales
Determinar las posibles soluciones de las ventas bajas, y las
oportunidades que tiene el mercado potencial de Cali para los tweens

19
3. DINÁMICA DEL FOCUS GROUP

Se realizaron dos entrevistas, una en la casa de Iván Darío Ríos con tres niñas y
un niño, llamados: María del Mar, Sofía, María José y Jesús David. La cual fue
modulada por la Señora Ángela, quien les explica los objetivos de la entrevista y
comienza a motivar un diálogo entre los participantes.
La segunda entrevista se realizó en la casa del señor Hellesi Agredo con tres
niños, una niña, llamados: Santiago, Daniel, Yeison, valentina y el señor Hellesi.
La Cual fue modulada por Jorge Sandino, quien explica los objetivos de la reunión
y comienza a motivar un dialogo entre los participantes.
En los dos grupos de trabajo la dinámica fue similar, ya que se realizaron
preguntas a ciegas, para analizar que tan posesionada esta la marca totto tú en
los tweens de Cali.
Los moduladores vandeterminando los temas de interés en relación a una marca
especifica: "¿Dónde van a comprar la ropa? ¿Qué marca de ropa les gusta?
¿Quién da la última palabra, ente los padres y ellos, para comprar la ropa?"
También se tocan temas vinculados con las percepciones de los participantes, sus
hábitos de consumo y preferencias de productos similares.
Los moduladores cuestionan constantemente al grupo, se dirigen a todos en
conjunto e individualmente y captan la atención repitiendo lo que se dice.
En todo momento, se mantiene una posición neutral, absteniéndose de opinar
sobre los contenidos de la discusión.

20
4. CONCLUSIONES DEL FOCUS GROUP

Una vez finalizada lassesiones, se analizaron las reacciones, los argumentos y los
comportamientos de los participantes.La información obtenida se utilizará también
para determinar la estrategia a seguir, para poder tener una mejor penetración del
mercado de los tweens.
Hemos percibido los siguientes elementos en el focus group:
1) Al hablar de ropa, sacamos la conclusión que los jóvenes nombran varias
marcas Como: Adidas, Epk, Off corrs, Naf Naf.
2) La gran mayoría de los jóvenes, toma la decisión de la compra del producto, en
conjunto con sus padres, ya que es lógico que a su edad no obtienen ningún
ingreso.
3) Sobresale que las niñas son más detallistas y miran el estilo, los colores,
modelos, etc. En cambio los niños analizan la comodidad y marca.
4) Vemos que la marca totto, se distingue más por los maletines y accesorios, que
por la ropa en los niños. Pero las niñas si tienen más conocimiento de la variedad
de productos que tiene la marca totto.
5) La marca totto tú, en la entrevista de los niños no se nombró para nada.

21
5. INVESTIGACION CUANTITATIVA
5.1 PLANTEAMIENTO DEL PROBLEMA
Concluimos después de las entrevistas, la falta de conocimiento de la marca Totto
tú, debido a que solamente la asocian con el sello Totto.
No hay una identidad clara de Totto tú, en la mente del consumidor final como los
tweens.
Todo lo anterior se debe a la falta de publicidad en los puntos de venta que hay en
la ciudad de Cali. La infraestructura no es la adecuada para el segmento objetivo,
por falta de iluminación y colores llamativos para los tweens.

5.2 FORMULACION DEL PROBLEMA

Como se afecta la marca totto tú en el mercado de la Ciudad de Cali, por falta de
publicidad, en paralelo a sus competidores.

22
6. OBJETIVOS

6.1 OBJETIVO GENERAL
Determinar los factores y los potenciales de la marca Totto tú, en el mercado
actual de la Ciudad de Cali, creando estrategias de conocimiento hacia la misma.
6.2 OBJETIVOS ESPECIFICOS
Determinar los aspectos más relevantes que incentiven a los tweens a
comprar.
Determinar la importancia de la marca del momento al tomar la decisión de
compra.
Posesionar más la marca Totto tú, frente a su marca líder que es Totto.
Determinar qué medios de publicidad son más atractivos para impactar con
la marca totto tú a la Ciudad de Cali.
Verificar el potencial de mercado del producto Totto tú.

23
7. TAMAÑO DE MUESTRA
Para hallar la muestra poblacional sobre la que vamos a trabajar hemos decidido
hacer un estimado a la población de los tweens en la ciudad de Cali.
7.1 DETERMINACION DEL TAMAÑO DE LA MUESTRA.
Probabilidad de éxito……………(p) = 0.50
Probabilidad de fracaso………..(q) = 0.50
Población………………………...(N) = 80850
Nivel de confianza…………(Sigma) = 1.96
Margen de error………………….(e) = 0.07

7.1.1 FOMULA PARA HALLAR NÚMERO DE ENCUESTAS

_______________________ =
*(N-1))+

7.1.2 PROBABILIDAD DE ÉXITO Y FRACASO = p y q
Esta probabilidad no tiene una participación definida, que especifique el valor a
utilizar de los datos en referencia. (0.5 o 50%).
7.1.3 POBLACION = N
Para hallar la población se estableció el total de habitantes de la ciudad de Cali,
con cifras al 2012, contando con el rango de edad establecidoy los estratos
económicos de mercado objetivo.
Habitantes de la ciudad de Cali………………………………………….. 2.294.653
Total habitantes de edades de 10 a 14 años………………………..……. 190.686
Habitantes de las edades determinadas en los estratos 3, 4, 5 y 6

24
(42.4%)*(190.686)= 80.850

7.1.4 NIVEL DE CONFIANZA = Sigma
Se estableció como dato estándar el 95% (1.96)
7.1.5 MARGAN DE ERROR = e
Tomando los datos anteriores se establece el 7% de margen de error debido al
método a la selección de la muestra.

______________________________ =
*(80850-1))+

77648.34
_____________= 196 Encuestas
397.1205

25
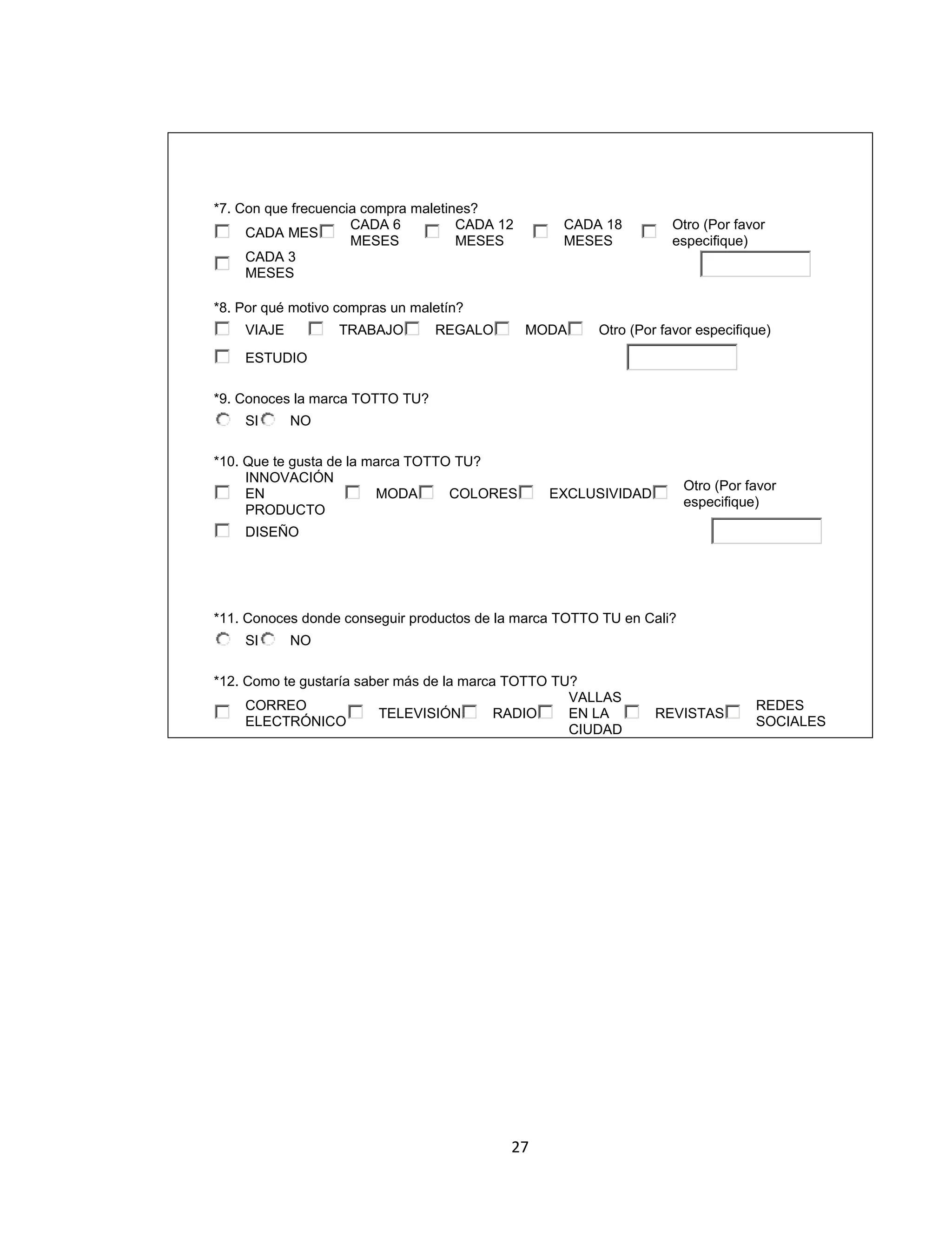
8. FORMATO DE ENCUESTA

Abandonar->

Continuaré más tarde

1.- Percepción Marca Totto TU
*1. Es consumidor de maletines
SI
NO
*2. Edad
8 a 14

15 a 20

21 a 31

más de 30

*3. Genero
MASCULINO

FEMENINO

*4. Estrato
2

3

4

Más de 4

*5. Cuando adquieres un producto de maletines para tu uso, que es lo más relevante?
MARCA
DISEÑO
CALIDAD
PRECIO
GARANTIA

*6. Cuáles de las siguientes marcas es tu preferida para comprar un maletín?
QUEST
TOTTO
OFFCORSS
NIKE
TOTTO TU
ADIDAS

26
*7. Con que frecuencia compra maletines?
CADA 6
CADA 12
CADA MES
MESES
MESES
CADA 3
MESES

CADA 18
MESES

Otro (Por favor
especifique)

*8. Por qué motivo compras un maletín?
VIAJE

TRABAJO

REGALO

MODA

Otro (Por favor especifique)

ESTUDIO
*9. Conoces la marca TOTTO TU?
SI

NO

*10. Que te gusta de la marca TOTTO TU?
INNOVACIÓN
EN
MODA
COLORES
PRODUCTO

Otro (Por favor
especifique)

EXCLUSIVIDAD

DISEÑO

*11. Conoces donde conseguir productos de la marca TOTTO TU en Cali?
SI

NO

*12. Como te gustaría saber más de la marca TOTTO TU?
VALLAS
CORREO
TELEVISIÓN
RADIO
EN LA
ELECTRÓNICO
CIUDAD

27

REVISTAS

REDES
SOCIALES
GRAFICOS DE RESULTDOS DE LAS ENCUESTAS

5.1 ES CONSUMIDOR DE MALETINES?

120
102
100
80
60
40
20

9

0
SI

NO
Respuestas

Es consumidor de maletines

8%

SI
NO

92%

28
5.2 EDAD

38

40
35
30

27

26

25

21

20
15
10
5
0
8 a 10

10 a 13

14 a 16

Otro

Respuestas

29
Edad
8 a 10
10 a 13
14 a 16
Otro

23%
19%

24%
34%

5.3 GENERO
70

65

60
50

46

40
30
20
10
0
MASCULINO

FEMENINO
Respuestas

30
Genero

MASCULINO
FEMENINO

41%
59%

5.4 ESTRATO
70

62

60
50
40
29

30
20

16

10

4

0
2

3

4

Más de 4

Respuestas

31
Estrato
2
3
4
Más de 4

4%
14%

26%

56%

5.5 CUANDO ADQUIERES UN MALETIN PARA TU USO, QUE ES LO MÁS
RELEVANTE?

70
60

1

61
53

2

3

4

5

51

50
40
30
20
10

5 4

8

5

8 10

3

0
MARCA

DISEÑO

CALIDAD

32

0

4

PRECIO

0 2 2
GARANTIA
33
5.6 CUAL DE LAS SIGUIENTES MARCAS ES LA PREFERIDA PARA
COMPRAR UN MALETIN?
Cuáles de las siguientes marcas es tu preferida para
comprar un maletín? Puedes marcar hasta 3 opciones
90

1
2

80

3
4

70

5

60

6

50
40
30
20
10
0
QUEST

TOTTO

OFFCORSS

NIKE

34

TOTTO TU

ADIDAS
35
5.7 CON QUE FRECUENCIA COMPRA MALETINES?

50

44

45
40
32

35
30

22

25
20

14

15
10
5
0

0

0

Respuestas

Con que frecuencia compra maletines?
CADA MES
CADA 3 MESES

12% 0% 0%
20%

29%

CADA 6 MESES
CADA 12 MESES
CADA 18 MESES

39%

36
5.8 PORQUE MOTIVO COMPRA MALETIN?

90
80

80
70
60
50
40

31

30
19

20

8

10

12
5

0
VIAJE

ESTUDIO

TRABAJO

REGALO

Respuestas

37

MODA

Otro (Por
favor
especifique)
Porqué motivo compras un maletín?
VIAJE
ESTUDIO

5%

8% 3%

TRABAJO

20%

12%

52%

5.9 CONOCES LA MARCA TOTTO TÚ?
60

58

58
56
54

53

52
50
SI

NO
Respuestas

38
Conoces la marca TOTTO TU?

SI
NO

52%

48%

6 QUE LE GUSTA DE LA MARCA TOTTO TÚ?
Que te gusta de la marca TOTTO TU? Puedes marcar hasta 3
opciones
35
30
25
20
15
10
5
0

1
2
3
4
5
6

39
40
6.1 CONOCES DONDE CONSEGUIR PRODUCTOS DE LA MARCA TOTTO TÚ,
EN CALI?
80

69

70
60
50

42

40
30
20
10
0
SI

NO
Respuestas

Conoces donde conseguir productos de la
marca TOTTO TU en Cali?

SI

38%
62%

41

NO
6.2 COMO TE GUSTARIA SABER MAS DE LA MARCA TOTTO TÚ?
70
60
50
40
30
20
10
0

62

60

50

24
6

13

Respuestas

Como te gustaría saber más de la marca TOTTO TU? Puedes
marcar hasta 3 opciones
CORREO ELECTRÓNICO
TELEVISIÓN
RADIO
VALLAS EN LA CIUDAD
REVISTAS

23%

29%
28%
6%
11%

3%

42
9. MAPA ESTRATEGICO
9.1 CONCLUSIONES
La investigación que se realizó en el mercado de los maletines, segmentado entre
niños y jovencitos, más conocidos como lo tweens, nos ayuda a conocer la
realidad más clara y detallada, con el fin de facilitar la toma de decisiones y las
estrategias a implementar. Con este proceso de búsqueda nos ayuda a conocer la
realidad de una forma más clara y detallada a fin de facilitar la toma de decisiones.
Destacando las siguientes conclusiones:
Los maletines Totto tú, no son plenamente identificados, los relacionan
Consu marca líder Totto.
La marca no tiene posicionamiento en la mente de los consumidores.
Faltan más puntos de venta en la ciudad.
No se está realizando un marketing agresivo, para el segmento al cual se ha
destinado el producto.
9.2 RECOMENDACIONES
Se recomienda realizar una amplificación de marca, dirigida a la línea de los
maletines Totto tú, para mejorar el comportamiento de las ventas del
producto en todos sus estilos, modelos y colores.
Ejecutar estrategias de más comunicación (Tv, Internet, Redes sociales,
Revistas infantiles, etc.), con el fin de cautivar a todos aquellos
consumidores que no conocen el producto.
Debe existir más impacto visual, direccionado en una estrategia de fidelizar
a los consumidores, que a su vez evite el constante asecho de las
competencias.
Evaluar la efectividad de la comunicación publicitaria realizada en la
actualidad con Totto tú, como la ubicación de sus tiendas, colores y
espacios de las mismas.
Realizar eventos con los jóvenes que asisten a los centros comerciales
como: Unicentro, Chipichape y Jardín plaza, donde hay tiendas de Totto tú,
con el fin de lograr más acercamiento con el mercado objetivo.

43

Totto tú

  • 1.
    ESTUDIO DE MERCADO NALSANIS.A. – TOTTO TÚ JORGE SANDINO IVAN D. RIOS INVESTIGACIÓN DE MERCADOS HAIBER GUSTAVO AGUDELO CASANOVA UNIVERSIDAD SAN BUENAVENTURA CALI ADMINISTRACIÓN DE NEGOCIOS VI SEMESTRE AGOSTO DE 2013 1
  • 2.
    TABLA DE CONTENIDO Pág. INTRODUCCION 1.INVESTIGACION EXPLORATORIA 1.1 PRODUCTO: MARCA TOTTO TU 1.2 CONCEPTO TWEENS 1.2.1 Para Totto Tu 1.2.2 Para el Cliente 1.2.3 Características del mercado 1.2.4 Segmento del Mercado 1.3 COLEGIO 1.4 FAMILIA 1.5 AMIGOS 2. METODOLOGIA CIENTIFICA DE LA INVESTIGACION CUALITATIVA (NALSANI S.A. – TIENDAS TOTTO TU) 2.1 PLANTEAMIENTO DEL PROBLEMA 2.2 FORMULACION DEL PROBLEMA 2.3 OBJETIVO GENERAL 2.4 OBJETIVOS ESPECIFICOS 3. DINAMICA DEL FOCUS GROUP 4. CONCLUSIONES FOCUS GROUP 5. INVESTIGACION CUANTITATIVA 22 5.1 PLANTEAMIENTO DEL PROBLEMA 5.2 FORMULACION DEL PROBLEMA 6 OBJETIVOS 6.1 OBJETIVO GENERAL 6.2 OBJETIVOS ESPECIFICOS 7 TAMAÑO DE MUESTRA 7.1 DETERMINACION DE TAMAÑO DE MUESTRA 7.1.1 FORMULA PARA HALLAR NUMERO DE ENCUESTAS 7.1.2 POBLACION DE ÉXITO Y FRACASO 7.1.3 POBLACION 7.1.4 NIVEL DE CONFIANZA 7.1.5 MARGEN DE ERROR 8 FORMATO DE ENCUESTA 9 MAPA ESTRATEGICO 9.1 CONCLUSIONES 9.2 RECOMENDACIONES 2 5 6 6 7 10 10 10 11 11 12 12 17 17 18 18 18 20 21 22 22 23 23 23 24 24 24 24 24 25 25 26 Y 27 43 43 43
  • 3.
    LISTA DE GRAFICOS Pág. Gráfica1 Recordación de las marcas en los niños. Gráfica 2 Ciclo de servicio de Totto tú. Gráfico 3 Cobertura geográfica de Totto tú. Gráfico 4 Marcas de la competencia. Grafico 5 Resultados de encuestas Grafico 5.1 Es consumidor de maletines? Grafico 5.2 Edad Grafico 5.3 Genero Grafico 5.4 Estrato Grafico 5.5 Cuando adquieres un maletín para tu uso, que es lo Más relevante? Grafico 5.6 Cual de las siguientes marcas es la preferida, para Comprar un maletín? Grafico 5.7 Con qué frecuencia compra maletines? Grafico 5.8 Por qué motivo compra maletín? Grafico 5.9 Conoces la marca Totto tú? Grafico 6 Que le gusta de la marca Totto tú? Grafico 6.1 Conoces donde conseguir productos de la marca Totto tú, en Cali? Grafico 6.2 Como te gustaría saber más de la marca Totto tú? 3 6 9 13 14 28 28 29 30 31 32 y 33 34 y 35 36 37 38 39 y 40 41 42
  • 4.
    LISTA DE FOTOS Pág. Foto1 Almacén Chipichape Cali Foto 2 Totto tú colección 2011-1 Foto 3 Totto tú colección 2011-2 Foto 4Partners Totto tú Foto 5 Descuentos de Totto tú 8 8 8 8 10 4
  • 5.
    INTRODUCCION Esta exploración demercado se inicia con la empresa Nalsani s.a y su producto TOTTO TÚ, el cual nos servirá para adquirir más conocimiento a nivel, tanto personal como profesional, ya que es un gana gana, para nosotros, como estudiantes en nuestro aprendizaje y para la empresa en conocer los baches que puedan presentar con dicha marca en el mercado, a través de nuestras sugerencias y recomendaciones que le podamos brindar en este estudio de mercado. Con esta investigación nos ayudara a conocer más a sus clientes actuales, como lo son los tweens. De manera que al saber cuáles son los gustos y preferencias de estos chicos nos llevara a aumentar sus ventas y a mantener la satisfacción de los clientes para lograr su preferencia. 5
  • 6.
    1. INVESTIGACIÓN EXPLORATORIA 1.1PRODUCTO: MARCA TOTTO TÚ La Marca TOTTO, lanzo al mercado una submarca llamada TOTTO TÚ, su principal objetivo es llevar una línea secuencial del consumidor. Apropiarnos de los jóvenes pre-adolescentes introduciéndolos al concepto integral de negocio Totto (ropa, maletines y accesorios) asegurando así la permanencia con la marca durante su ciclo de vida. Lograr ser parte de la vida de los niños, estableciéndonos como el vínculo de relación entre ellos, destacándonos como la marca más cool, con la que se pueden identificar. Enfocar el diseño del portafolio a estratos socioeconómicos 5 y 6; en donde su precio le dará carácter de multiestrato (desde el estrato 2 al 6). La marca nace desde un estudio donde el potencial de los niños es la gran recordación en la marca TOTTO…. Porque no generar una marca enfocados en este gran mercado? Grafica 1 Recordación de las marcas en los niños Fuente: Revista Dinero 6
  • 7.
    A. Análisis dela demanda 1 Características y comportamiento del comprador: 1.2 CONCEPTO TWEENS Se ha originado un concepto en la sociedad moderna, llamado Tweens, proviene de la palabra anglosajona “between” que significa entre dos, se aplica a una categoría de jóvenes cuyas edades están entre los 7 y 14 años. Son niños que viven como adolecentes, tienen una creciente preocupación por la apariencia física y mucha prisa por crecer. Sus modelos de referencia son de 3 o 4 años más que ellos. Buscan:    Aceptación Social (Ser incluidos) Popularidad (Ser referentes) Conexión (Estar en todo, no sentirse excluidos) Hacen parte de la Generación Z, personas que nacieron después de1995 y para entonces la tecnología era gobernante del mundo. Esta descendencia ha adoptado la tecnología a primera instancia, lo que ha generado una dependencia en gran medida de ella. Son más inclinados al mundo virtual. La demanda de productos Totto tu, se da principalmente por niños, pre adolecentes desde los 5 a los 14 años, buscan productos diferentes que los haga sentir únicos. Estos productos se adquieren en puntos de venta directos y en modelo de franquicias. En Cali hay 3 tiendas Totto tu ubicadas en Chipichape, Unicentro y Único. 7
  • 8.
    Foto 1: AlmacénChipichape Cali Foto 2: Totto tú colección 2011-1 La compra se realiza según la necesidad del consumidor, el 60% de la facturación la realizan con un acompañante adulto (papa, mama, tío, hermano) y el 40% cada tweens toma la decisión de su compra. La marca tiene actividades y temporadas específicas a lo largo de su año.       Temporada Escolar Calendario A (Enero – Febrero). Temporada de Descuentos Totto TU LOCO (Marzo - Octubre). Día del Niño (Abril). Temporada Vacaciones (Junio) Temporada Escolar Calendario B (Julio – Agosto). Temporada Navideña (Diciembre). Los tweens compran varios productos que hagan que se vean y se sientan diferentes, los productos de la marca deben ser muy innovadores. La marca cuenta con un portafolio muy amplio en sus tres unidades de negocio, pero donde quieren atraer más al consumidor tweens en su negocio de ropa, allí está la diferencia contra las demás marcas de este segmento. Foto 3: Totto tú colección 2011-2 Foto 4:Partners Totto tú 8
  • 9.
    La idea dela marca es vender 3 artículos por factura, en este momento este indicador esta en 1.8 artículos por factura. En el futuro la marca Totto Tu, estará generando total innovación en 2 colecciones por año con entradas diferentes de producto cada mes y medio aproximadamente. Las tendencias están muy marcadas y Totto Tu quiere imponer moda logrando una recordación en la mente del consumidor. La satisfacción de los clientes se mide de dos formas:   Línea Servicio al Cliente, donde cada cliente puede ingresar bien sea telefónicamente por la línea 01800510203 o por la pagina www.tottotu.com , donde los clientes pueden dejar todas sus PQR. Si hay alguna inconformidad de algún cliente o un mal servicio de inmediato el área de este departamento se comunica con el cliente, y también envían el caso al jefe de zona de la tienda para realizar retroalimentación de lo sucedido. Cliente Incognito: Trimestralmente servicio al cliente nos da los resultados por punto de venta de cliente incognito, algunos con video para su análisis y mejora de situaciones. Hoy se está manejando esta figura de ciclo de servicio donde todos están alineados para trabajar en los puntos de v. Gráfico 2: Ciclo de servicio de Totto tú. Fuente: www.Tottotu.com La marca Totto Tu, cuenta con un plan CMR (Programa de Fidelización) Como lo hacen: Impactando al cliente en momentos claves de su ciclo de vida con el producto. 9
  • 10.
    Foto 5: Descuentosde Totto tú Los objetivos principales de este programa: 1.2.1 Para Totto TÚ.      Captura de Clientes. Base de datos, clara, completa y actualizada. Aumentar la rentabilidad del cliente. Crear vínculos entre la marca y sus clientes, fundamentadas en el conocimiento de los mismos. Lograr la recompra y retención de los clientes actuales. 1.2.2 Para el Cliente:       Sentido de pertenencia como cliente especial de la marca. Vinculo emocional (días especiales) Comunicación personalizada (me conocen) Gozar de beneficios (cumpleaños, autorredimibles) Prioridad de información de la marca. Invitación a eventos. 1.2.3 Características del mercado: Según estadísticas del DANE esta es la población que hay para el mercado objetivo de Totto TÚ. 10
  • 11.
    Años / Sexo Hombres Mujeres 0–4 2.479.401 2.373.072 5–9 2.445.833 2.340.633 10– 14 2.428.681 2.326.775 TOTAL 7.350.915 7.040.480 La marca Totto TÚ, ve una gran oportunidad en ofrecimiento de su marca a este mercado objetivo. Por tal motivo tiene un gran portafolio tanto masculino como femenino para suplir esta necesidad. 1.2.4 Segmento del Mercado. A partir de la exploración sobre el estilo de vida de los niños y niñas entre los 8 y 12 años de edad, se destacan como ENTORNOS MAS RELEVANTES: Segmento de 7 a 14 Años (Denominados Twenns) COLEGIO Conocimiento y diversión FAMILIA Seguridad emocional e inicio de la autonomía AMIGOS Amistad/Compartir y comienzo de la Identidad de Grupo 1.3 COLEGIO En esta etapa aparece un importante desarrollo a nivel intelectual – Despertando interés por el conocimiento. Cobra significado la valoración de amigos y profesores acorde a sus capacidades y habilidades Disminuye la idealización de los profesores y asume una actitud crítica hacia los mismos. Valorando la educación dinámica/lúdica y no monótona. 11
  • 12.
    Es el medioque le facilita su permanente necesidad de actividad física, juego y diversión. 1.4 FAMILIA Los padres son la principal fuente de afecto y seguridad, existiendo aun dependencia de ellos, sin embargo en esta etapa se percibe el COMIENZO DE LA AUTONOMIA. Comienza a ser capaz de desligarse de sus opiniones y va asumiendo su individualidad. Inicia la conciencia de su personalidad y aspecto exterior (apariencia, ropa y peinado). Sugiere criterios propios de independencia de gustos y preferencias de los padres. 1.5 AMIGOS Ocupan un aspecto importante en su vida y cada vez se va generando más dependencia de ellos, cuando se van acercando al pre adolescencia. (11-12-13 Años) Disfrutan el tiempo libre y comparten los mismos gustos e intereses Toman valor las expresiones de amistad y solidaridad. Comienzan a conformar grupos del mismo sexo, la competencia Totto Tu busca su expansión a un mediano plazo, en este momento ya cuenta con los siguientes puntos de ventas directos. 12
  • 13.
    Grafico 3 Coberturageográfica de Totto tú Fuente: www.tottotu.com Quiere fortalecer su presencia en tanto en Colombia como en el exterior por medio de negocio de tiendas propias y franquicias. B Competencia 1 ¿Quiénes son los competidores? La competencia de Totto Tú está dividida en dos campos, uno es el de los maletines - accesorios y el otro es el de la ropa. Maletines – Accesorios    Rocka JanSport Adidas 13
  • 14.
     Niké Ropa        Off Corss Epk Bimbi Yoyo Tomaticos Marcas Propiasde Almacenes de Cadena (People - Wk) Ropa tiendas Falabella Gráfico 4: Marcas de la competencia. Marca OffCorss Epk Fortaleza Debilidades Tiene la participación En sus tiendas venden más grande del mercado productos para bebes, haciendo que los tweens no sienten una tienda para ellos Bueno precios, competitivos, promociones 14 muy Falta innovación en sus prendas su segmento está definido para bebes
  • 15.
    permanentes con y niñoshasta los 4 años prendas desde $29.900 Yoyo Presencia fuerte Pocas tiendas, no se únicamente regional, proyecta una marca teniendo una muy buena global. participación en el mercado de las niñas ya que son exclusivos. Tiendas Falabella Muy buena opción de Calidad de los productos prendas, precios muy favorables para todo tipo de segmento, colecciones exclusivas Entorno interno Con el ánimo de brindarle un mejor servicio y de acuerdo con el compromiso con la protección de datos personales, Nalsani S.A sociedad legalmente constituida y su marca Totto y Totto tú, dando cumplimiento con la Ley 1581 de 2012 “Ley de protección de datos personales” y el Decreto 1377 de 2013, informa que es responsable de la administración de los datos personales de sus clientes, incluidos aquellos de alta sensibilidad, los cuales han sido recolectados a través de distintas actividades comerciales y de mercadeo que se llevan a cabo en tiendas, medios electrónicos, redes sociales y otros espacios donde la marca hace presencia. Según nuestras políticas de tratamiento de datos personales, los mecanismos a través de los cuales hacemos uso de éstos son seguros y confidenciales, pues contamos con los medios tecnológicos idóneos para asegurar que sean almacenados de manera tal que se impida el acceso indeseado por parte de terceras personas, y en ese mismo orden aseguramos la confidencialidad de los mismos. Nalsani solicita su autorización para seguir con la administración de sus datos personales almacenados en nuestra base de datos con los siguientes propósitos: Ofrecerle información sobre nuestros diferentes productos. Comunicarles actividades comerciales y de mercadeo encaminadas a aumentar la fidelidad de nuestros clientes. Realizar evaluaciones de servicio al cliente. Utilizar la información como insumo en estudios de análisis de mercado 15
  • 16.
    Si desea quesus datos sean eliminados de nuestra base de datos, lo invitamos a comunicarlo de forma expresa en un término no superior a (30) días hábiles a partir de la fecha de envío de esta comunicación a través de nuestro correo electrónico info@totto.com. El hecho de la no comunicación explicita del titular de los datos en el término establecido, autoriza a Nalsani continuar con la administración de estos datos personales. Le recordamos que de acuerdo con la Ley 1581 de 2012 “Ley de protección de datos personales”, como cliente tiene derecho a conocer, actualizar, rectificar o suprimir la información con la que de usted contamos en nuestra base de datos; comunicándose de manera escrita al correo electrónico info@totto.com o telefónicamente a nuestras líneas de atención al cliente en Bogotá 6078381 o 018000510203 para el resto del país. 16
  • 17.
    2. METODOLOGÍA CIENTÍFICADE LA INVESTIGACIÓN CUALITATIVA NALSANI S.A. – TIENDAS TOTTO TÚ 2.1 PLANTEAMIENTO DEL PROBLEMA Nalsani S.A (Empresa Multinacional con más de 20 años en el mercado, dedicada a la confección y distribución de ropa, maletines y accesorios). Nació en 1987 con la compra de una fábrica de artículos de cuero marca LAND. Se tomó la decisión más importante: bautizar a la nueva empresa con el nombre TOTTO, en honor de Toto, una emblemática banda de rock de los años ochenta y se inicia la primera campaña publicitaria con el eslogan “me gusta mi Totto porque le cabe Totto” Tras varios años de realizar colecciones que incluyen productos para niños y niñas, teniendo una amplia acogida dentro de este público, Totto crea en el año 2008 una extensión de marca dirigida y enfocada a estos mismos, en edades de 8 y 12 años. Llamada TOTTO Tú, un estilo único y diferente, con tres líneas de negocio: ropa, maletines y accesorios. Los cuales hacen gala de estilos vanguardistas, modernos y únicos, pero sin olvidar lo estético, lo práctico y lo funcional. La nueva colección se sustenta en el mundo de los tweens, inspirada en una vida tranquila y sin complicaciones, una vida en la que se disfruta de la naturaleza y las cosas sencillas; ideales para los tweens frescos, ligeros y cómodos que buscan siempre la practicidad y quieren sentirse libres. En Cali se inició operación en el Centro Comercial Unicentro en el pasillo 4 (actualmente ubicada en el mismo lugar), posteriormente en diciembre de 2009 se realiza la apertura de la segunda tienda ubicada en Centro Comercial Chipichape Bodega 5. (Actualmente ubicada en este mismo lugar). 17
  • 18.
    La marca hatenido una muy buena aceptación al público tweens en las principales ciudades como Bogotá, Medellín, Eje Cafetero en Colombia y en el exterior como franquicia en Panamá, Ecuador, Bolivia, Aruba entre otros… A pesar de lo mencionado anteriormente, la marca Totto Tu en la ciudad de Cali no ha llenado las expectativas de la compañía. Tiene baja recordación del segmento definido. Los clientes llegan referidos por la marca Totto e inclusive nos cuentan los administradores de las tiendas que lleguen pensando que es una tienda de Totto. Las ventas que se tienen son aceptables, pero no al nivel que se desea comparada con tiendas similares ubicadas en otras ciudades. Los crecimientos que presentan son muy bajitos, inclusive presentando decrecimientos en el último año. 2.2 FORMULACIÓN DEL PROBLEMA ¿Qué tan enterados están los tweens de la ciudad de Cali, de la marca Totto Tu? 2.3 OBJETIVO GENERAL Identificar el nivel de conocimiento que tiene los twenns en la ciudad de Cali de la marca totto tú. 2.4 OBJETIVOS ESPECIFICOS Identificar las principales causas del NO conocimiento de la marca en el segmento de Tweens Identificar las actividades que les gusta a los tweens. Conocer las principales causas de la insatisfacción de la marca Totto Tu, les gusta? Que les atrae de la marca? 18
  • 19.
    Analizar el comportamientode los tweens, donde compran, cuáles son sus marcas preferidas. Que buscan cuando eligen una marca. Analizar si los puntos de venta actuales de Totto Tu, están en los adecuados dentro de los centros comerciales Determinar las posibles soluciones de las ventas bajas, y las oportunidades que tiene el mercado potencial de Cali para los tweens 19
  • 20.
    3. DINÁMICA DELFOCUS GROUP Se realizaron dos entrevistas, una en la casa de Iván Darío Ríos con tres niñas y un niño, llamados: María del Mar, Sofía, María José y Jesús David. La cual fue modulada por la Señora Ángela, quien les explica los objetivos de la entrevista y comienza a motivar un diálogo entre los participantes. La segunda entrevista se realizó en la casa del señor Hellesi Agredo con tres niños, una niña, llamados: Santiago, Daniel, Yeison, valentina y el señor Hellesi. La Cual fue modulada por Jorge Sandino, quien explica los objetivos de la reunión y comienza a motivar un dialogo entre los participantes. En los dos grupos de trabajo la dinámica fue similar, ya que se realizaron preguntas a ciegas, para analizar que tan posesionada esta la marca totto tú en los tweens de Cali. Los moduladores vandeterminando los temas de interés en relación a una marca especifica: "¿Dónde van a comprar la ropa? ¿Qué marca de ropa les gusta? ¿Quién da la última palabra, ente los padres y ellos, para comprar la ropa?" También se tocan temas vinculados con las percepciones de los participantes, sus hábitos de consumo y preferencias de productos similares. Los moduladores cuestionan constantemente al grupo, se dirigen a todos en conjunto e individualmente y captan la atención repitiendo lo que se dice. En todo momento, se mantiene una posición neutral, absteniéndose de opinar sobre los contenidos de la discusión. 20
  • 21.
    4. CONCLUSIONES DELFOCUS GROUP Una vez finalizada lassesiones, se analizaron las reacciones, los argumentos y los comportamientos de los participantes.La información obtenida se utilizará también para determinar la estrategia a seguir, para poder tener una mejor penetración del mercado de los tweens. Hemos percibido los siguientes elementos en el focus group: 1) Al hablar de ropa, sacamos la conclusión que los jóvenes nombran varias marcas Como: Adidas, Epk, Off corrs, Naf Naf. 2) La gran mayoría de los jóvenes, toma la decisión de la compra del producto, en conjunto con sus padres, ya que es lógico que a su edad no obtienen ningún ingreso. 3) Sobresale que las niñas son más detallistas y miran el estilo, los colores, modelos, etc. En cambio los niños analizan la comodidad y marca. 4) Vemos que la marca totto, se distingue más por los maletines y accesorios, que por la ropa en los niños. Pero las niñas si tienen más conocimiento de la variedad de productos que tiene la marca totto. 5) La marca totto tú, en la entrevista de los niños no se nombró para nada. 21
  • 22.
    5. INVESTIGACION CUANTITATIVA 5.1PLANTEAMIENTO DEL PROBLEMA Concluimos después de las entrevistas, la falta de conocimiento de la marca Totto tú, debido a que solamente la asocian con el sello Totto. No hay una identidad clara de Totto tú, en la mente del consumidor final como los tweens. Todo lo anterior se debe a la falta de publicidad en los puntos de venta que hay en la ciudad de Cali. La infraestructura no es la adecuada para el segmento objetivo, por falta de iluminación y colores llamativos para los tweens. 5.2 FORMULACION DEL PROBLEMA Como se afecta la marca totto tú en el mercado de la Ciudad de Cali, por falta de publicidad, en paralelo a sus competidores. 22
  • 23.
    6. OBJETIVOS 6.1 OBJETIVOGENERAL Determinar los factores y los potenciales de la marca Totto tú, en el mercado actual de la Ciudad de Cali, creando estrategias de conocimiento hacia la misma. 6.2 OBJETIVOS ESPECIFICOS Determinar los aspectos más relevantes que incentiven a los tweens a comprar. Determinar la importancia de la marca del momento al tomar la decisión de compra. Posesionar más la marca Totto tú, frente a su marca líder que es Totto. Determinar qué medios de publicidad son más atractivos para impactar con la marca totto tú a la Ciudad de Cali. Verificar el potencial de mercado del producto Totto tú. 23
  • 24.
    7. TAMAÑO DEMUESTRA Para hallar la muestra poblacional sobre la que vamos a trabajar hemos decidido hacer un estimado a la población de los tweens en la ciudad de Cali. 7.1 DETERMINACION DEL TAMAÑO DE LA MUESTRA. Probabilidad de éxito……………(p) = 0.50 Probabilidad de fracaso………..(q) = 0.50 Población………………………...(N) = 80850 Nivel de confianza…………(Sigma) = 1.96 Margen de error………………….(e) = 0.07 7.1.1 FOMULA PARA HALLAR NÚMERO DE ENCUESTAS _______________________ = *(N-1))+ 7.1.2 PROBABILIDAD DE ÉXITO Y FRACASO = p y q Esta probabilidad no tiene una participación definida, que especifique el valor a utilizar de los datos en referencia. (0.5 o 50%). 7.1.3 POBLACION = N Para hallar la población se estableció el total de habitantes de la ciudad de Cali, con cifras al 2012, contando con el rango de edad establecidoy los estratos económicos de mercado objetivo. Habitantes de la ciudad de Cali………………………………………….. 2.294.653 Total habitantes de edades de 10 a 14 años………………………..……. 190.686 Habitantes de las edades determinadas en los estratos 3, 4, 5 y 6 24
  • 25.
    (42.4%)*(190.686)= 80.850 7.1.4 NIVELDE CONFIANZA = Sigma Se estableció como dato estándar el 95% (1.96) 7.1.5 MARGAN DE ERROR = e Tomando los datos anteriores se establece el 7% de margen de error debido al método a la selección de la muestra. ______________________________ = *(80850-1))+ 77648.34 _____________= 196 Encuestas 397.1205 25
  • 26.
    8. FORMATO DEENCUESTA Abandonar-> Continuaré más tarde 1.- Percepción Marca Totto TU *1. Es consumidor de maletines SI NO *2. Edad 8 a 14 15 a 20 21 a 31 más de 30 *3. Genero MASCULINO FEMENINO *4. Estrato 2 3 4 Más de 4 *5. Cuando adquieres un producto de maletines para tu uso, que es lo más relevante? MARCA DISEÑO CALIDAD PRECIO GARANTIA *6. Cuáles de las siguientes marcas es tu preferida para comprar un maletín? QUEST TOTTO OFFCORSS NIKE TOTTO TU ADIDAS 26
  • 27.
    *7. Con quefrecuencia compra maletines? CADA 6 CADA 12 CADA MES MESES MESES CADA 3 MESES CADA 18 MESES Otro (Por favor especifique) *8. Por qué motivo compras un maletín? VIAJE TRABAJO REGALO MODA Otro (Por favor especifique) ESTUDIO *9. Conoces la marca TOTTO TU? SI NO *10. Que te gusta de la marca TOTTO TU? INNOVACIÓN EN MODA COLORES PRODUCTO Otro (Por favor especifique) EXCLUSIVIDAD DISEÑO *11. Conoces donde conseguir productos de la marca TOTTO TU en Cali? SI NO *12. Como te gustaría saber más de la marca TOTTO TU? VALLAS CORREO TELEVISIÓN RADIO EN LA ELECTRÓNICO CIUDAD 27 REVISTAS REDES SOCIALES
  • 28.
    GRAFICOS DE RESULTDOSDE LAS ENCUESTAS 5.1 ES CONSUMIDOR DE MALETINES? 120 102 100 80 60 40 20 9 0 SI NO Respuestas Es consumidor de maletines 8% SI NO 92% 28
  • 29.
    5.2 EDAD 38 40 35 30 27 26 25 21 20 15 10 5 0 8 a10 10 a 13 14 a 16 Otro Respuestas 29
  • 30.
    Edad 8 a 10 10a 13 14 a 16 Otro 23% 19% 24% 34% 5.3 GENERO 70 65 60 50 46 40 30 20 10 0 MASCULINO FEMENINO Respuestas 30
  • 31.
  • 32.
    Estrato 2 3 4 Más de 4 4% 14% 26% 56% 5.5CUANDO ADQUIERES UN MALETIN PARA TU USO, QUE ES LO MÁS RELEVANTE? 70 60 1 61 53 2 3 4 5 51 50 40 30 20 10 5 4 8 5 8 10 3 0 MARCA DISEÑO CALIDAD 32 0 4 PRECIO 0 2 2 GARANTIA
  • 33.
  • 34.
    5.6 CUAL DELAS SIGUIENTES MARCAS ES LA PREFERIDA PARA COMPRAR UN MALETIN? Cuáles de las siguientes marcas es tu preferida para comprar un maletín? Puedes marcar hasta 3 opciones 90 1 2 80 3 4 70 5 60 6 50 40 30 20 10 0 QUEST TOTTO OFFCORSS NIKE 34 TOTTO TU ADIDAS
  • 35.
  • 36.
    5.7 CON QUEFRECUENCIA COMPRA MALETINES? 50 44 45 40 32 35 30 22 25 20 14 15 10 5 0 0 0 Respuestas Con que frecuencia compra maletines? CADA MES CADA 3 MESES 12% 0% 0% 20% 29% CADA 6 MESES CADA 12 MESES CADA 18 MESES 39% 36
  • 37.
    5.8 PORQUE MOTIVOCOMPRA MALETIN? 90 80 80 70 60 50 40 31 30 19 20 8 10 12 5 0 VIAJE ESTUDIO TRABAJO REGALO Respuestas 37 MODA Otro (Por favor especifique)
  • 38.
    Porqué motivo comprasun maletín? VIAJE ESTUDIO 5% 8% 3% TRABAJO 20% 12% 52% 5.9 CONOCES LA MARCA TOTTO TÚ? 60 58 58 56 54 53 52 50 SI NO Respuestas 38
  • 39.
    Conoces la marcaTOTTO TU? SI NO 52% 48% 6 QUE LE GUSTA DE LA MARCA TOTTO TÚ? Que te gusta de la marca TOTTO TU? Puedes marcar hasta 3 opciones 35 30 25 20 15 10 5 0 1 2 3 4 5 6 39
  • 40.
  • 41.
    6.1 CONOCES DONDECONSEGUIR PRODUCTOS DE LA MARCA TOTTO TÚ, EN CALI? 80 69 70 60 50 42 40 30 20 10 0 SI NO Respuestas Conoces donde conseguir productos de la marca TOTTO TU en Cali? SI 38% 62% 41 NO
  • 42.
    6.2 COMO TEGUSTARIA SABER MAS DE LA MARCA TOTTO TÚ? 70 60 50 40 30 20 10 0 62 60 50 24 6 13 Respuestas Como te gustaría saber más de la marca TOTTO TU? Puedes marcar hasta 3 opciones CORREO ELECTRÓNICO TELEVISIÓN RADIO VALLAS EN LA CIUDAD REVISTAS 23% 29% 28% 6% 11% 3% 42
  • 43.
    9. MAPA ESTRATEGICO 9.1CONCLUSIONES La investigación que se realizó en el mercado de los maletines, segmentado entre niños y jovencitos, más conocidos como lo tweens, nos ayuda a conocer la realidad más clara y detallada, con el fin de facilitar la toma de decisiones y las estrategias a implementar. Con este proceso de búsqueda nos ayuda a conocer la realidad de una forma más clara y detallada a fin de facilitar la toma de decisiones. Destacando las siguientes conclusiones: Los maletines Totto tú, no son plenamente identificados, los relacionan Consu marca líder Totto. La marca no tiene posicionamiento en la mente de los consumidores. Faltan más puntos de venta en la ciudad. No se está realizando un marketing agresivo, para el segmento al cual se ha destinado el producto. 9.2 RECOMENDACIONES Se recomienda realizar una amplificación de marca, dirigida a la línea de los maletines Totto tú, para mejorar el comportamiento de las ventas del producto en todos sus estilos, modelos y colores. Ejecutar estrategias de más comunicación (Tv, Internet, Redes sociales, Revistas infantiles, etc.), con el fin de cautivar a todos aquellos consumidores que no conocen el producto. Debe existir más impacto visual, direccionado en una estrategia de fidelizar a los consumidores, que a su vez evite el constante asecho de las competencias. Evaluar la efectividad de la comunicación publicitaria realizada en la actualidad con Totto tú, como la ubicación de sus tiendas, colores y espacios de las mismas. Realizar eventos con los jóvenes que asisten a los centros comerciales como: Unicentro, Chipichape y Jardín plaza, donde hay tiendas de Totto tú, con el fin de lograr más acercamiento con el mercado objetivo. 43