1
Un número imaginario es un número cuyo
cuadrado es negativo.
Este término fue destacado por René Descartes
en el siglo XVII y expresaba claramente sus
creencias: obviamente tales números no
existen. Hoy en día ubicamos los números
imaginarios sobre el eje vertical del plano
complejo. Cada número imaginario puede ser
escrito como
ib (numero complejo)
donde b es un verdaderonúmero real e i es la
unidad imaginaria con la propiedad:
i2 = − 1 2
3
DEFINICIÓN: Los Números Imaginarios surgen de
la necesidad de resolver ecuaciones cuadráticas
sin solución en el campo real.
Este conjunto se representa por i
 Este conjunto posee elementos que se obtienen
a partir de raíces cuadradas con cantidad
subradical negativa.
7
3 2
3 10 
4
Definición:
Entenderemos como Unidad Imaginaria a:
La que se conoce como Raíz Imaginaria.
i= -1
Nota: 2
i =-1
NÚMEROS IMAGINARIOS
 Luego:
 
16
16 1
16 1
4i
 
  
  

 Se definió un número cuyo cuadrado es -1
 después del año 1777, Euler lo denominó con la
letra “i”.
2
i =-1
7
POTENCIAS DE I:
1. Divida el exponente por 4 y el resultado será elevado al resto de
la división.
2. luego para simplificar use;
3. Sí
2
i =-1
 3 2
i =i i=-1 i=-i
  4 2 2
i =i i = -1 -1 =1
Este último resultado hace que las potencias de “i” solo
tengan como resultados a: i, -i, 1 y -1
0
i =1
1
i =i
n 4m+p p
i =i =i
i= -1
8
EJEMPLOS:
4 1 2 2
1i i
  g
6: 4 1
2

4 2 3 3
i i i
  g11
1)i 
540
2) i 
4 135 0 0
1i i
 g
11: 4 2
3

540: 4 135
14
020
0

6
3)i 
9
3
i 
13
4) i  i
227
5) i  i
285
6) i 
1
i
1127
7) i  i
285 4 71 1 g
i
1127 4 281 3 g
3
i 
10
Calcule las siguientes raíces:
4 1  
11 i
25 1  
1) 4 
2) 25 
3) 12 
4) 11 
i2
i5
2 3 i4 3 1  
Raíces pares de Números Negativos
NÚMEROS COMPLEJOS
 Hallar los números reales que verifican que
la suma entre el quíntuplo de su cuadrado y
20, es igual a cero.
 En símbolos:
2
5 20 0x  
12
NÚMEROS COMPLEJOS
 Al resolver la ecuación obtenida, nos damos
cuenta que la raíz cuadrada de un número
negativo no existe en los reales, por lo
tanto esta ecuación no tiene solución en este
conjunto, es decir que no existe ningún
número real que resuelva este problema.
(Sin solución real)
2
5 20 0x  
NÚMEROS COMPLEJOS
 Para que la ecuación anterior tenga solución,
los matemáticos buscaron una ampliación
del conjunto de los Números Reales (IR).
 A este Conjunto se definió como los
Números Complejos:
 / , ;a bi a bi   £ ¡ I
© copywriter
15
i) Los números reales y los
imaginarios están incluidos en
el conjunto ampliado.
ii) Las propiedades del
conjunto real se siguen
cumpliendo en el conjunto
ampliado.
Sus características son:
NÚMEROS COMPLEJOS
 Se llama número complejo a un número “z”
que puede escribirse de la forma
 a y b son números reales
 Al número a se le llama parte real (a=Re[z])
 Al número b se le llama parte imaginaria
(b=Im[z])
z=a+bi
a+bi (a,b)
IGUALDAD DE NÚMEROS COMPLEJOS:
 Dos Números complejos son iguales si y
sólo si, tienen igual parte real e igual parte
imaginaria
 si
 Entonces:
1 2z =z
       1 2 1 2Re z =Re z Im z =Im z
Ó sí a + bi = c + di entonces a = c y b = d.
18
Ejemplos de Números Complejos:
i35)1 
i47)2 
i61)3 
i5)4
7)5
19
 81)5   1 4 2 1 
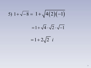
1 2 2 i 
1 4 2 1    
20
Ejemplo:
Determine el valor de y de si
  ibia 5626 
66Si a 2 5y b  
0a
2
5
b
a b
21
OPERACIONES CON NÚMEROS COMPLEJOS
   a bi c di  1.Suma:
   idbca 
   Ej 5em 1: 6plo 2   i i
   5 6 1 2    i
i11
22
   a bi c di  2.Resta:
   idbca 
   3Ejemplo 1: 2 6 3    i i
   3 2 6 3i i   
9 5i 
   a bi c di    
Obs:La resta se cambia a la suma del opuesto del sustraendo.
23
   Ejemplo 2: 8 18 5 50     
   8 3 2 5 5 2i i   
   8 3 2 5 5 2i i    
3 8 2 i 
24
   a bi c di g3.Multiplicación:
   ac bd ad bc i   
Nota: La multiplicación se puede llevar a cabo como si
fuera una multiplicación de polinomios.
  a bi c di   ac ad i  bc i  2
bd i 
   1ac ad bc i bd    
   ac bd ad bc i   
25
  Ejemplo 1: 4 2 3 5  i i
2
1062012 iii 
12 14 10i  
i1422
 12 20 6 10 1i i    
26
 
2
Ejemplo 2: 4 5 i
254016  i
i409
  4 5 4 5i i  
2
16 20 20 25i i i   
 16 40 25 1i   
27
 
3
Ejemplo 3: 2 3 i
46 9i  
   
2
2 3 2 3i i 
  2
4 12 9 2 3i i i   
   4 12 9 1 2 3i i    
  4 12 9 2 3i i   
  5 12 2 3i i   
2
10 15 24 36i i i    
10 15 24 36i i    
28
.El conjugado de
Conjugado de un C
z=a+bi sedefin
ompl
e po
ejo:
Definició
r Z=a+bi=a
n
-bi
:
Encuentra el conjugado de cada
Ejemplo
núm
s:
ero:
1. 2 4
2. 2 4
3. 64
4. 12 24
5. 13
i
i
i
i
 
 

 

i42
2 4i
64i
12 24i
13
29
8 7
:
1 3
i
i



Ejemplo 1
(8 7 )
•
(1 3 )
(1 3 )
(1 3 )
ii
i i


2
2
91
217248
i
iii



La División se hace multiplicando por el conjugado
del denominador. (similar a la racionalización)
 
 
a bi
c di



4.División: .
a bi c di
c di c di
   
   
 

  
30
 
 
8 17 21 1
1 9 1
i  

 
8 17 21
1 9
i 

 10
1729 i

i
10
17
10
29

31
4 5
:
3
i
i

Ejemplo 2 (4 5 )
•
3
3
3i i
i i 

2
2
9
1512
i
ii



9
1512 

i
32
9
1512 

i
9
15
9
12


 i
3
5
3
4
 i
i
3
4
3
5

33
Ejercicios:
Resuelve la operación indicada.
   1) 5 7 2i i   
   2) 3 12 6 3i i     
   3) 12 23 16 13i i    
   4) 13 32 36 53i i     
  5) 3 2 6 3i i   
34
  6) 5 7 2i i  
  7) 3 12 6 3i i    
1 2
8)
6 3


 
i
i
3 2
9)
6 3


 
i
i
35
   1) 5 7 2i i    12 i
   2) 3 12 6 3i i     
   3 12 6 3    i i 3 15  i
   3) 12 23 16 13i i    
   12 23 16 13   i i 28 36 i
36
   4) 13 32 36 53i i      49 21  i
  5) 3 2 6 3i i    2
18 9 12 6   i i i
 18 21 6 1    i
12 21   i
  6) 5 7 2i i   2
35 10 7 2  i i i
35 3 2  i
37 3  i
37
  7) 3 12 6 3i i     2
18 9 72 36   i i i
18 63 36  i
54 63  i
1 2
8)
6 3


 
i
i
1 2 6 3
6 3 6 3
  

   
i i
i i
2
2
6 3 12 6
36 9
   


i i i
i
6 9 6
36 9
  


i 12 9
45
 
 
i 4 3
15
  i
38
3 2
9)
6 3


 
i
i
3 2 6 3
=
6 3 6 3
  
   
g
i i
i i
2
18 9 12 6
=
36 9
   

i i i
18 3 6
=
36 9
  

i
24 3
=
45
  i 8
=
15
  i
REPRESENTACIÓN GRÁFICA:
 Para representar un número complejo, de la
forma se utiliza un sistema de
coordenadas rectangulares, en el cual la
parte real se representa en el eje horizontal y
la imaginaria en el eje vertical.
 Obs:
a+bi
a+bi (a,b)
Ejemplos:
Módulo de un Complejo:
 Es la distancia entre el origen y el punto
que representa al número complejo.
 El módulo de un número complejo
está definido como:
 Ejemplo:
2 2
a+bi = a +b
2 2
(-4) +2 = 20 =2 5-4+2i
a+bi

Números complejos

  • 1.
  • 2.
    Un número imaginarioes un número cuyo cuadrado es negativo. Este término fue destacado por René Descartes en el siglo XVII y expresaba claramente sus creencias: obviamente tales números no existen. Hoy en día ubicamos los números imaginarios sobre el eje vertical del plano complejo. Cada número imaginario puede ser escrito como ib (numero complejo) donde b es un verdaderonúmero real e i es la unidad imaginaria con la propiedad: i2 = − 1 2
  • 3.
    3 DEFINICIÓN: Los NúmerosImaginarios surgen de la necesidad de resolver ecuaciones cuadráticas sin solución en el campo real. Este conjunto se representa por i  Este conjunto posee elementos que se obtienen a partir de raíces cuadradas con cantidad subradical negativa. 7 3 2 3 10 
  • 4.
    4 Definición: Entenderemos como UnidadImaginaria a: La que se conoce como Raíz Imaginaria. i= -1 Nota: 2 i =-1
  • 5.
    NÚMEROS IMAGINARIOS  Luego:  16 16 1 16 1 4i         
  • 6.
     Se definióun número cuyo cuadrado es -1  después del año 1777, Euler lo denominó con la letra “i”. 2 i =-1
  • 7.
    7 POTENCIAS DE I: 1.Divida el exponente por 4 y el resultado será elevado al resto de la división. 2. luego para simplificar use; 3. Sí 2 i =-1  3 2 i =i i=-1 i=-i   4 2 2 i =i i = -1 -1 =1 Este último resultado hace que las potencias de “i” solo tengan como resultados a: i, -i, 1 y -1 0 i =1 1 i =i n 4m+p p i =i =i i= -1
  • 8.
    8 EJEMPLOS: 4 1 22 1i i   g 6: 4 1 2  4 2 3 3 i i i   g11 1)i  540 2) i  4 135 0 0 1i i  g 11: 4 2 3  540: 4 135 14 020 0  6 3)i 
  • 9.
    9 3 i  13 4) i i 227 5) i  i 285 6) i  1 i 1127 7) i  i 285 4 71 1 g i 1127 4 281 3 g 3 i 
  • 10.
    10 Calcule las siguientesraíces: 4 1   11 i 25 1   1) 4  2) 25  3) 12  4) 11  i2 i5 2 3 i4 3 1   Raíces pares de Números Negativos
  • 11.
    NÚMEROS COMPLEJOS  Hallarlos números reales que verifican que la suma entre el quíntuplo de su cuadrado y 20, es igual a cero.  En símbolos: 2 5 20 0x  
  • 12.
  • 13.
    NÚMEROS COMPLEJOS  Alresolver la ecuación obtenida, nos damos cuenta que la raíz cuadrada de un número negativo no existe en los reales, por lo tanto esta ecuación no tiene solución en este conjunto, es decir que no existe ningún número real que resuelva este problema. (Sin solución real) 2 5 20 0x  
  • 14.
    NÚMEROS COMPLEJOS  Paraque la ecuación anterior tenga solución, los matemáticos buscaron una ampliación del conjunto de los Números Reales (IR).  A este Conjunto se definió como los Números Complejos:  / , ;a bi a bi   £ ¡ I
  • 15.
    © copywriter 15 i) Losnúmeros reales y los imaginarios están incluidos en el conjunto ampliado. ii) Las propiedades del conjunto real se siguen cumpliendo en el conjunto ampliado. Sus características son:
  • 16.
    NÚMEROS COMPLEJOS  Sellama número complejo a un número “z” que puede escribirse de la forma  a y b son números reales  Al número a se le llama parte real (a=Re[z])  Al número b se le llama parte imaginaria (b=Im[z]) z=a+bi a+bi (a,b)
  • 17.
    IGUALDAD DE NÚMEROSCOMPLEJOS:  Dos Números complejos son iguales si y sólo si, tienen igual parte real e igual parte imaginaria  si  Entonces: 1 2z =z        1 2 1 2Re z =Re z Im z =Im z Ó sí a + bi = c + di entonces a = c y b = d.
  • 18.
    18 Ejemplos de NúmerosComplejos: i35)1  i47)2  i61)3  i5)4 7)5
  • 19.
    19  81)5  1 4 2 1  1 2 2 i  1 4 2 1    
  • 20.
    20 Ejemplo: Determine el valorde y de si   ibia 5626  66Si a 2 5y b   0a 2 5 b a b
  • 21.
    21 OPERACIONES CON NÚMEROSCOMPLEJOS    a bi c di  1.Suma:    idbca     Ej 5em 1: 6plo 2   i i    5 6 1 2    i i11
  • 22.
    22   a bi c di  2.Resta:    idbca     3Ejemplo 1: 2 6 3    i i    3 2 6 3i i    9 5i     a bi c di     Obs:La resta se cambia a la suma del opuesto del sustraendo.
  • 23.
    23   Ejemplo 2: 8 18 5 50         8 3 2 5 5 2i i       8 3 2 5 5 2i i     3 8 2 i 
  • 24.
    24   a bi c di g3.Multiplicación:    ac bd ad bc i    Nota: La multiplicación se puede llevar a cabo como si fuera una multiplicación de polinomios.   a bi c di   ac ad i  bc i  2 bd i     1ac ad bc i bd        ac bd ad bc i   
  • 25.
    25   Ejemplo1: 4 2 3 5  i i 2 1062012 iii  12 14 10i   i1422  12 20 6 10 1i i    
  • 26.
    26   2 Ejemplo 2:4 5 i 254016  i i409   4 5 4 5i i   2 16 20 20 25i i i     16 40 25 1i   
  • 27.
    27   3 Ejemplo 3:2 3 i 46 9i       2 2 3 2 3i i    2 4 12 9 2 3i i i       4 12 9 1 2 3i i       4 12 9 2 3i i      5 12 2 3i i    2 10 15 24 36i i i     10 15 24 36i i    
  • 28.
    28 .El conjugado de Conjugadode un C z=a+bi sedefin ompl e po ejo: Definició r Z=a+bi=a n -bi : Encuentra el conjugado de cada Ejemplo núm s: ero: 1. 2 4 2. 2 4 3. 64 4. 12 24 5. 13 i i i i         i42 2 4i 64i 12 24i 13
  • 29.
    29 8 7 : 1 3 i i    Ejemplo1 (8 7 ) • (1 3 ) (1 3 ) (1 3 ) ii i i   2 2 91 217248 i iii    La División se hace multiplicando por el conjugado del denominador. (similar a la racionalización)     a bi c di    4.División: . a bi c di c di c di              
  • 30.
    30     817 21 1 1 9 1 i      8 17 21 1 9 i    10 1729 i  i 10 17 10 29 
  • 31.
    31 4 5 : 3 i i  Ejemplo 2(4 5 ) • 3 3 3i i i i   2 2 9 1512 i ii    9 1512   i
  • 32.
  • 33.
    33 Ejercicios: Resuelve la operaciónindicada.    1) 5 7 2i i       2) 3 12 6 3i i         3) 12 23 16 13i i        4) 13 32 36 53i i        5) 3 2 6 3i i   
  • 34.
    34   6)5 7 2i i     7) 3 12 6 3i i     1 2 8) 6 3     i i 3 2 9) 6 3     i i
  • 35.
    35   1) 5 7 2i i    12 i    2) 3 12 6 3i i         3 12 6 3    i i 3 15  i    3) 12 23 16 13i i        12 23 16 13   i i 28 36 i
  • 36.
    36   4) 13 32 36 53i i      49 21  i   5) 3 2 6 3i i    2 18 9 12 6   i i i  18 21 6 1    i 12 21   i   6) 5 7 2i i   2 35 10 7 2  i i i 35 3 2  i 37 3  i
  • 37.
    37   7)3 12 6 3i i     2 18 9 72 36   i i i 18 63 36  i 54 63  i 1 2 8) 6 3     i i 1 2 6 3 6 3 6 3         i i i i 2 2 6 3 12 6 36 9       i i i i 6 9 6 36 9      i 12 9 45     i 4 3 15   i
  • 38.
    38 3 2 9) 6 3    i i 3 2 6 3 = 6 3 6 3        g i i i i 2 18 9 12 6 = 36 9      i i i 18 3 6 = 36 9     i 24 3 = 45   i 8 = 15   i
  • 39.
    REPRESENTACIÓN GRÁFICA:  Pararepresentar un número complejo, de la forma se utiliza un sistema de coordenadas rectangulares, en el cual la parte real se representa en el eje horizontal y la imaginaria en el eje vertical.  Obs: a+bi a+bi (a,b)
  • 40.
  • 42.
    Módulo de unComplejo:  Es la distancia entre el origen y el punto que representa al número complejo.  El módulo de un número complejo está definido como:  Ejemplo: 2 2 a+bi = a +b 2 2 (-4) +2 = 20 =2 5-4+2i a+bi