PROGRAMA BUENAS
                                                                           PRACTICAS DE
                               FICHA TECNICA DE                          MANUFACTURA BPM

                             PRODUCTO TERMINADO
 CENTRO AGROPECUARIO
                                                                            F. T. BPM 1
      “LA GRANJA”
    SENA - ESPINAL
Preparado por: Yuly                                       Fecha: Julio
                       Aprobado por: Paola Andrea Gómez                    Versión: 2010
Liliana González                                          de 2010



       NOMBRE DEL
                                                 SALCHICHON CERVECERO
        PRODUCTO

                                 Es un producto cárnico, escaldado y embutido, que
                                 en su superficie de corte exhibe trozos de carne y
   DESCRIPCIÓN DEL
                                 grasa visibles, y cuyo diámetro puede ser de 45mm
      PRODUCTO
                                 a 80 mm.

                                 Producto elaborado en el aula móvil de cárnicos
                                 ubicada en el Centro Agropecuario La Granja SENA
        LUGAR DE                 –Espinal. Kilometro 5 vía Espinal – Ibagué.
      ELABORACION                Temperatura promedio 30°C y a.s.n.m 450 M
                                 Teléfono de contacto: 2709600 Ext. 84669

                                 Carbohidratos
                                 Proteína
                                 Lípidos-Grasa
      COMPOSICION
                                 Agua
      NUTRICIONAL
                                 Minerales
                                 Calorías aportadas
                                 por 100 g
   PRESENTACION Y                Empaque al vacio 250 gr
     EMPAQUES
                                 Empaque al vacio 500 gr
    COMERCIALES

         CARACTERISTICAS
         ORGANOLEPTICAS




SENA CONOCIMIENTO Y EMPRENDIMIENTO PARA TODOS LOS COLOMBIANOS
                      REGINAL TOLIMA
PROGRAMA BUENAS
                                                                                 PRACTICAS DE
                                 FICHA TECNICA DE                              MANUFACTURA BPM

                               PRODUCTO TERMINADO
 CENTRO AGROPECUARIO
                                                                                   F. T. BPM 2
      “LA GRANJA”
    SENA - ESPINAL
Preparado por: Yuly                                         Fecha: Julio
                         Aprobado por: Paola Andrea Gómez                         Versión: 2010
Liliana González                                            de 2010


                                   Norma técnica colombiana (NTC) 1325, (% sobre
 REQUISITOS MINIMOS
                                   Masa cruda) procesadas cárnicos no enlatados
  Y NORMATIVIDAD
                                   Resolución 2905 de 2007.
       TIPOS DE
                                                      Temperatura de 0 a 4 grados
     CONSERVACION                  Refrigeración
                                                      Centígrados
  CONSIDERACIONES                  Los productos, cocidos, deben conservar se bajo a
      PARA EL                      refrigeración entre 0ºC y 4ºC y su fecha de
  ALMACENAMIENTO                   vencimiento tendrá un limite máximo de treinta(30)
                                   días para productos empacados al vacio y de quince
                                   (15) días para los no empacados al vacio, en
                                   condiciones optimas de manejo y refrigeraciones.
                                    MATERIA PRIMA/INSUMO          PORCENTAJE (%)
                                   Carne de res                                      35
                                   Carne de cerdo                                    25
                                   Grasa                                             12
      FORMULACION                  Aislado de soya*                                  10
                                   Hielo                                             18
                                       ADITIVO Y/O INSUMO         PORCENTAJE (%)
                                   Sal                                              1.2
                                   Nitral                                           0.3
                                   Fosfato                                          0.5
                                   Condimento salchichón                              1
                                   Pimienta en polvo                                0.2
                                   Comino en polvo                                  0.1
                                   Ajo natural                                      0.3
                                   Nuez moscada                                   0.05
                                   Acido ascórbico                                0.05
                                   Humo liquido                                     0.1
                                   Colorante                                        0.1
               DIAGRAMA DE FLUJO DE ELABORACION DEL PRODUCTO

                      RECEPCION DE LA MATERIA PRIMA

                                                                             Trocear la carne y la
                                                                           grasa de forma manual.
                                 ADECUACION DE LAS                         Dejar el 50% del tocino
SENA CONOCIMIENTO Y EMPRENDIMIENTO PARA TODOS LOS COLOMBIANOS              y el 30% de la carne de
                                    CARNES                                   cerdo para cortar en
                      REGINAL TOLIMA
                                                                            cubitos para que sirva
                                                                              para el decorado.
PROGRAMA BUENAS
                                                                                  PRACTICAS DE
                               FICHA TECNICA DE                                 MANUFACTURA BPM

                             PRODUCTO TERMINADO
 CENTRO AGROPECUARIO
                                                                                     F. T. BPM 3
      “LA GRANJA”
    SENA - ESPINAL
Preparado por: Yuly                                       Fecha: Julio
                       Aprobado por: Paola Andrea Gómez                             Versión: 2010
Liliana González                                          de 2010




     Gramera.                         PESAJE


                                                                               La carne y la grasa
     Molino de                                                                 por separado, dos
     cárnicos.                         MOLIDO                                  veces con el disco
                                                                               pequeño (5mm).



                                                                               Para evitar que la
                                                                               carne se caliente
                                                                               se puede
                                                                               adicionar un 1/3
                                                                               del hielo.



     Cutter.                                                                        Carne.
                         PREPARAR LA EMULSION


                                                                                 Adición de sal y
                                                                                sales curantes.
                                                               La emulsión
       Batidora.                 MEZCLAR                       con la carne
                                                               para decorar       Adición de hielo
                                                                  (por 1         en escamas (1/3)
                                                                 minuto).           y fosfatos.

                                                             Tripa de
                                                             fibrosa de 50 –    Adición proteínas no
                                                             60 mm de           cárnicas, 1/3 del
      Embutidora.               EMBUTIDO                     diámetro,          hielo, y condimentos.
                                                             previamente
                                                             hidratada en
                                                             agua tibia por         Adición de la
      Horno                                                  20 minutos.            grasa molida,
                                 AHUMADO                        55 – 60°C           humos
      convencional.                                             por 1 hora.         condensados
                                                                                    1/3 del hielo.


SENA CONOCIMIENTO Y EMPRENDIMIENTO PARA TODOS LOS COLOMBIANOS
                      REGINAL TOLIMA
PROGRAMA BUENAS
                                                                                   PRACTICAS DE
                               FICHA TECNICA DE                                  MANUFACTURA BPM

                             PRODUCTO TERMINADO
 CENTRO AGROPECUARIO
                                                                                     F. T. BPM 4
      “LA GRANJA”
    SENA - ESPINAL
Preparado por: Yuly                                       Fecha: Julio
                       Aprobado por: Paola Andrea Gómez                             Versión: 2010
Liliana González                                          de 2010




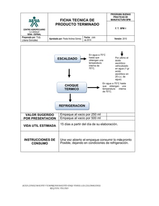
                                                               En agua a 75°C
                                                               hasta que             Por ultimo el
                               ESCALDADO                       obtengan una          ácido
                                                               temperatura           ascórbico
                                                               interna de            vehiculizado
                                                               70°C.                 en agua (1 gr
                                                                                     acido
                                                                                     ascórbico en
                                                                                     20 c.c. de
                                                                                     agua).
                                                                          En agua a 75°C hasta
                                      CHOQUE                              que obtengan una
                                      TERMICO                             temperatura   interna
                                                                          de 70°C.




                                REFRIGERACION

  VALOR SUGERIDO                 Empaque al vacio por 250 ml
 POR PRESENTACION                Empaque al vacio por 500 ml
                                 15 días a partir del día de su elaboración.
 VIDA UTIL ESTIMADA



  INSTRUCCIONES DE               Una vez abierto el empaque consumir lo más pronto
      CONSUMO                    Posible, dejando en condiciones de refrigeración.




SENA CONOCIMIENTO Y EMPRENDIMIENTO PARA TODOS LOS COLOMBIANOS
                      REGINAL TOLIMA

Ficha tecnica salchichon cervecero

  • 1.
    PROGRAMA BUENAS PRACTICAS DE FICHA TECNICA DE MANUFACTURA BPM PRODUCTO TERMINADO CENTRO AGROPECUARIO F. T. BPM 1 “LA GRANJA” SENA - ESPINAL Preparado por: Yuly Fecha: Julio Aprobado por: Paola Andrea Gómez Versión: 2010 Liliana González de 2010 NOMBRE DEL SALCHICHON CERVECERO PRODUCTO Es un producto cárnico, escaldado y embutido, que en su superficie de corte exhibe trozos de carne y DESCRIPCIÓN DEL grasa visibles, y cuyo diámetro puede ser de 45mm PRODUCTO a 80 mm. Producto elaborado en el aula móvil de cárnicos ubicada en el Centro Agropecuario La Granja SENA LUGAR DE –Espinal. Kilometro 5 vía Espinal – Ibagué. ELABORACION Temperatura promedio 30°C y a.s.n.m 450 M Teléfono de contacto: 2709600 Ext. 84669 Carbohidratos Proteína Lípidos-Grasa COMPOSICION Agua NUTRICIONAL Minerales Calorías aportadas por 100 g PRESENTACION Y Empaque al vacio 250 gr EMPAQUES Empaque al vacio 500 gr COMERCIALES CARACTERISTICAS ORGANOLEPTICAS SENA CONOCIMIENTO Y EMPRENDIMIENTO PARA TODOS LOS COLOMBIANOS REGINAL TOLIMA
  • 2.
    PROGRAMA BUENAS PRACTICAS DE FICHA TECNICA DE MANUFACTURA BPM PRODUCTO TERMINADO CENTRO AGROPECUARIO F. T. BPM 2 “LA GRANJA” SENA - ESPINAL Preparado por: Yuly Fecha: Julio Aprobado por: Paola Andrea Gómez Versión: 2010 Liliana González de 2010 Norma técnica colombiana (NTC) 1325, (% sobre REQUISITOS MINIMOS Masa cruda) procesadas cárnicos no enlatados Y NORMATIVIDAD Resolución 2905 de 2007. TIPOS DE Temperatura de 0 a 4 grados CONSERVACION Refrigeración Centígrados CONSIDERACIONES Los productos, cocidos, deben conservar se bajo a PARA EL refrigeración entre 0ºC y 4ºC y su fecha de ALMACENAMIENTO vencimiento tendrá un limite máximo de treinta(30) días para productos empacados al vacio y de quince (15) días para los no empacados al vacio, en condiciones optimas de manejo y refrigeraciones. MATERIA PRIMA/INSUMO PORCENTAJE (%) Carne de res 35 Carne de cerdo 25 Grasa 12 FORMULACION Aislado de soya* 10 Hielo 18 ADITIVO Y/O INSUMO PORCENTAJE (%) Sal 1.2 Nitral 0.3 Fosfato 0.5 Condimento salchichón 1 Pimienta en polvo 0.2 Comino en polvo 0.1 Ajo natural 0.3 Nuez moscada 0.05 Acido ascórbico 0.05 Humo liquido 0.1 Colorante 0.1 DIAGRAMA DE FLUJO DE ELABORACION DEL PRODUCTO RECEPCION DE LA MATERIA PRIMA Trocear la carne y la grasa de forma manual. ADECUACION DE LAS Dejar el 50% del tocino SENA CONOCIMIENTO Y EMPRENDIMIENTO PARA TODOS LOS COLOMBIANOS y el 30% de la carne de CARNES cerdo para cortar en REGINAL TOLIMA cubitos para que sirva para el decorado.
  • 3.
    PROGRAMA BUENAS PRACTICAS DE FICHA TECNICA DE MANUFACTURA BPM PRODUCTO TERMINADO CENTRO AGROPECUARIO F. T. BPM 3 “LA GRANJA” SENA - ESPINAL Preparado por: Yuly Fecha: Julio Aprobado por: Paola Andrea Gómez Versión: 2010 Liliana González de 2010 Gramera. PESAJE La carne y la grasa Molino de por separado, dos cárnicos. MOLIDO veces con el disco pequeño (5mm). Para evitar que la carne se caliente se puede adicionar un 1/3 del hielo. Cutter. Carne. PREPARAR LA EMULSION Adición de sal y sales curantes. La emulsión Batidora. MEZCLAR con la carne para decorar Adición de hielo (por 1 en escamas (1/3) minuto). y fosfatos. Tripa de fibrosa de 50 – Adición proteínas no 60 mm de cárnicas, 1/3 del Embutidora. EMBUTIDO diámetro, hielo, y condimentos. previamente hidratada en agua tibia por Adición de la Horno 20 minutos. grasa molida, AHUMADO 55 – 60°C humos convencional. por 1 hora. condensados 1/3 del hielo. SENA CONOCIMIENTO Y EMPRENDIMIENTO PARA TODOS LOS COLOMBIANOS REGINAL TOLIMA
  • 4.
    PROGRAMA BUENAS PRACTICAS DE FICHA TECNICA DE MANUFACTURA BPM PRODUCTO TERMINADO CENTRO AGROPECUARIO F. T. BPM 4 “LA GRANJA” SENA - ESPINAL Preparado por: Yuly Fecha: Julio Aprobado por: Paola Andrea Gómez Versión: 2010 Liliana González de 2010 En agua a 75°C hasta que Por ultimo el ESCALDADO obtengan una ácido temperatura ascórbico interna de vehiculizado 70°C. en agua (1 gr acido ascórbico en 20 c.c. de agua). En agua a 75°C hasta CHOQUE que obtengan una TERMICO temperatura interna de 70°C. REFRIGERACION VALOR SUGERIDO Empaque al vacio por 250 ml POR PRESENTACION Empaque al vacio por 500 ml 15 días a partir del día de su elaboración. VIDA UTIL ESTIMADA INSTRUCCIONES DE Una vez abierto el empaque consumir lo más pronto CONSUMO Posible, dejando en condiciones de refrigeración. SENA CONOCIMIENTO Y EMPRENDIMIENTO PARA TODOS LOS COLOMBIANOS REGINAL TOLIMA