Demencia Vascular

           Dr. Manuel Menéndez
             Oviedo, Mayo 2007
Aspectos históricos
       •   Thomas Willis, en 1672, describió
           inicialmente la demencia secundaria a
           accidente cerebrovascular y utilizó el
           término de demencia postapopléjica.
       •   Hacia finales del siglo XIX, y gracias al
           trabajo de investigadores como Alois
           Alzheimer, Otto Binswanger, Pierre Marie
           y otros, se reconoció que la enfermedad
           vascular podía provocar demencia. Estos
           autores contribuyeron a la descripción
           clínica y anatomopatológica de diversas
           formas de la DV. Kraepelin popularizó la
           denominación de demencia
           aterosclerótica.
       •   En 1974, Hachinski, Lassen y Marshall
           señalaron que el uso generalizado del
           término «ateriosclerosis cerebral» como
           causa de la demencia senil era
           «engañoso e inexacto».
Criterios diagnósticos NINDS-AIREN para la Demencia Vascular
Formas clínicas y anatomopatológicas
ACVs corticales con manifestaciones del comportamiento y
                       cognitivas
Formas clínicas de demencia vascular
Patrones regionales de microcirculación cerebral con importancia
                            clínica
Epidemiología
• 2ª causa de demencia.
• 1.5% en personas de 70 a 75 años.
• 15% en personas con edades superiores
  a los 80 años.
Factores de riesgo para la demencia vascular
Enfoque clínico recomendado en la valoración de los pacientes con alteraciones cognitivas:

              1) Obtención de la historia clínica completa con la ayuda de los familiares cercanos del paciente o de las personas
              que le cuidan
              2) Entrevista con el paciente
              3) Exploración física y neurológica
              4) Realización de pruebas neuropsicológicas
              5) Estudios de imagen cerebral
              6) Pruebas de laboratorio
Diagnóstico
¿Cuándo comenzó el problema?
                  • inicio: en la DV fecha de inicio del cuadro bastante clara (tras un accidente
                  cerebrovascular, tras una intervención quirúrgica). No obstante, las formas
                  subcorticales de la DV pueden tener un inicio gradual y su evolución puede ser lenta
                  y escalonada, a menudo aumentando su gravedad con cada episodio isquémico
                  • curso: son frecuentes las fluctuaciones en el cuadro clínico con mejoría y
                  empeoramiento, en contraste con la EA que es una enfermedad degenerativa que
                  sigue una evolución de deterioro progresivo.
                  ¿Cuáles son los síntomas principales?
                  • Los problemas de memoria constituyen la primera manifestación de la enfermedad
Preguntas clave




                  de Alzheimer, mientras que en los pacientes con DV la memoria suele estar poco
                  afectada o ser normal.
                  • La disfunción de ejecución es frecuente en la DV, pero no en las fases tempranas
                  de la EA.
                  ¿Tiene el paciente problemas para caminar o para controlar la micción?
                  Los pacientes con EA no suelen mostrar problemas para caminar o para controlar la
                  micción o la defecación en las fases iniciales de la enfermedad. Por el contrario, a
                  menudo los pacientes con DV muestran un aumento de la frecuencia de micción por
                  las noches (nicturia) o incontinencia urinaria por rebosamiento.
                    ¿Tiene el paciente antecedentes de enfermedad vascular?
                  Los ataques isquémicos transitorios (AIT), accidentes cerebrovasculares y factores
                  de riesgo vascular son más frecuentes en los pacientes con DV que en los que
                  presentan EA; por tanto, la determinación de una puntuación isquémica elevada
                  [Hachinski, 1975] es útil para diferenciar a los pacientes con DV y con EA pura.
Escala de Hachinski
Características más relevantes de
      la demencia vascular
• Inicio agudo y evolución con deterioros
  bruscos.
• Antecedentes de factores de riesgo
  vascular.
• Antecedentes de accidente
  cerebrovascular.
• Síntomas neurológicos focales.
Prevención
Anticolinesterásicos
Vías colinérgicas
Donepezilo
• Se han publicado dos ensayos clínicos internacionales,
  controlados con placebo y de 24 semanas de duración
  para comprobar el efecto del donepezilo en los
  pacientes con demencia vascular [Black, 2003;
  Wilkinson, 2003].
• En comparación con el placebo se observó una mejoría
  significativa en las pruebas ADAS-cog y MMSE, con
  efectos beneficiosos en la puntuación de actividades
  cotidianas (ADFACS) y en la puntuación general (CIBIC-
  plus).
• Los pacientes con la dosis de 5 mg toleraron mejor el
  fármaco que los que recibieron la dosis alta de 10
  mg/día.
ADAS-cog least squares (LS) mean change from baseline
   score in donepezil- and placebo-treated patients.
Galantamina
• La galantamina ha demostrado la mejoría (a los 6 meses)
  de la función cognitiva y la función general en una
  población heterogénea constituida por pacientes con EA
  más ECV y pacientes con DV probable [Erkinjuntti, 2002].
• En un subestudio de carácter abierto efectuado sobre
  pacientes con EA+ECV tratados de manera continua con
  galantamina, la capacidad cognitiva y funcional se
  mantuvo sin modificaciones durante 12 meses [Erkinjuntti,
  2003].
• Recientemente se han comunicado los resultados de
  galantamina en un ensayo clínico doble ciego frente a
  placebo en DV (GAL26), se siguieron los criterios NINDS-
  AIREN y se incluyeron 786 pacientes. Se encontraron
  diferencias significativas a favor de galantamina en
  cognición (ADAS-cog) pero no en función (ADCS-ADL) ni
  en la valoración global (CIBIC-plus).
Galantamina
• Ensayo abierto, multicéntrico, sobre 75
  pacientes con EA/EA+ECV/DV.
• El tratamiento con galantamina mostró mejoría
  significativa en la cognición sobre el ADAS-cog
  y CIBIC-plus.
• Galantamina también mostró efectos favorables
  sobre las actividades de la vida diaria.
• Galantamina fue bien tolerada. Los efectos
  adversos más frecuentes fueron náuseas
  (16.4%), mareos (9.6%) y vómitos (6.8%).
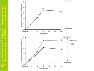
Mean subset scores of Alzheimer's Disease Assessment
 Scale-cognitive subscale (ADAS-cog) over 6 months
Rivastigmina
• La rivastigmina ha sido evaluada en ensayos
  clínicos de carácter abierto y tamaño pequeño
  en pacientes con EA con enfermedad
  cerebrovascular [Moretti, 2001; Moretti, 2002].
• Las formas subcorticales de DV parecen
  responder bien al tratamiento con rivastigmina
  [Moretti, 2004].
• Aún no se han publicado resultados de un
  ensayo clínico controlado con placebo de
  rivastigmina (en curso).
Memantina
• Este agente es un antagonista no competitivo del
  receptor N-metil-D-aspartato (NMDA).
• En dos ensayos clínicos de 6 meses de duración
  efectuados con asignación aleatoria y control placebo
  (estudios MMM300 y MMM500) se evaluó la memantina
  (20 mg al día) en pacientes con DV probable de grado
  leve a moderado según los criterios NINDS-AIREN
  frente a placebo [Orgogozo, 2002 ; Wilcock, 2002].
• La memantina fue bien tolerada en los dos estudios.
• Las evaluaciones generales no revelaron diferencias en
  el seguimiento (28 semanas) entre ambos grupos.
Demencia vascular

Demencia vascular

  • 1.
    Demencia Vascular Dr. Manuel Menéndez Oviedo, Mayo 2007
  • 2.
    Aspectos históricos • Thomas Willis, en 1672, describió inicialmente la demencia secundaria a accidente cerebrovascular y utilizó el término de demencia postapopléjica. • Hacia finales del siglo XIX, y gracias al trabajo de investigadores como Alois Alzheimer, Otto Binswanger, Pierre Marie y otros, se reconoció que la enfermedad vascular podía provocar demencia. Estos autores contribuyeron a la descripción clínica y anatomopatológica de diversas formas de la DV. Kraepelin popularizó la denominación de demencia aterosclerótica. • En 1974, Hachinski, Lassen y Marshall señalaron que el uso generalizado del término «ateriosclerosis cerebral» como causa de la demencia senil era «engañoso e inexacto».
  • 3.
    Criterios diagnósticos NINDS-AIRENpara la Demencia Vascular
  • 4.
    Formas clínicas yanatomopatológicas
  • 6.
    ACVs corticales conmanifestaciones del comportamiento y cognitivas
  • 7.
    Formas clínicas dedemencia vascular
  • 8.
    Patrones regionales demicrocirculación cerebral con importancia clínica
  • 9.
    Epidemiología • 2ª causade demencia. • 1.5% en personas de 70 a 75 años. • 15% en personas con edades superiores a los 80 años.
  • 10.
    Factores de riesgopara la demencia vascular
  • 11.
    Enfoque clínico recomendadoen la valoración de los pacientes con alteraciones cognitivas: 1) Obtención de la historia clínica completa con la ayuda de los familiares cercanos del paciente o de las personas que le cuidan 2) Entrevista con el paciente 3) Exploración física y neurológica 4) Realización de pruebas neuropsicológicas 5) Estudios de imagen cerebral 6) Pruebas de laboratorio Diagnóstico
  • 12.
    ¿Cuándo comenzó elproblema? • inicio: en la DV fecha de inicio del cuadro bastante clara (tras un accidente cerebrovascular, tras una intervención quirúrgica). No obstante, las formas subcorticales de la DV pueden tener un inicio gradual y su evolución puede ser lenta y escalonada, a menudo aumentando su gravedad con cada episodio isquémico • curso: son frecuentes las fluctuaciones en el cuadro clínico con mejoría y empeoramiento, en contraste con la EA que es una enfermedad degenerativa que sigue una evolución de deterioro progresivo. ¿Cuáles son los síntomas principales? • Los problemas de memoria constituyen la primera manifestación de la enfermedad Preguntas clave de Alzheimer, mientras que en los pacientes con DV la memoria suele estar poco afectada o ser normal. • La disfunción de ejecución es frecuente en la DV, pero no en las fases tempranas de la EA. ¿Tiene el paciente problemas para caminar o para controlar la micción? Los pacientes con EA no suelen mostrar problemas para caminar o para controlar la micción o la defecación en las fases iniciales de la enfermedad. Por el contrario, a menudo los pacientes con DV muestran un aumento de la frecuencia de micción por las noches (nicturia) o incontinencia urinaria por rebosamiento. ¿Tiene el paciente antecedentes de enfermedad vascular? Los ataques isquémicos transitorios (AIT), accidentes cerebrovasculares y factores de riesgo vascular son más frecuentes en los pacientes con DV que en los que presentan EA; por tanto, la determinación de una puntuación isquémica elevada [Hachinski, 1975] es útil para diferenciar a los pacientes con DV y con EA pura.
  • 13.
  • 14.
    Características más relevantesde la demencia vascular • Inicio agudo y evolución con deterioros bruscos. • Antecedentes de factores de riesgo vascular. • Antecedentes de accidente cerebrovascular. • Síntomas neurológicos focales.
  • 15.
  • 16.
  • 17.
    Donepezilo • Se hanpublicado dos ensayos clínicos internacionales, controlados con placebo y de 24 semanas de duración para comprobar el efecto del donepezilo en los pacientes con demencia vascular [Black, 2003; Wilkinson, 2003]. • En comparación con el placebo se observó una mejoría significativa en las pruebas ADAS-cog y MMSE, con efectos beneficiosos en la puntuación de actividades cotidianas (ADFACS) y en la puntuación general (CIBIC- plus). • Los pacientes con la dosis de 5 mg toleraron mejor el fármaco que los que recibieron la dosis alta de 10 mg/día.
  • 18.
    ADAS-cog least squares(LS) mean change from baseline score in donepezil- and placebo-treated patients.
  • 19.
    Galantamina • La galantaminaha demostrado la mejoría (a los 6 meses) de la función cognitiva y la función general en una población heterogénea constituida por pacientes con EA más ECV y pacientes con DV probable [Erkinjuntti, 2002]. • En un subestudio de carácter abierto efectuado sobre pacientes con EA+ECV tratados de manera continua con galantamina, la capacidad cognitiva y funcional se mantuvo sin modificaciones durante 12 meses [Erkinjuntti, 2003]. • Recientemente se han comunicado los resultados de galantamina en un ensayo clínico doble ciego frente a placebo en DV (GAL26), se siguieron los criterios NINDS- AIREN y se incluyeron 786 pacientes. Se encontraron diferencias significativas a favor de galantamina en cognición (ADAS-cog) pero no en función (ADCS-ADL) ni en la valoración global (CIBIC-plus).
  • 20.
    Galantamina • Ensayo abierto,multicéntrico, sobre 75 pacientes con EA/EA+ECV/DV. • El tratamiento con galantamina mostró mejoría significativa en la cognición sobre el ADAS-cog y CIBIC-plus. • Galantamina también mostró efectos favorables sobre las actividades de la vida diaria. • Galantamina fue bien tolerada. Los efectos adversos más frecuentes fueron náuseas (16.4%), mareos (9.6%) y vómitos (6.8%).
  • 21.
    Mean subset scoresof Alzheimer's Disease Assessment Scale-cognitive subscale (ADAS-cog) over 6 months
  • 22.
    Rivastigmina • La rivastigminaha sido evaluada en ensayos clínicos de carácter abierto y tamaño pequeño en pacientes con EA con enfermedad cerebrovascular [Moretti, 2001; Moretti, 2002]. • Las formas subcorticales de DV parecen responder bien al tratamiento con rivastigmina [Moretti, 2004]. • Aún no se han publicado resultados de un ensayo clínico controlado con placebo de rivastigmina (en curso).
  • 23.
    Memantina • Este agentees un antagonista no competitivo del receptor N-metil-D-aspartato (NMDA). • En dos ensayos clínicos de 6 meses de duración efectuados con asignación aleatoria y control placebo (estudios MMM300 y MMM500) se evaluó la memantina (20 mg al día) en pacientes con DV probable de grado leve a moderado según los criterios NINDS-AIREN frente a placebo [Orgogozo, 2002 ; Wilcock, 2002]. • La memantina fue bien tolerada en los dos estudios. • Las evaluaciones generales no revelaron diferencias en el seguimiento (28 semanas) entre ambos grupos.